Next Article in Journal
A New Method for Preparing Titanium Aluminium Alloy Powder
Previous Article in Journal
Structure Investigation of La, Y, and Nd Complexes in Solvent Extraction Process with Liquid Phosphine Oxide, Phosphinic Acid, and Amine Extractants
 
 
Font Type:
Arial Georgia Verdana
Font Size:
Aa Aa Aa
Line Spacing:
Column Width:
Background:
Article

Optimization of Macro Segregation and Equiaxed Zone in High-Carbon Steel Use in Prestressed Concrete Wire and Cord Wire Application

Faculty of Chemical and Metallurgical Engineering, Metallurgical and Materials Engineering, ITU Ayazaga Campus, Istanbul Technical University, 34469 Istanbul, Turkey
*
Author to whom correspondence should be addressed.
Metals 2023, 13(8), 1435; https://doi.org/10.3390/met13081435
Submission received: 10 July 2023 / Revised: 5 August 2023 / Accepted: 8 August 2023 / Published: 10 August 2023
(This article belongs to the Section Metal Casting, Forming and Heat Treatment)

Abstract

In this study, the relationship between macro segregation and the equiaxed zone in high-carbon grades with continuous casting parameters was investigated and optimized at the İsdemir iron and steel plant. The work was conducted for the 1080 quality of the SAE J403 standard. In this study, some parameters, such as casting speed, secondary cooling, EMS current value and EMS frequency value, were examined. When the results of the experiments are examined, it can be observed that the equiaxed zone in the macrostructure decreases significantly with the reduction of the EMS frequency value. The decrease in casting speed and increase in EMS current value caused an increase in the equiaxed zone. The increment in secondary cooling led to a decline in the equiaxed zone. Once the macro segregation results are examined, it can be seen that it is very important to optimize the continuous casting parameters in order to reduce the macro segregation results of—especially—carbon, sulfur and phosphorus elements. It has also been determined that the macro segregation values of carbon, sulfur and phosphorus elements are low in casting conditions where casting speed is low, and the EMS current value and EMS frequency value are high. In addition, macro segregation measurements of manganese, silicon, chromium and vanadium elements are found to be low under similar casting conditions. It is critical to optimize the continuous casting parameters before production, especially in high-carbon grades to be used for prestressed concrete wire and cord wire applications. As a result of the work conducted using the İsdemir billet continuous casting machine for the 1080-grade SAE J403 standard, aiming to optimize macro segregation and the equiaxed zone, the effective results have been achieved by using process parameters of 2.8 m/min casting speed, 360 A EMS current, 5 Hz EMS frequency and low secondary cooling intensity.

