Next Article in Journal
Analyzing the Tribology of High-Entropy Alloys Prepared by Spark Plasma Sintering
Previous Article in Journal
Study on the Effect of Niobium on the High Temperature Oxidation Resistance of Ferritic Stainless Steel
 
 
Font Type:
Arial Georgia Verdana
Font Size:
Aa Aa Aa
Line Spacing:
Column Width:
Background:
Article

Mineral Magnetic Modification of Fine Iron Ore Tailings and Their Beneficiation in Alternating Magnetic Fields

by
Nataliia Dudchenko
1,2,*,
Vitalii Ponomar
1,3,
Volodymyr Ovsiienko
1,
Yurii Cherevko
1 and
Ilana Perelshtein
2
1
M.P. Semenenko Institute of Geochemistry, Mineralogy and Ore Formation of NAS of Ukraine, 03680 Kyiv, Ukraine
2
Bar-Ilan Institute of Nanotechnology & Advanced Materials (BINA), Bar Ilan University, Ramat Gan 5290002, Israel
3
Fibre and Particle Engineering Research Unit, University of Oulu, Pentti Kaiteran katu 1, 90014 Oulu, Finland
*
Author to whom correspondence should be addressed.
Metals 2024, 14(1), 26; https://doi.org/10.3390/met14010026
Submission received: 10 December 2023 / Revised: 21 December 2023 / Accepted: 21 December 2023 / Published: 25 December 2023
(This article belongs to the Topic Advanced Processes in Metallurgical Technologies)

Abstract

:
In this paper, the properties, mineral magnetic modification, and beneficiation of tailings from the central mining and processing plant in Kryvyi Rih, Ukraine, have been studied. Samples were investigated by X-ray diffraction, X-ray fluorescence, microscopy, and magnetization measurements. The beneficiation was conducted using magnetizing roasting with carbon monoxide followed by dry low-intensity magnetic separation. The effects of chemical, mineral, and granulometric composition on the processing of fine tailings of different sizes sampled at different points of the tailings pond were investigated. Additionally, we proposed a new approach for magnetic separation of fine magnetically modified tailings based on the combination of permanent and alternating magnetic fields. Magnetizing roasting resulted in an enhancement in mass magnetization to 11–62 Am2/kg in comparison with initial values of 0.3–1.5 Am2/kg. After magnetic separation, the magnetic concentrates consisted almost completely of magnetite (with the magnetization of 75–88 Am2/kg) and non-magnetic residues contained major quartz. The content of iron in magnetic concentrates reached 68.5–70.2 wt.% and iron recovery 77–96 wt.%, depending on size fraction. We could conclude that the tailings are represented by fine-grained liberated material that can be effectively upgraded using magnetizing roasting and magnetic separation into two valuable products, such as iron concentrate and quartz powder.