1. Introduction

The continuous casting process started with modern steel production, and today, more than 96% of the total steel production is realized by this process [1,2]. The benefits of the continuous casting process, in terms of production efficiency and energy consumption, are among the most important reasons why it is preferred in production [3,4,5]. Very low-carbon steels, high-alloy steels and high-carbon steels can be produced by the continuous casting process since it has an advantage in terms of product diversity [6]. Slab, billet and bloom are mostly produced by the continuous casting process. These products are considered semi-finished products, and the final product is obtained after these products are passed through subsequent processes [1,7]. The sensitization of the areas of use in steel consumption and the increase in expectations from the steel used have increased the importance of producing quality products in steel production. Especially in steels, such as tire cord steels, similar or higher performance is targeted with a smaller amount of steel to reduce the carbon footprint. Another example is PC strand steels. The critical area of use requires a high level of product properties [8]. When steelmaking and continuous casting processes are considered in the production of high-carbon steels, two main problems arise. The first one is steel cleaning, and the second one is the segregation defect that occurs in the continuous casting process [1,9,10,11]. There are many alloying elements in the steel. These elements are thrown into the liquid region according to a constant expressed by the equilibrium partition coefficient “Ke” at the solid–liquid interface during solidification. Thus, the element that passes from the solid phase to the liquid phase and dissolves makes the liquid phase rich in composition. If the liquid phase solidifies where it is rich in composition, segregation occurs in the steel. The equilibrium dispersion coefficient is also determined by the ratio of dissolved element concentrations between the solid and liquid. Cs/Cl = Ke Cs represents the concentration of the element in the solid phase, where Cs represents the concentration of the element in the liquid phase; Ke is a coefficient less than 1; and Cl, which is referred to as concentration, represents the weight ratio of the elements in the steel. From a thermodynamic point of view, Ke = as/al. In dilute binary solutions, as = Cs and al = Cl since the solution will obey Henry’s rule. However, when more than one element is present in the solution, and the interaction of these elements with each other is considered, the equation Cs/Cl = Ke should be modified. In addition, Ke also varies with temperature, but it has a negligible effect in low-concentration solutions, and the effect of temperature is neglected in the CS/CL = Ke equation. The following table shows the equilibrium partition coefficient of some elements in binary solubility in δ and γ iron [12].
Elements with a low Ke coefficient tend to segregate more. Based on the Table 1 and this information, carbon, phosphorus and sulfur elements are expected to be more segregated [13]. For an equilibrium solidification process, where Fs represents the solid fraction, Fl the liquid fraction and Co the concentration in the whole mixture, the following equation applies:
CS fS + CL fL = Co
In an equilibrium solidification process, complete mixing and equilibrium are assumed at every stage at the solid, liquid and solid–liquid interface. Since the mixing in the liquid will be by convection, it is fast and explainable. When the mixing at the interface is analyzed atomistically, it can be seen that it is in equilibrium and mixing occurs. However, since the mixing in the solid will be by a diffusion mechanism, this mixing is slow and complete mixing is very difficult to occur. Assuming complete mixing in the liquid and no diffusion in the solid, the Scheil equation, which describes the distribution of solute elements between solid and liquid, is derived [14].
Scheil   equation :   r = C s / C l = ( 1 f s ) ^ ( K e 1 )
The r value in this equation is the equation describing the enrichment of the composition of the liquid in terms of soluble elements during the solidification process. If a more realistic evaluation is made, there will be no complete mixing in the liquid. Based on this and considering the material balance at the solid–liquid interface, the following equation will be obtained:
C L t = D 2 C L 2 x + R C L x
In this equation, x is the solid–liquid interface, D is the diffusion coefficient, R is the liner solidification rate of the solid–liquid interface and t is the time elapsed since the solidification starts. Since R is a time-dependent variable, the solution of this equation is numerical and requires a computer-aided program [14].
Micro segregation is the difference in the chemical composition of the segregation at a level less than a millimeter, which may occur as a result of the continuous casting process and is not a very serious quality problem in terms of the product, as micro segregation can be eliminated in homogenization annealing. Macro segregation, on the other hand, is a defect in the chemical composition difference from a millimeter to a meter level, and since it is almost impossible to eliminate, it adversely affects the workability, mechanical properties and internal structure quality of the product [7,13,15,16,17]. Macro segregation occurs when the dissolved elements expelled from the solid–liquid interface, followed by the liquid phase enriched in dissolved element content, are transported by mass transfer through the dendrites to the “mushy” zone containing a solid–liquid mixture. The size of the mushy zone is determined by the thermal conditions during casting, and the factors affecting these thermal conditions are the thermal gradient, the solidification rate and the chemical composition of the steel, which determines the difference between the solidus and liquidus points. As the thermal gradient increases, the mushy zone region expands, and as the liquidus–solidus difference increases, the mushy zone region expands again [18,19,20,21]. One of the important transport mechanisms of the liquid rich in the inter-dendrite composition is the transport due to density difference. If the solution is expelled at a high rate, the density of the liquid will be lower than the density of the iron, which allows the low-density liquid to flow through the dendrite channels to the mushy region. If the density of the excreted element is higher than the density of iron, it will increase the density of the liquid and reduce the level of macro segregation by making its movement difficult [2]. If the liquid, which is rich in the composition of the dissolved element, exits the “columnar mushy” region, it will eventually go to the region of the equiaxed zone in order to fill the casting shrinkage cavity and cause V-type segregation. This clearly demonstrates that macro segregation is controlled by the fluid flow in the mushy zone [7,22,23]. While the mushy zone formed in the columnar dendritic solidification type causes a high level of macro segregation in the continuous casting structure, the segregation that occurs in the equiaxed zone will remain at the micro level and will be less harmful to the casting structure. For this reason, the early transition from columnar dendritic solidification to equiaxed solidification in the continuous casting of the billet is important in terms of reducing macro segregation in the billet casting structure [24]. There are many factors affecting the macroscopic distribution of the soluble element in the casting structure. These factors are listed as casting size, solidification rate, heat transfer, chemical composition, casting speed and casting temperature [25,26]. Macro segregation can be detected after chemical analyses from different points of the part taken from the casting structure [14,27]. Although there are a scarce number of studies, the effects of continuous casting parameters on the product have also been examined and modeled using tensile tests [28]. Working with low thermal gradient and low superheat in billet continuous casting will accelerate the transition from the columnar dendritic solidification type to the equiaxed zone type. This will lead to an increase in the area of the equiaxed grains and a reduction in center segregation [29]. However, reducing segregation by thermal methods alone is not sufficient to produce high-quality steel and severely limits the flexibility to play with other parameters in the process of continuous casting. The methods used in the process to reduce macro segregation in continuous casting are EMS, TSR and Soft Reduction [30,31]. EMS, which can be used especially in the mold, secondary cooling and final solidification point in billet casting, has been used since the 1970s and is the most preferred method to reduce macro segregation [7]. It has been observed in various studies that the transition from the columnar dendritic solidification type to the equiaxed solidification type using EMS in billet continuous casting can be achieved effectively even at high superheat [32,33]. In addition, it has been observed in some studies that the inclusions in the steel during solidification using EMS are retained by the mold powder with the effect of the stirring [34]. In the solidifying casting structure, with the effect of stirring created by the EMS, the dendrite ends break or melt into the solidifying liquid and the broken dendrite ends act as nuclei in the structure to be equiaxed that is joined in the liquid. The desired condition during the transition from the columnar dendritic structure to the equiaxed zone is the presence of a sufficient amount of dendrite ends in the liquid by breaking to start equiaxed grain solidification [35]. Macro segregation is a phenomenon that occurs in the mushy region between the liquid and solid regions and can be controlled by the thermal conditions of the process. With the application of EMS, it is possible to reduce and almost eliminate the mushy zone. EMS operating parameters are very important in EMS applications. In the studies carried out, EMS current and frequency are the parameters that most affect the size of the equiaxed zone and the distribution of soluble elements. EMS current and frequency depend on the type of EMS equipment and vary from machine to machine. From a study conducted by Wang et al. in 2014, the effect of EMS current intensity on the segregation index and size of the equiaxed grain structure in bloom casting is shown in the graphs below. Four different current values, 0 A, 100 A, 200 A and 300 A, are applied while casting a bloom with dimensions of 260 mm × 300 mm. It was reported that the carbon segregation index is reduced to the range of 0.95–1.05 by applying the 300 A value, and the equiaxed zone increased by 10% compared to the casting without the current application [36]. In a study conducted by Yu et al. in 2013, the effects of EMS current and frequency values on the casting structure were investigated. An 82B quality was used in the study. The summary table obtained after the study is shared below. In the study, 260 A, 280 A and 300 A values were used as EMS current values, and the values examined as frequencies were 4 Hz, 6 Hz, 7 Hz and 8 Hz. It was determined that carbon segregation decreased with an increasing EMS current value. Furthermore, it was determined that internal structure cracks were observed at the highest current and frequency values. Therefore, it clearly demonstrated the fact that there was a need for optimization [37]. In another study in 2021, Han et al. investigated the effects of the F-EMS current value on carbon segregation for steel containing 0.82 carbon. EMS current values between 0 and 280 A were examined and it was revealed that the optimum value was achieved at 240 A [38]. In their 2019 study, Wan Y et al. investigated the effects of EMS current and frequency on high-carbon steels. In the study, EMS current value was examined in the range of 0–400 A, and frequency value in the range of 4–12 Hz. As a result of this study, it was found that the most effective EMS operating parameter was 12 Hz, 280 A. Since the EMS frequency value was set to 12 Hz, it was observed that the EMS current value could not exceed 280 A. This study is especially important in terms of the necessity of optimizing the EMS current and frequency values in the continuous casting machine [39]. In 2021, Wang Y et al. investigated the effects of EMS operating parameters on the bloom continuous casting method of 20CrMnTi quality. In the study, in which 0 and 390 A levels of M EMS values were compared, it was determined that the 390 A value increased the equiaxed zone in the structure by 20% [40].