1. Introduction

The metallurgical industry generates millions of tons of mineral waste annually, and billions of tons have already been accumulated around the world. This trend is expected to intensify as demand for steel and iron products grows; moreover, the metallurgical industry processes low-grade raw materials more than ever.
The production of one portion of steel requires approximately three portions of primary natural raw materials, which, after processing, accumulate around plants in the form of tailings, overburden, metallurgical slag, etc. Tailings, which are the product of enrichment of low-grade iron ores, are the most common type of waste. For example, wet magnetic separation of magnetite quartzite leads to the concentration of magnetite in a valuable product due to its strong magnetic properties, while weakly magnetic minerals, i.e., hematite, goethite, and quartz, are discharged in tailings via slurry.
The quantity of tailings is constantly increasing, since in most cases they are not processed, occupying more and more land. In Ukraine, the dumps and ponds of the Kryvyi Rih iron ore region contain about 6 billion tons of tailings from the enrichment of low-grade iron ores. In addition to the huge area they occupy, iron tailings pose several risks associated with environmental pollution by toxic substances and extremely small particles, which lead to cardiovascular or pulmonary diseases when ingested.
Typically, these iron-containing wastes are stored in ponds, dams, or other storage facilities which can also be a source of disaster risk for nearby localities [1]. In January 2019, the catastrophic failure of the tailings dam at the Córrego do Feijão iron ore mine in the town of Brumadinho in the Brazilian state of Minas Gerais killed 272 people, 256 of whom were officially confirmed dead, and 14 others were reported missing [2]. Three years earlier, in November 2015, the rupture of the Samarco tailings dam also happened in the same region of Brazil and resulted in the release of tailings into the Rio Doce, causing extreme environmental damage and the death of 19 people [3]. In November 2007, 13 people died in an accident caused by the tailings dam collapse in Anshan, Liaoning Province, China [4].
The constant increase in iron-containing waste reserves and the reduction in natural ore reserves indicates the need to process tailings and other mineral wastes. Currently, there are several different ways to utilize tailings, including iron recovery [4,5,6,7], production of building materials [8,9,10] and glass ceramics [11], yellow-red pigment manufacture [12,13], and magnetic nanoparticle production [14,15,16].
Iron recovery from tailings materials is particularly interesting due to the large reserves of such deposits and their high metal content. Moreover, this task is closely related to the enrichment of low-grade hematite and goethite ores [17,18,19,20], and potential processing plants can be used to process low-grade ores and re-process tailings. Several previous research works have shown the effectiveness of using magnetizing roasting and magnetic separation to beneficiate some types of low-grade iron ore and iron-containing waste, such as red mud, goethite rejects, and hematite quartz tailings (Table 1).
Table 1 summarizes the main methods and results of the application of magnetizing roasting and magnetic separation to treat low-grade iron ores and iron-containing wastes. Hematite and, less often, goethite ores have been used as the starting material, while non-metallic phases are represented mainly by quartz in addition to calcite and silicates. The size fractions of the studied materials were quite small, having particle sizes less than 0.1 mm. In [16,19], coarse-grained ores were used, but the initial iron content was also high (more than 50 wt.%).
Magnetizing roasting can be performed by various methods (Table 1), including conventional (muffle furnace or fluidized bed reactor) and microwave heating. Coal, biomass, carbon monoxide, and hydrogen were used as reducing agents. In [19], calcination without a reducing agent was used, where the formation of strong magnetic phases of iron took place under the influence of microwave radiation, but the mineralogical aspects of this process were not described in full.
The roasting temperature ranges from 540 °C for roasting with CO [21] to 800–900 °C for roasting with coal [4,6,18]. The higher temperatures for roasting with coal are associated with the starting temperature of its gasification at 700–750 °C. Moreover, almost complete conversion of hematite to magnetite can be obtained even at a temperature of 320 °C for a reduction in the H2-Ar atmosphere [22], but synthetic hematite was used as the initial sample.
Magnetic separation was performed using a Davis tube device (Shichengxian Jinchuan Mineral Equipment Manufacturing Co., Ltd., Ganzhou, China) and dry and wet low-intensity separators (Table 1). The content of iron in the concentrates varies from 60.88 wt.% for goethite ore [23] to 69.3 wt.% for processed red mud [5]. The recovery of iron varies significantly from 35.15 wt.% for microwave-heated red mud with lignite [5] to 97.95 wt.% for microwave-heated hematite ore with subsequent high-intensity magnetic separation [19]. The efficiency of magnetizing roasting and magnetic separation for goethite ores seems to be slightly lower, reaching the grade and recovery of 58–62 and 60.88 wt.% in [23].
Table 1. Literature overview of the performance of magnetizing roasting followed by magnetic separation for iron-bearing wastes and related low-grade iron ores.
Table 1. Literature overview of the performance of magnetizing roasting followed by magnetic separation for iron-bearing wastes and related low-grade iron ores.
ReferenceInitial MaterialsMagnetizing RoastingMagnetic Separation
Material TypeIron ContentParticle
Sizes (mm)
Temperature (°C)Time (min)ReductantHeating MethodSeparation MethodIron Recovery (wt.%)Iron Content (wt.%)
Jang et al. [23]Iron ore reject
stream from the Pilbara region in Western Australia
50.7289.4% passing 1.18 mm7003050% COFurnaceDavies magnetic tube (XCGS-50)58–6260.88
Li et al. [4,9]Tailings from iron ore dressing plant in Anshan of Liaoning Province, China17.3n/d800301% coalFurnaceDavies magnetic tube (XCGS-50)88.261.3
Omran et al. [19] Iron ore from Aswan region of Egypt58.47n/d6841.5no reductantMicrowave ovenWet high-intensity magnetic separation97.95n/d
Ravisankar et al. [18]Low-grade goethite-rich iron ores from Gua mines in Jharkhand, Eastern India58.0872% passing 3 mm8003010% coalAir-tight furnaceDry low-intensity drum magnetic separator90.466.6
Samouhos et al. [5] Red mud from the Greek aluminum industry “Aluminum of Greece S.A”30.297 wt.% passing 0.4 mm8003030.15% ligniteMicrowave ovenWet separator Carpco (MWL 3465)35.1569.3
Jaiswal et al. [24]Goethite ore from Langalota, Jalahari, Odisha, India40.212<12.5 mm9005010% coalFurnaceWet high intensity magnetic separator (WHIMS)59.2068.23
Yu et al. [21] Tailings from iron ore dressing plant in Anshan of Liaoning Province, China33.1977 wt.% passing 0.038 mm540-~20% COFluidized reactorDrum low-intensity magnetic separator 81.861.4
Yu et al. [25] Low-grade ore fines from Donganshan Iron Ore Mine located in Liaoning Province, Anshan, China34.685 wt.% passing 0.074 mm80088% coalMuffle furnaceDavies magnetic tube (XCGS-50)92.765.4
Current articleTailings from Kryvyi Rih basin, Ukraine26–53from <0.05 mm to 0.25 mm50040~20% COMuffle furnaceDry low-intensity
magnetic separator
77.24–95.8568.5–70.2
The efficiency of tailings processing depends on the properties of the raw material, such as its chemical and mineral composition and the particle size distribution that varies for different types of raw material and different sampling locations. It is difficult to achieve the efficient magnetic separation of fine mineral mixtures due to challenges related to magnet liberation and flocculation. Consequently, this research aimed to study the effect of chemical, mineral, and granulometric composition on the processing of fine tailings of different sizes sampled at different points of the tailings pond of the central mining and processing plant of the Kryvyi Rih basin. In addition, a new approach to magnetic separation, based on the combination of permanent and alternating magnetic fields, was proposed. The necessity of our work is to refine the beneficiation process of fine-graded iron tailings, which implies two issues: finding the regularities of the roasting process depending on the properties of the tailings and improving the technology of magnetic separation. The novelty of our work is in leveraging relatively low temperatures (~500 °C) for the roasting process as well as in the combination of permanent and alternating magnetic fields for the magnetic separation technique.

2. Materials and Methods

2.1. Initial Materials

As source material for mineralogical research and processing, 5 samples were used from the №2 tailings pond of the central mining and processing plant of the V.A. Valiavka “Pivnichna” mine. The initial materials were sampled along 4 exploration profiles laid at different distances from the end of the slurry pipeline, where the liquid wastes from the mineral enrichment plant were discharged. The probe T1 was sampled 50 m north of the slurry pipeline; T3-14 and T3-15—right and left flanks 150 m south of the pipeline; and T5 and T12—about 350 and 500 m south, respectively. The material was sampled from pits up to 1 m deep and 1 × 1 m2 in cross-section.
The №2 tailings pond is located 100–150 m east of the main building of the central mining and processing plant of the V.A. Valiavka “Pivnichna” mine. The length, width, and depth of the tailings storage are 500, 60, and 10 m, respectively, and the total volume of stored tailings is 231,000 m3. The discharge of wastes from hematite ore beneficiation was carried out using downstream running water, through a slurry pipeline with a diameter of 219 mm. The pipeline is located in the northern part of the tailings pond, 45–50 m south of the center of its northern side.
The central mining and processing plant of the V.A. Valiavka “Pivnichna” mine performed the enrichment of low-grade hematite iron ores (iron content 46–50 wt.%) by gravity separation using jigging machines. It produced commodity ore with an iron content of 50–53 wt.%. In addition to commodity ore, two types of beneficiation waste were generated at the plant: coarse-grained particles 1–10 mm in size, which were exported to the mine dumps, and fine-grained (0–1 mm) powder, which was transported in the form of slurry by pipelines to the tailings pond.

2.2. Methods of Characterization

Microscopic examination of the samples was carried out both in transmitted and reflected light using the NIKON ECLIPSE LV100 POL, Nikon Corporation, Tokyo, Japan. Transparent and polished sections of epoxy-bonded particles were prepared from the powder material of the tailings.
X-ray diffraction (XRD) methods were carried out on a diffractometer DRON-3M in a filtered emission of CuKα (λ = 0.154184 nm). Phase diagnosis of the ores was performed using d-spacing from the PCPDFWIN database (PDF-2). Peaks were identified using the International Centre for Diffraction Data database (PDF-4 + 2022), and Rietveld refinement was performed with the PDXL ver. 2 suite (Rigaku Corporation, Tokyo, Japan) using b-spline background correction and split pseudo-Voigt peak shape modeling against the target phase.
A quantitative X-ray fluorescence analysis (XRF) was conducted using a Thermo ARL Optim’X spectrometer, ThermoFisher Scientifics, Basel, Switzerland. equipped with a Rh-anode X-ray tube of 50 W power, goniometer with three crystals (AX06, PET, LiF 200), and two detectors (FPC, SC). Preparation for the XRF analysis included milling the samples to the powder and pressing them into the pellet with boric acid.
Measurement of mass magnetization of the initial and transformed samples, depending on an applied magnetic field, was determined at room temperature using a magnetometer with Hall sensors. The external magnetic field of the magnetometer varied from −0.45 T to +0.45 T. The saturation magnetization was measured with an estimated error of 1.5 A m2/kg.
Determination of particle size distribution of the tailings was performed using a standard set of laboratory sieves. The sieving products were weighed, yielding the percentage of each particle size fraction. The subsequent granulometric fractions were obtained <0.05, 0.05–0.63, 0.063–0.71, 0.071–0.1, 0.1–0.25, 0.25–0.4, and >0.4 mm. For each fraction, the mineral composition (petrographic examination), iron content (X-ray fluorescence analysis), and magnetic properties were determined.

2.3. Methods of Processing

The processing of samples of tailings was carried out using reductive roasting with carbon monoxide followed by low-intensity dry magnetic separation.
Reductive roasting was performed using a custom device consisting of a gas generator and a sample holder equipped with a quartz reactor and heating system. The gas generator consists of a quartz tube filled with activated charcoal placed in a muffle furnace heated to 750 °C. The air pump supplies air through the quartz tube with a flow velocity of about 2.8 cm3/s controlled by a differential manometer. A reaction between coal (C) and oxygen (O2) in the air led to carbon monoxide (CO) formation. Then, carbon monoxide entered the quartz reactor with the sample heated to 500 °C for 40 min. After each heat treatment, the composition and magnetic properties were studied using petrographic examination, X-ray diffraction, and a magnetometer with Hall sensors.
In previous research [26,27], using gasification of charcoal, the roasting time of 40 min and a temperature of 500 °C were found to be optimal to achieve a complete conversion of hematite to magnetite for particle sizes up to 0.4 mm. Similar results were obtained using roasting at 600 °C, while at 700 °C, the formation of antiferromagnetic wüstite was observed. At lower temperatures of 300–400 °C, incomplete conversion of hematite to magnetite occurred even after roasting for 60 min.
Magnetic separation of roasted samples was carried out using a custom-built device for the separation of highly dispersed iron ore using the combined effect of permanent and alternating magnetic fields [28] (Figure 1).
The dry-state magnetic separation included two main stages: preparation and separation. The preparation stage involved the magnetization of ore in a permanent magnetic field. The second stage of magnetic separation was performed under the influence of an alternating magnetic field and gravitational forces. Therefore, under the influence of a permanent magnetic field, flocculation of magnetic particles occurs, which also captures non-magnetic particles [28]. Then, an alternating magnetic field lifts the flocs into the air in the direction of the electromagnet, performing a rotational motion due to changes in the polarity of the magnetic field. The rapid rotation of flocs in air leads to their destruction due to the action of centrifugal forces and, consequently, to the separation of magnetic and non-magnetic particles.
The stages of separation and preparation can be performed sequentially several times until the complete separation of magnetic and non-magnetic components. The concentrate was periodically removed from the electromagnet in a separate vessel by turning off the power of the electromagnet.
The permanent magnet (1) based on the NdFeB alloy has the shape of a cylinder with a diameter of 24 mm and a height of 7 mm. The induction of the magnetic field at a distance of 0 mm is 309 mT. The induction of the magnetic field of the electromagnet (2) is variable and adjusted by both the vertical movement of the magnet and voltage regulation (7). The tripod (3), set on the base of separator (6), has a mount for the electromagnet with centimeter marks, the height of the electromagnet is tunable relative to the ore loading platform (4). The concentrate collector (5) is located directly under the electromagnet.
The overall scheme for the processing of iron ore tailings is shown in Figure 2.

3. Results

3.1. Characterization of Initial Tailings Materials

The chemical and mineral composition was studied using microscopic examination, X-ray fluorescence, and X-ray diffraction for initial tailings materials from sampling profiles located at different distances from the slurry pipeline. For all samples, the main tailing minerals were quartz and hematite (Figure 3), with minor quantities of magnetite (up to 2 wt.%) and goethite (up to 4 wt.%).
Therefore, the hematite content varies between 13 and 58 wt.%, lowering as the distance from the end of the slurry pipeline of the processing plant increases. The opposite trend was observed for gangue quartz, the amount of which in increases from 34 to 80 wt.% as the distance from the slurry pipeline increases to 500 m. The amount of magnetite is lower than 2 wt.% near the pipeline and decreases to less than 1 wt.% at a distance of 500 m, which correlates with the hematite content. The content of goethite is about 3 wt.% for all sampling profiles, which the authors of [29] associate with the authigenic nature of the mineral.
The concentration of iron in the samples of the tailings varies between 26 and 53 wt.%, decreasing as the distance from the slurry pipeline increases. The concentration of iron also correlates with the content of hematite.
X-ray diffraction analysis of the source materials of the tailings showed the presence of only quartz and hematite. The amount of other minerals (>5 wt.%) is not high enough for reliable identification by X-ray diffraction analysis. A detailed mineralogical analysis of these tailings is described in [29], where the authors, in addition to the minerals mentioned above, indicate the presence of accessory minerals (0.1 to 1 wt.%).
Consequently, during the discharge of liquid waste from the processing plant into the tailings, gravitational differentiation of mineral particles occurred due to the difference in the minerals’ density as well as particle sizes. The dense ore minerals (5.255 g/cm3 for hematite and 5.2 g/cm3 for magnetite) accumulated in the immediate vicinity of the discharge point. As the distance from the slurry pipeline increased, more gangue minerals with a lower density accumulated (2.66 g/cm3 for quartz). As a result, mineralogical zoning of the tailings pond was formed by the sedimentation process.