In 2017, Fang, Q. compared the EMS value of 450 A and 600 A in the bloom continuous casting machine. The study revealed that the internal structure of the bloom was more favorable at the level where the EMS current value was higher [41]. In a study conducted by Cho in 2019, the results indicated that the equiaxed zone was increased up to 60% when the EMS current value was operated at 400 A and the EMS frequency value was operated at 5 Hz in slab continuous casting [2]. In a 2014 study conducted by Su et al. for the SWRH82B quality 160 × 160 mm billet continuous casting process, the relationship of carbon segregation with secondary cooling and casting speed was investigated. The relationship of 1.41, 1.81 and 1.82 m/min casting speeds with carbon segregation was also investigated and it was revealed that the most homogeneous value was achieved at the lowest casting speed. Additionally, it was revealed that the value of 1 L/kg of secondary cooling intensity was the optimum value in terms of segregation [42]. Secondary cooling is another fact that concludes the heat transfer of shell thickness along the distance from the meniscus in billet casting. Within the brittle temperature range of solidification, it is known that creep stress triggers the reaction chain from inter-dendritic decohesion to internal cracks along the solid–liquid interface. However, intensive secondary cooling is not a factor that suppresses segregation individually [43]. Choudhary and Sivesson colleagues studied the segregation characteristics and morphology. The researchers found that the equiaxed zone seemed asymmetric around the center of the billets. Tundish superheat temperatures played an important role in the segregation ratio and secondary cooling that metallurgically affected the billet macrostructure [12,44]. Ludlow and colleagues studied the central segregation effect on high-carbon steel grades. The effects of the process parameters, such as electromagnetic stirring and superheat conditions, were evaluated. They summarized the ideal situation for a low segregation level formed by low superheat, intense secondary cooling and submerged pouring [45]. Jiang et al. studied the effect of final electromagnetic stirring in billet continuous casting. The optimized stirring pool for final EMS and current intensity was inspected. They observed carbon segregation and liquid fraction of steel during solidification. The stirring pool width was detected as a crucial parameter for elements’ dispersion and segregation [46]. In a study by Wang et al. in 2019, a change in the equiaxed zone on the internal structure of the billet was investigated by increasing the M-EMS current value from 0 to 800 A. It was observed that the equiaxed zone increased with the increase in EMS current intensity and the best value was obtained at the maximum value of 800 A. In the study using steel with 0.42% C content, the best-equiaxed zone was found to be 27.16% [47]. In 2020, Falkus et al. investigated the effects of casting speed on center carbon segregation. In the study, high-carbon steel containing 0.82% C was produced in a six-channel continuous casting machine with a size of 160 × 160 mm. Casting speed values were 1.81 and 2.5 m/min. The production results were analyzed and evaluated using LECO and OES measurement methods. As a result, it was observed that low casting speed yielded positive results in terms of center carbon segregation [9]. In the study conducted by Zhang et al. in 2022, a detailed literature review was carried out within the scope of examining the effects of EMS use on the internal structure of continuous casting. As a result of the detailed literature review investigation made, it was made clear that from the result of many studies, macro segregation is minimized with the increase of EMS usage and EMS current value [48]. In 2020, Guan et al. examined the effect of the EMS current value on the internal structure in terms of macro segregation and put forward that optimization should be made. They analyzed the M-EMS current value between 0 and 600 A and found that macro segregation decreased with the increase in EMS current value. The researchers stated that the value of 500 A was optimum in their study and revealed the benefit of working on the EMS current value, especially in continuous casting plants [49]. Unlike other researchers, Kihara, in 2022, examined macro segregation values of not only the element C but also Mn, Si, P, S, Cr, Mo, Ni and Cu. In the study, the use of EMS and casting speeds of 0.8 m/min and 1.2 m/min were examined in slab-casting plants. As a result, it was revealed that the casting speed was low and the use of EMS had a positive effect on macro segregation [50]. In their study, Jiang et al. revealed that the center segregation decreases with the increase of the EMS current value, in which they studied numerical methods [51]. In the study conducted by Sun et al., the effect of EMS current values of 200 A, 300 A, 400 A and 450 A on the equiaxed zone was tested. It was observed that the equiaxed zone increased from 29% to 56.8% by increasing the EMS value from 200 A to 450 A [52]. In the article by Yu et al. describing the formation of MnS inclusions, mostly in the central part with the sulfur element segregating in the center, the importance of segregation for sensitive areas of use was seen [53]. As seen in the studies presented above, macro segregation is an important defect that should be minimized, especially for the high-carbon steel group. The parameters affecting the defect are casting speed, casting temperature, secondary cooling intensity, design of the continuous casting machine and EMS parameters, which have been studied in detail in the literature [54]. In the measurements of macro segregation, the measurement of the center carbon segregation and the ratio of the equiaxed zone in the whole area are generally used. The aim of this study was to test and optimize various levels of continuous casting parameters in order to minimize macro segregation for SAE J403 standard 1080 quality. Unlike the previous studies, the casting speed, EMS current value, EMS frequency value and secondary cooling intensity levels were extensively tested together. In addition, not only were the equiaxed zone ratio and carbon segregation studied, but also the macro segregation of Mn, Si, S, S, P, Cr and V elements were revealed. It is believed that empirical analysis will contribute to the existing valuable literature by detailing the parameters and examination criteria to be optimized in continuous casting.