3.2. Characterization of Size Fractions

The results of particle size analysis of the T1, T5, and T12 samples showed that the tailings are represented by fine-grained material with a predominant fraction less than 0.05 mm (Figure 4). About 90 wt.% of each sample is composed of particles smaller than 0.07 mm.
The T1 sample from the location near the discharge point contains about 50 wt.% of the smallest fraction <0.05 mm and about 30 wt.% of the 0.05–0.071 mm fraction. The initial materials sampled at a distance 350–500 m from the slurry pipeline have 70–90 wt.% of the below 0.05 mm fraction. Regardless of the sampling location, the content of coarse-grained fractions with sizes greater than 0.1 mm is negligible.
Hence, in addition to mineralogical zonation, the granulometric differentiation of the tailings was also formed as a function of the distance from the slurry pipeline. The smallest and, therefore, the lightest particles tend to accumulate further from the discharge point since they can be stored longer in suspension.
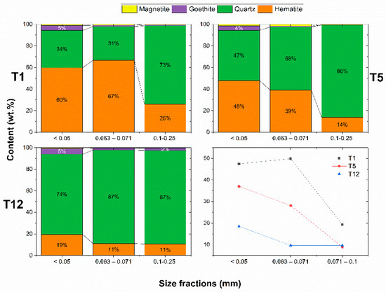
Mineralogical and chemical characteristics were studied for the fractions <0.05 mm, 0.063–0.071 mm, and 0.1–0.25 mm of tailings materials T1, T5, and T12 (Figure 5). There is a general tendency to increase the amount of quartz and decrease the amount of hematite with increasing particle size. Along with the decrease in the amount of hematite, a decrease in magnetite content was found. This can be explained by the fact that magnetite is closely associated with hematite (martite), which was formed as a result of the oxidation of magnetite during the weathering of primary quartzite. Goethite mainly accumulates in the fraction with the smallest particle size less than 0.05 mm, although it can also be found in the larger fractions. This is because the authigenic formation of goethite can occur on the surface of quartz particles in the form of thin crusts.
Increasing the hematite content correlates well with an increase in the iron content. Thus, it is possible to achieve 50 wt.% of iron in the fraction 0.063–0.071 mm, while the initial value of the raw material was 42 wt.% Fe. For samples T5 and T12, an increase in the Fe content was found from 38 to 40 wt.% and from 12.5 to 18.5 wt.%, consequently.

3.3. Magnetizing Roasting of Tailings

Magnetizing roasting was performed in an atmosphere of carbon monoxide at a temperature of 500 °C for 40 min for all initial samples and samples T1, T5, and T12 with grain size <0.05 mm, 0.063–0.071 mm, and 0.07–0.1 mm. After roasting, the magnetic properties (Figure 6 and Figure 7) and the phase composition of the samples were studied (Figure 8).
Figure 6 shows that the magnetization of the original samples was in the range of 0.7–1.5 Am2/kg, depending on the amount of ferrimagnetic magnetite (92 Am2/kg) and antiferromagnetic hematite (~0.4 Am2/kg). Correlating with microscopic observations () of the magnetite content, the magnetization decreases with increasing distance from the slurry pipeline of the enrichment plant.
Figure 7 displays that hematite was completely turned into magnetite for fractions with different particle sizes in the range from <0.05 to 0.1 mm. The intensity of diffraction peaks of magnetite decreases with increasing particle size, which is associated with a smaller amount of hematite in the initial samples.
Figure 8 shows that the magnetization of roasted samples strongly depends on the particle size.
For sample T1, the magnetization decreases from about 60 Am2/kg for a fraction less than 0.071 mm to 24 Am2/kg for a 0.071–0.1 mm size fraction. For sample T5, the magnetization decreases from 46 to 11 Am2/kg with a decrease in particle size from <0.05 mm to 0.071–0.1 mm. For sample T12, the magnetization is reduced by about two orders of magnitude when the fraction size is increased from <0.05 mm to 0.063–0.071 mm.

3.4. Magnetic Separation of Tailings

Using magnetic separation, the roasted sample T1 and its particle size fractions <0.05 mm (T1-01), 0.063–0.071 mm (T1-03), 0.071–0.1 mm (T1-06) were separated into a strongly magnetic concentrate and a weakly magnetic tailing (residue) (Figure 9). The results of X-ray diffraction (Figure 10) and microscopic analysis showed that magnetic concentrates consisted of magnetite and non-magnetic residue contained major quartz.
It can be seen from Figure 9 that the saturation magnetization of the concentrate increases to 75–88 Am2/kg, whereas the roasted samples before separation had a magnetization in the range of 16–59 Am2/kg. The residues also have a magnetization of 2–5 Am2/kg, which indicates a minor loss of iron in the form of magnetite.
According to the values of saturation magnetization, concentrates from T1-01 and T1-03 can be classified as relatively pure magnetite powder, although the nominal value for magnetite is 92 Am2/kg [30]. However, this theoretical value is rarely achieved in practice for magnetite powder [20] due to the influence of particle size and features of the crystal structure. The coarser fraction T1-06 has a slightly lower value of magnetization of 75 Am2/kg. This can be explained by the presence of minor unliberated intergrowth of hematite and quartz in the original sample. Hence, during magnetizing roasting, the hematite–quartz intergrowths were converted to magnetite–quartz intergrowths, which were attracted by the magnetic field to form concentrates.
A high-quality magnetite concentrate may be expected to have a saturation magnetization ranging from 80 to 90 Am2/kg which is close to the saturation magnetization of pure magnetite—92 Am2/kg [30]. On the other hand, the high magnetization of tailings can indicate losses of iron. Li et al. [4] also studied the magnetic properties of concentrated iron ore with the saturation magnetization of 65.748 Am2/kg, resulting in a lower content of Fe (61.3%) and a lower recovery rate (88.2%).
X-ray diffraction analysis showed that the magnetic concentrates consisted entirely of magnetite (Figure 10a). Only in the coarse-grained samples T1-06, were traces of quartz observed, which may be in the form of inclusions or intergrowth with magnetite.
The main phase of weakly magnetic residues was quartz (Figure 10b), as well as a small amount of hematite, which was not detected in the roasted samples before separation due to its low content. The presence of hematite in the residues after roasting and separation can be explained by its small inclusions in quartz, which is characteristic of the initial ores. The access of the reducing agent to such encapsulated particles is limited, resulting in a small amount of unconverted hematite.
In addition, a small amount of magnetite is also present in the residues, which is also confirmed by magnetometry data. It can be assumed that this magnetite was also formed from inclusions and intergrowths of hematite and quartz, which turned into intergrowths of magnetite and quartz after roasting. However, the amount of magnetite in such particles is too small for their extraction by magnetic separation.

4. Discussion

Our results demonstrate that magnetizing roasting led to a significant increase in magnetization to 16–59 Am2/kg, implying the conversion of hematite and goethite to magnetite, which was confirmed by X-ray diffraction and microscopic examination.
The effect of particle sizes on the magnetizing roasting of hematite was studied in [31] for the reduction with H2 and in [26] for the reduction with CO. In experiments [27], small particles of 0.002 mm, 0.006 mm, 0.025 mm, and 0.107 mm sizes were studied. When the particle size of the powder decreased from 0.107 to 0.002 mm, the hematite reduction process accelerated by about eight times, which led to an increase in the activation energy of the reaction from 78.3 kJ/mol to 36.9 kJ/mol. However, the particle size distribution in the tailings studied in this article fluctuates within narrow limits, resulting in more homogeneous reaction kinetics.
In the study [26], the complete conversion of hematite to magnetite in an atmosphere of carbon monoxide occurred for particles smaller than 0.25 mm. For larger particles, a layer of magnetite that formed on the surface of hematite particles led to the inhibition of the reaction. Since tailings materials in this study are mainly represented by particle sizes < 0.07 mm, a good conversion kinetic with the highest conversion fraction was obtained.
In our study, it was found that magnetizing roasting of all raw samples and granulometric fractions <0.05 mm, 0.063–0.071 mm, 0.071–0.1 led to significant changes in mineral composition and magnetic properties. The transformation of hematite and goethite into magnetite reduced the mineralogical complexity of the tailing materials, resulting in an increase in the magnetic properties of all ore particles due to conversion to magnetite.
Magnetic separation of roasted tailing samples led to the formation of high magnetic concentrates and low-magnetic residues. X-ray diffraction analysis showed that the magnetic concentrates consisted entirely of magnetite. Only in the concentrates obtained from coarse-grained and raw samples, were traces of quartz detected, which may be in the form of inclusions or intergrowth with magnetite. In contrast, residues consisted of quartz with minor unliberated particles of hematite and magnetite. The saturation magnetization of the concentrate increased to 75–88 Am2/kg, implying magnetite concentration. The residues from separation also had a magnetization of 2–5 Am2/kg, which indicates a slight loss of magnetite iron.
Table 2 contains the main parameters of magnetic separation performance of the raw T1 sample and size fractions <0.05 mm (T1-01), 0.063–0.071 mm (T1-03), and 0.071–0.1 mm (T1-06). It is shown that the content of iron in magnetic concentrates (grade of concentrate) reaches 68.5–70.2 wt.%. The ratio of concentration, which is the relation of the mass of feed to the mass of concentrate, varies from 1.39 to 3.42. The ratio of concentration for the raw tailings material (T1) is 1.72, while a higher value of 3.42 was observed for the fraction 0.1–0.25 mm due to a lower content of iron in the sample before separation.
The content of iron in residues ranged from 3 to 10 wt.%, implying a minor loss of iron that correlates with magnetometry and mineralogical data. Using a mass of concentrates and residues, Fe recovery was calculated in the range of 94–96 wt.%, and 4–6 wt.% of the losses for the raw material (T1) and fractions with a size less than 0.071 mm (T1-01 and T1-03). For larger particles (T1-06), the recovery and loss of iron changed to 77 and 23 wt.%, respectively. This can be explained by the lower content of liberated hematite and quartz particles.
Mass recovery, i.e., the percent of concentrate from feed, ranged from 72 wt.% for the fraction T1-03 (0.063–0.071 mm) to 29 wt.% for T1-06 fraction (0.1–0.25 mm), generally correlating with iron content in the initial raw material. The obtained enrichment ratio indicated that the content of iron increased 1.33–2.64 times in comparison with the initial samples.
The resulting grade and recovery of magnetite concentrates are rather high in comparison with the literature data. For example, an analysis of data presented in Table 1 gives the content of iron in magnetic concentrate ranging from 60.88 wt.% for goethite ore [23] to 69.3 wt.% for processed red mud [5]. In this work, slightly higher values were obtained for the fractions <0.05 mm (T1-01), and 0.063–0.071 mm (T1-03), due to a simple mineral composition and low content of dispersed and coarse particles.

5. Conclusions

The composition, granulometric and beneficiation properties of tailings from the central mining and processing plant have been studied using X-ray diffraction, X-ray fluorescence, microscopy, and magnetization measurements. The beneficiation was conducted using magnetizing roasting with carbon monoxide followed by a dry low-intensity magnetic separation.
Initial tailing materials sampled at various distances from the slurry pipeline consisted mainly of quartz (34–80 wt.%) and hematite (13–58 wt.%), in addition to minor goethite (~3 wt.%) and magnetite (0.7–1.7 wt.%). The results of particle size analysis showed that the tailings were represented by fine-grained material with a predominant fraction of less than 0.05 mm. About 90 wt.% of the initial materials were composed of particles smaller than 0.07 mm. In addition, the amount of the fine-grained fraction <0.05 mm increased from about 50 to more than 90 wt.%.as with increasing distance from the slurry pipeline up to 500 m.
Magnetic roasting of all samples leads to phase transformation of hematite to magnetite with the increase in saturation magnetization up to ~60 Am2/kg. Since hematite and goethite were completely converted to magnetite, the variability of the magnetic characteristics of different samples was due to the different contents of the newly formed magnetite, which, in turn, is determined by the iron content in the initial samples.
Dry magnetic separation of the magnetically modified samples results in the formation of high magnetic concentrates and low magnetic wastes. The content of iron in magnetic concentrates reached 68.5–70.2 wt.%, while the recovery was obtained in the range 94–96 wt.%. The content of iron in the residues ranged from 3 to 10 wt.%, implying 4–6 wt.% of corresponding losses of iron from the raw material and size fractions lower than 0.071 mm. The obtained enrichment ratio showed that the content of iron increased 1.33–2.64 times in comparison with the initial samples.
The results obtained in this article indicated that the tailings are represented by fine-grained liberated material with variable iron content that can be recovered using magnetizing roasting and magnetic separation into two valuable products, −iron concentrate and quartz powder. The secondary quartz residues could be further leveraged in the construction industry.
Looking forward, potential future work could explore optimization strategies for the magnetizing roasting and magnetic separation processes, aiming for enhanced efficiency and reduced environmental impact. Additionally, further investigation into the economic viability and scalability of the proposed beneficiation technique could pave the way for its practical implementation in mining operations.