2. Materials and Method

Heat was cast at İsdemir Steel and Iron Works, which has four blast furnaces, four desulfurization units, three basic oxygen furnaces and five ladle furnaces, four of which are twins. It also has four continuous casting machines, two of which are identical billet continuous casting machines and two are identical slab continuous casting machines. Experimental heat is cast using the blast furnaces, basic oxygen furnace, ladle furnace and billet continuous casting machine.
Billet continuous casting machines are Concast Convex Curve type machines with a height of 14.86 m and metallurgical length of 27.14 m. Billet continuous casting machines have six strands. These machines have open and submerged casting capabilities. Billet machine casting dimensions are 130, 150 and 160 mm squared with a length of 12 m.
Heat is produced in a 130 mm squared machine according to SAE J403 standards and 1080 grade. Analysis of heat is given in Table 2, below. Fe is a balance element in all heat.
Samples were taken from the head of the billets. The samples that were examined were taken from the center of the billet and had dimensions of 65 × 40 mm, as shown in Figure 1. The samples were grinded, polished and etched with Ober-Hofer solutions for 20 min to examine the equiaxed zone. The macro segregation index was observed using an Optic Emission Spectrometer.
Macro segregation was analyzed for C, Mn, Si, S, P, V and Cr elements as shown Figure 1 and Figure 2. Three different formulas were applied to determine the best macro segregation level for the seven elements. Formulas for determination of macro segregation are given below.
X 0 X h e a t
max ( 1 ) min ( 1 )
max X 0 m i n   X 0  
The first formula yields three different results for determination of macro segregation. X0 represents every analysis from the sample from edge to center of billet. The second formula gives the difference between the maximum and minimum values of the first equation. The third formula gives the difference between the maximum and minimum value of solid analyses given from edge to center of billet. These three formulas provide the difference between the solid and heat analysis and the variation of the solid analysis in the billet. The equiaxed zone is determined through visual examination after etching with Oberhofer solution. Equiaxed zone is found with the division of equiaxed zone of total area of sample taken from billet. Casting speed, secondary cooling intensity, EMS current and EMS frequency were tested in different levels in experiment. Cooling intensity was tested for secondary cooling zone and three different levels were conducted. Unit of cooling intensity is liter per kilogram.
Industrial experiments were conducted on a billet casting machine using a determined experimental setup. Different combinations of experimental parameters are listed in Table 3, below. During the tests, 16 different combinations of experiment parameters were applied in two sequences of heat. All trial sets have been summarized in Table 4.