Author Contributions

Conceptualization, N.D. and V.P.; methodology, V.P.; investigation, V.P., Y.C. and V.O.; resources, I.P.; writing—original draft preparation, V.P.; writing—review and editing, N.D., V.P. and I.P.; validation, I.P.; visualization, V.P. and N.D.; supervision, N.D. All authors have read and agreed to the published version of the manuscript.

Funding

This research received no external funding.

Data Availability Statement

The data presented in this study are available on request from the corresponding author. The data are not publicly available due to privacy.

Acknowledgments

The authors are grateful to Yevtechov Valerii and BespoyaskoEduard for providing the samples of tailings materials and fieldwork, and to Brik Aleksandr for the discussion of the results and valuable remarks. In addition, for the analysis of samples by X-ray diffraction analysis, the authors are grateful to Kosorukov Oleksandr and Matveeva Tetyana, and for quantitative X-ray fluorescence analysis, the authors are grateful to Kalinichenko Tetyana.

Conflicts of Interest

The authors declare no conflicts of interest.

References

  1. Owen, J.R.; Kemp, D.; Lèbre, E.; Svobodova, K.; Pérez Murillo, G. Catastrophic tailings dam failures and disaster risk disclosure. Int. J. Disaster Risk Reduct. 2020, 42, 101361. [Google Scholar] [CrossRef]
  2. de Carvalho, D.W. The Brumadinho Dam Rupture Disaster, Brazil 2019: Analysis of the Narratives about a Disaster from the Perspective of Disaster Law. Rev. Estud. Const. Hermenêut. Teor. Direito (RECHTD) 2020, 12, 227–238. [Google Scholar] [CrossRef]
  3. Ferreira, F.F.; de Freitas, M.B.D.; Szinwelski, N.; Vicente, N.; Medeiros, L.C.C.; Schaefer, C.E.G.R.; Dergam, J.A.; Sperber, C.F. Impacts of the Samarco Tailing Dam Collapse on Metals and Arsenic Concentration in Freshwater Fish Muscle from Doce River, Southeastern Brazil. Integr. Environ. Assess. Manag. 2020, 16, 622–630. [Google Scholar] [CrossRef]
  4. Li, C.; Sun, H.; Bai, J.; Li, L. Innovative methodology for comprehensive utilization of iron ore tailings. Part 1. The recovery of iron from iron ore tailings using magnetic separation after magnetizing roasting. J. Hazard. Mater. 2010, 174, 71–77. [Google Scholar] [CrossRef]
  5. Samouhos, M.; Taxiarchou, M.; Tsakiridis, P.E.; Potiriadis, K. Greek “red mud” residue: A study of microwave reductive roasting followed by magnetic separation for a metallic iron recovery process. J. Hazard. Mater. 2013, 254–255, 193–205. [Google Scholar] [CrossRef]
  6. Zhang, Y.; Li, H.; Yu, X. Recovery of iron from cyanide tailings with reduction roasting-water leaching followed by magnetic separation. J. Hazard. Mater. 2012, 213–214, 167–174. [Google Scholar] [CrossRef]
  7. Yang, X.; Chen, X.; Zhang, T.; Ye, J.; Lv, G.; Zhang, J. Study on Reductive Smelting of High-Iron Red Mud for Iron Recovery. Metals 2022, 12, 639. [Google Scholar] [CrossRef]
  8. Liu, K.; Wang, S.; Quan, X.; Wu, J.; Xu, J.; Zhao, N.; Liu, B. Development of Engineered Cementitious Composites (ECCs) Incorporating Iron Ore Tailings as Eco-Friendly Aggregates. Buildings 2023, 13, 1341. [Google Scholar] [CrossRef]
  9. Li, C.; Sun, H.; Yi, Z.; Li, L. Innovative methodology for comprehensive utilization of iron ore tailings. Part 2: The residues after iron recovery from iron ore tailings to prepare cementitious material. J. Hazard. Mater. 2010, 174, 78–83. [Google Scholar] [CrossRef]
  10. Cobîrzan, N.; Muntean, R.; Thalmaier, G.; Felseghi, R.-A. Recycling of Mining Waste in the Production of Masonry Units. Materials 2022, 15, 594. [Google Scholar] [CrossRef]
  11. Amaral, I.B.C.; Prat, B.V.; Reis, A.B. Effect of iron mining tailings as a red ceramic additive for decreased sintering temperature. Rev. Mater. 2020, 25. [Google Scholar] [CrossRef]
  12. de Almeida, V.O.; Schneider, I.A.H. Hydrometallurgical Processing of Brazilian Iron Ore Tailings for the Synthesis of Pigments. Geomaterials 2022, 12, 30–36. [Google Scholar] [CrossRef]
  13. Legodi, M.A.; de Waal, D. Erratum to “The preparation of magnetite, goethite, hematite and maghemite of pigment quality from mill scale iron waste” [Dyes Pigments 74 (2007):161-8] (DOI:10.1016/j.dyepig.2006.01.038). Dye. Pigment. 2008, 78, 177. [Google Scholar] [CrossRef]
  14. Wu, S.; Sun, A.; Zhai, F.; Wang, J.; Xu, W.; Zhang, Q.; Volinsky, A.A. Fe3O4 magnetic nanoparticles synthesis from tailings by ultrasonic chemical co-precipitation. Mater. Lett. 2011, 65, 1882–1884. [Google Scholar] [CrossRef]
  15. Han, X.; Wang, F.; Zhao, Y.; Meng, J.; Tian, G.; Wang, L.; Liang, J. Recycling of iron ore tailings into magnetic nanoparticles and nanoporous materials for the remediation of water, air and soil: A review. Environ. Chem. Lett. 2023, 21, 1005–1028. [Google Scholar] [CrossRef]
  16. Alegbe, M.J.; Moronkola, B.A.; Osundiya, M.O.; Adekolurejo, E.; Ajewole, B.S.; Petrik, L.F. Synthesis of Iron Nanoparticles from Acid Mine Drainage Using Hydrazine as Reductant. Am. J. Chem. 2022, 12, 23–31. [Google Scholar]
  17. Yu, J.; Han, Y.; Li, Y.; Gao, P.; Sun, Y. Separation and recovery of iron from a low-grade carbonate-bearing iron ore using magnetizing roasting followed by magnetic separation. Sep. Sci. Technol. 2017, 52, 1768–1774. [Google Scholar] [CrossRef]
  18. Ravisankar, V.; Venugopal, R.; Bhat, H. Investigation on beneficiation of goethite-rich iron ores using reduction roasting followed by magnetic separation. Miner. Process. Extr. Metall. 2019, 128, 175–182. [Google Scholar] [CrossRef]
  19. Omran, M.; Fabritius, T.; Elmahdy, A.M.; Abdel-Khalek, N.A.; El-Aref, M.; Elmanawi, A.E.H. Effect of microwave pre-treatment on the magnetic properties of iron ore and its implications on magnetic separation. Sep. Purif. Technol. 2014, 136, 223–232. [Google Scholar] [CrossRef]
  20. Ponomar, V.P.; Dudchenko, N.O.; Brik, A.B. Synthesis of magnetite powder from the mixture consisting of siderite and hematite iron ores. Miner. Eng. 2018, 122, 277–284. [Google Scholar] [CrossRef]
  21. Yu, J.; Han, Y.; Gao, P.; Li, Y.; Yuan, S.; Li, W. An innovative methodology for recycling iron from magnetic preconcentrate of an iron ore tailing. Physicochem. Probl. Miner. Process. 2018, 54, 668–676. [Google Scholar] [CrossRef]
  22. Gaviría, J.P.; Bohé, A.; Pasquevich, A.; Pasquevich, D.M. Hematite to magnetite reduction monitored by Mössbauer spectroscopy and X-ray diffraction. Phys. B Condens. Matter 2007, 389, 198–201. [Google Scholar] [CrossRef]
  23. Jang, K.O.; Nunna, V.R.M.; Hapugoda, S.; Nguyen, A.V.; Bruckard, W.J. Chemical and mineral transformation of a low grade goethite ore by dehydroxylation, reduction roasting and magnetic separation. Miner. Eng. 2014, 60, 14–22. [Google Scholar] [CrossRef]
  24. Jaiswal, R.K.; Acharya, D.K.; Wang, S.S. Beneficiation of goethite iron ore through magnetizing roasting followed by magnetic separation. IOP Conf. Ser. Mater. Sci. Eng. 2020, 748, 012008. [Google Scholar] [CrossRef]
  25. Yu, J.; Han, Y.; Li, Y.; Gao, P. Beneficiation of an iron ore fines by magnetization roasting and magnetic separation. Int. J. Miner. Process. 2017, 168, 102–108. [Google Scholar] [CrossRef]
  26. Ponomar, V.P. Synthesis and magnetic properties of magnetite prepared by chemical reduction from hematite of various particle sizes. J. Alloys Compd. 2018, 741, 28–34. [Google Scholar] [CrossRef]
  27. Ponomar, V.P.; Brik, O.B.; Cherevko, Y.I.; Ovsienko, V.V. Kinetics of hematite to magnetite transformation by gaseous reduction at low concentration of carbon monoxide. Chem. Eng. Res. Des. 2019, 148, 393–402. [Google Scholar] [CrossRef]
  28. Brik, A.B.; Ponomarenko, O.M.; Velichko, Y.V.; Alekseitcev, Y.O.; Cherevko, Y.I.; Dudchenko, N.O.; Yushin, O.O.; Ovsiienko, V.V.; Ponomar, V.P. A Device for the Separation of Highly Dispersed Iron Ore Raw Materials Using the Combined Effect of Permanent and Alternating Magnetic Fields. UA Patent 114796, 27 March 2017. [Google Scholar]
  29. Bespoyasko, T.V. Technological Mineralogy of Hematite ore Beneficiation Wastes of the Kryvyy Rih Basin (on the Example of the Tailings Depository of the “Northern” Mine Named after V. A. Valyavko). Ph.D. Thesis, M.P. Semenenko Institute for Geochemistry, Mineralogy and ore Formation of NAS of Ukraine, Kyiv, Ukraine, 2012. [Google Scholar]
  30. Dunlop, D.J.; Özdemir, Ö. Rock Magnetism: Fundamentals and Frontiers (Cambridge Studies in Magnetism); Cambridge University Press: Cambridge, UK, 1997; 573p. [Google Scholar] [CrossRef]
  31. Pang, J.; Guo, P.; Zhao, P.; Caj, C.; Zhang, D. Influence of size of hematite powder on its reduction kinetics by H2 at low temperature. J. Iron Steel Res. Int. 2009, 16, 7–11. [Google Scholar] [CrossRef]
Figure 1. Scheme of a device for the separation of highly magnetic dispersed iron ores in an alternating magnetic field, where 1 is a permanent magnet; 2—an electromagnet; 3—a tripod; 4—an ore loading platform; 5—a concentrate collector; 6—the base of the separator; 7—a voltage regulator, the black circles denote magnetite, and the white circles denote quartz.
Figure 1. Scheme of a device for the separation of highly magnetic dispersed iron ores in an alternating magnetic field, where 1 is a permanent magnet; 2—an electromagnet; 3—a tripod; 4—an ore loading platform; 5—a concentrate collector; 6—the base of the separator; 7—a voltage regulator, the black circles denote magnetite, and the white circles denote quartz.
Metals 14 00026 g001
Figure 2. Flowchart of the processing of iron ore tailings.
Figure 2. Flowchart of the processing of iron ore tailings.
Metals 14 00026 g002
Figure 3. Mineral composition and iron content of tailings materials obtained from the sampling profiles located at different distances from the slurry pipeline of the tailings pond—T1(50 m north), T3-14, and T3-15 (150 m south), T5 (350 m south), T12 (500 m south).
Figure 3. Mineral composition and iron content of tailings materials obtained from the sampling profiles located at different distances from the slurry pipeline of the tailings pond—T1(50 m north), T3-14, and T3-15 (150 m south), T5 (350 m south), T12 (500 m south).
Metals 14 00026 g003
Figure 4. Granulometric analysis of tailings samples T1, T5, and T12. For better data representation, the mass of initial granulometric fractions 0.05−0.63 and 0.063−0.071 mm is displayed as a sum of 0.05−0.07 mm.
Figure 4. Granulometric analysis of tailings samples T1, T5, and T12. For better data representation, the mass of initial granulometric fractions 0.05−0.63 and 0.063−0.071 mm is displayed as a sum of 0.05−0.07 mm.
Metals 14 00026 g004
Figure 5. Mineral composition and iron content for granulometric fractions <0.05 mm, 0.063–0.071 mm, and 0.1–0.25 mm of tailings samples T1, T5, and T12.
Figure 5. Mineral composition and iron content for granulometric fractions <0.05 mm, 0.063–0.071 mm, and 0.1–0.25 mm of tailings samples T1, T5, and T12.
Metals 14 00026 g005
Figure 6. The saturation magnetization of initial and roasted samples from the tailings.
Figure 6. The saturation magnetization of initial and roasted samples from the tailings.
Metals 14 00026 g006
Figure 7. X-ray diffraction analysis of the original (a) and roasted (b) samples of T1 and fractions <0.05 mm (T1-01), 0.063–0.071 mm (T1-03), 0.071–0.1 mm (T1-06), where Metals 14 00026 i001—quartz, Metals 14 00026 i002—hematite, and Metals 14 00026 i003—magnetite.
Figure 7. X-ray diffraction analysis of the original (a) and roasted (b) samples of T1 and fractions <0.05 mm (T1-01), 0.063–0.071 mm (T1-03), 0.071–0.1 mm (T1-06), where Metals 14 00026 i001—quartz, Metals 14 00026 i002—hematite, and Metals 14 00026 i003—magnetite.
Metals 14 00026 g007
Figure 8. The saturation magnetization of the roasted size fractions <0.05 mm, 0.063–0.071 mm, 0.071–0.1 mm of samples T1, T5, and T12.
Figure 8. The saturation magnetization of the roasted size fractions <0.05 mm, 0.063–0.071 mm, 0.071–0.1 mm of samples T1, T5, and T12.
Metals 14 00026 g008
Figure 9. Mass magnetization of residues and concentrates after magnetic separation of tailings material from T1 and its size fractions <0.05 mm (T1-01), 0.063–0.071 mm (T1-03), 0.071–0.1 mm (T1-06).
Figure 9. Mass magnetization of residues and concentrates after magnetic separation of tailings material from T1 and its size fractions <0.05 mm (T1-01), 0.063–0.071 mm (T1-03), 0.071–0.1 mm (T1-06).
Metals 14 00026 g009
Figure 10. X-ray diffraction analysis of concentrates (a) and residues (b) of samples T1 and fractions <0.05 mm (T1-01), 0.063–0.071 mm (T1-03), 0.071–0.1 mm (T1-06), where Metals 14 00026 i001—quartz, Metals 14 00026 i002—hematite, and Metals 14 00026 i003—magnetite.
Figure 10. X-ray diffraction analysis of concentrates (a) and residues (b) of samples T1 and fractions <0.05 mm (T1-01), 0.063–0.071 mm (T1-03), 0.071–0.1 mm (T1-06), where Metals 14 00026 i001—quartz, Metals 14 00026 i002—hematite, and Metals 14 00026 i003—magnetite.
Metals 14 00026 g010
Table 2. Parameters for magnetic separation performance (α—Fe concertation in the ore before separation, ß—Fe concentration in magnetic concentrate, θ—Fe concentration in tails, R—ratio of concentration, εC—Fe recovery in concentrate, εT—Fe loss in tails, γC—weight recovery of concentrate, K—enrichment ratio).
Table 2. Parameters for magnetic separation performance (α—Fe concertation in the ore before separation, ß—Fe concentration in magnetic concentrate, θ—Fe concentration in tails, R—ratio of concentration, εC—Fe recovery in concentrate, εT—Fe loss in tails, γC—weight recovery of concentrate, K—enrichment ratio).
SampleSize (mm)α (%.wt)ß (%.wt)θ (%.wt)RεC (wt.%)εT (wt.%)γC (wt.%)K
T1Raw42.769.33.51.7294.325.6858.111.62
T1-01<0.0540.569.72.91.7996.123.8855.851.72
T1-030.063–0.07152.770.210.41.3995.854.1571.961.33
T1-060.1–0.2525.968.58.33.4277.2422.7529.22.64
Disclaimer/Publisher’s Note: The statements, opinions and data contained in all publications are solely those of the individual author(s) and contributor(s) and not of MDPI and/or the editor(s). MDPI and/or the editor(s) disclaim responsibility for any injury to people or property resulting from any ideas, methods, instructions or products referred to in the content.