3. Results and Discussion

The experimental results of this empirical study are divided into six parts. First, the relationship between the electromagnetic stirring effect (frequency, current) and the equiaxed zone is observed. Second, the solidification structure is concluded based on casting machine parameters, such as secondary cooling and casting speed. Macro segregation observations are made. Finally, the solidification patterns of industrial heat are demonstrated using FactSage 7.3 thermodynamic software.
After the tests were completed, metallurgical inspections of the equiaxed zone were performed. The rate of the equiaxed zone in all billet samples is shown in Table 5, below.
The percentage of the equiaxed zone in the structure is an important indicator for macro segregation. The percentage of the equiaxed zone provides important insight into the homogeneity of the macrostructure, and the results are shown in Table 5. Since this homogeneity will be a quality indicator reflected in the final product, it is considered to be an important evaluation criterion in this empirical study.

3.1. Microstructure of Cast Structure

As a result of the examinations, microstructure analyses of the casting structure were performed, and the best microstructure and the worst microstructure images are given below.
Test conditions are shown in Table 6 and Table 7. When the microstructures were analyzed, which were displayed in Figure 3, Figure 4, Figure 5, Figure 6, Figure 7, Figure 8, Figure 9, Figure 10, Figure 11, Figure 12 and Figure 13. For the worst condition Figure 4, Figure 5, Figure 6 and Figure 7 and the best condition for Figure 9, Figure 10, Figure 11, Figure 12 and Figure 13, it was found that the best test conditions contained a more homogeneous structure than the worst test conditions. In particular, it can be seen in the microstructure that the equiaxed region is wider in the best test conditions, and the size of the dendritic structure is noticeable in the worst test conditions. Additionally, a bigger equiaxed zone can be detected clearly in the best condition as seen in Figure 3 and Figure 8.

3.2. EMS Frequency

The EMS frequency was tested in the first four experiments. The EMS current, casting speed and secondary cooling were set to 360 A, 2.8 m/min and 0.92 kg/lt, respectively. As these parameters were set to constant values, the EMS frequency was 2, 3, 4 and 5 Hz.
Figure 14 below, shows that the EMS frequency value of 5 Hz was the best value in the examination of the equiaxed zone. An increase in the EMS frequency value resulted in an increase in the equiaxed zone in the structure. It is thought that the reason for this is that it breaks the unstable dendrites in the structure more efficiently in a shorter amount of time. Particularly, after the 3 Hz value, a positive effect on the structure was observed. However, a dramatic decrease was observed at 2 Hz. Based on the test results, it is appropriate to use values of 3 Hz or higher during the continuous casting of high-carbon steel grades in terms of the equiaxed zone. Since the equiaxed zone is also an indicator of macro segregation, it is remarkable that the EMS frequency value can be crucial.

3.3. EMS Current

The current of the EMS was tested in experiments with a frequency of 5 Hz, casting speed of 2.8 m/min and secondary cooling of 0.92 kg/lt. These parameters were set to constant values, with the EMS current set at 100, 200, 300, 360 and 400 A.
As seen in Figure 15 below, the examination of the EMS current results shows that the equiaxed zone is below 20% when the current is set at 300 A or below. While evaluating the equiaxed zone results, it was determined that structures with an increase up to 27.30% were present, especially at current values of 400 A. These results align with the literature review outlined in the introduction of this paper, which shows that the percentage of the equiaxed zone increases as the EMS current increases.
The EMS current value is an important parameter for continuous casting of high-carbon steel with a submerged entry nozzle. Optimizing the EMS current is crucial for the continuous casting process, as having the highest value of the EMS current does not guarantee the best results and can lead to erosion of the SEN. This experiment is of utmost importance for the İsdemir continuous caster. Although the highest value of the EMS current is 400 A, this value has the potential to cause issues with steel cleanliness. As a result, the values of 300 or 360 A are more beneficial for the İsdemir continuous caster.