Share and Cite

MDPI and ACS Style

Dudchenko, N.; Ponomar, V.; Ovsiienko, V.; Cherevko, Y.; Perelshtein, I. Mineral Magnetic Modification of Fine Iron Ore Tailings and Their Beneficiation in Alternating Magnetic Fields. Metals 2024, 14, 26. https://doi.org/10.3390/met14010026

AMA Style

Dudchenko N, Ponomar V, Ovsiienko V, Cherevko Y, Perelshtein I. Mineral Magnetic Modification of Fine Iron Ore Tailings and Their Beneficiation in Alternating Magnetic Fields. Metals. 2024; 14(1):26. https://doi.org/10.3390/met14010026

Chicago/Turabian Style

Dudchenko, Nataliia, Vitalii Ponomar, Volodymyr Ovsiienko, Yurii Cherevko, and Ilana Perelshtein. 2024. "Mineral Magnetic Modification of Fine Iron Ore Tailings and Their Beneficiation in Alternating Magnetic Fields" Metals 14, no. 1: 26. https://doi.org/10.3390/met14010026

APA Style

Dudchenko, N., Ponomar, V., Ovsiienko, V., Cherevko, Y., & Perelshtein, I. (2024). Mineral Magnetic Modification of Fine Iron Ore Tailings and Their Beneficiation in Alternating Magnetic Fields. Metals, 14(1), 26. https://doi.org/10.3390/met14010026

Note that from the first issue of 2016, this journal uses article numbers instead of page numbers. See further details here.

Article Metrics

Back to TopTop