3.4. Secondary Cooling

Secondary cooling was tested in the third set of three experiments, with the EMS current set at 360 A, the EMS frequency set at 5 Hz, and the casting speed set at 2.8 m/min. These parameters were set to constant values, and the secondary cooling was set at 0.92, 1.25 and 1.75 kg/lt. Examination of the secondary cooling results in Figure 16 shows that soft cooling has a positive effect on the equiaxed zone. The literature research states that secondary cooling has a weak effect on the equiaxed zone, but a hard secondary cooling regime has a positive effect on the macrostructure [4]. However, there are not enough results in these studies about cracking in the center of the billet. In this study, when the secondary cooling regime was set to the hardest value, cracks appeared in the center of the billet. Therefore, continuous casting machines should not only be tested for equiaxed zones but also for cracking in the center of the billet. This study shows that soft cooling can be used for high-carbon billet quality if the EMS parameters and casting speed are set properly.

3.5. Casting Speed

Casting speed was tested in the fourth experiments using four different casting speeds. EMS current, EMS frequency and secondary cooling were set at 360 A, 5 Hz and 0.92 kg/lt, respectively. As these parameters are set constant values, the casting speed was 3, 3.2, 3.4 and 3.5 m/min. Since it was seen in previous trials that the value of 2.8 m/min and the appropriate casting parameters used with the appropriate casting parameters exceeded 20% for the equiaxed zone, the effects of increasing the casting speed on the structure were desired to be examined. Casting speed is one of the most important parameters of the continuous casting process. Casting speed is a function of casting temperature. As the casting speed increases, the last remaining liquid point in continuous casting will lengthen. These means that the temperature of the strand will be higher. As a result, a higher casting speed means higher segregation and a lower equiaxed zone [37]. In this study, results show that there is a tendency to decrease the equiaxed zone in billet structure with increasing casting speed. As seen in Figure 17 below, a 2.8 m/min casting speed yields the highest equiaxed zone in experiments. A value of 26.73% is the average of three different experiments with 2.8 m/min casting speed, 360 A EMS current value, 5 Hz EMS frequency and the lowest cooling intensity. As a result of the experiments, it seems that the use of high casting speeds in high-carbon casting qualities has a negative effect in terms of the equiaxed zone for the İsdemir billet continuous casting machine.

3.6. Macro Segregation Result

Macro segregation results are examined for C, Mn, Si, S, P, V and Cr values. The best and worst values in terms of segregation ratio are given below according to the macro segregation results in Table 8.
Carbon is one of the most important elements in macro segregation evaluation. High-carbon segregation causes nucleation of martensite and grain boundary cementite after hot rolling billets for high-carbon steel qualities. When the results of Table 8 are examined, and the best value and the worst value are compared, the EMS frequency value draws attention. So, 2 Hz, which is the lowest value of continuous casting machine, gives the worst result, and in a solid analysis, a 0.059% carbon difference is measured with the OES device. When examining the ratio of solid analysis and heat analysis, the difference of this ratio measured from the solid sample is 0.074. These results mean that the carbon variation in billet is high, and these variations effect the final properties of the wire rod, such as mechanical test results and final microstructure. High-carbon variation means there is a fluctuation in tensile strength and the martensitic and/or grain boundary cementite structure in the microstructure. Four Hz, which is a relatively high EMS frequency value, yields the best result in carbon macro segregation. In addition to this low casting speed, soft secondary cooling and a high EMS current value are beneficial for carbon macro segregation in a continuous casting process at İsdemir.
Manganese, silicon, vanadium and chromium have high partition coefficients in comparison with carbon, sulfur and phosphorus [14]. This means that it is expected that low partition coefficients’ value in ferrite and austenite during solidification have high potential in terms of macro segregation during solidification. Despite this, Mn, Si, V and Cr have low potential in terms of macro segregation. When results are examined for Mn, Si, V and Cr, high casting speed yields the worst results: 3.5 m/min casting speed yields 0.026% Mn variation in solid analysis. For Cr and V analysis, 3.5 m/min, the highest value in casting speed, likely has the worst results in terms of macro segregation. For Si analysis, low EMS current value has the worst result. However, the worst result is not as bad as the worst results of other elements. This is related to the partition coefficient value of Si.
Sulfur and phosphorus results are interesting in terms of macro segregation as these two elements have a tendency to give high variation in solid analysis due to a low partition coefficient. Results show that the highest casting speed and lowest EMS frequency value have an adverse effect on the macro segregation of these two elements. In sulfur analysis, the difference the between highest value and lowest value of the ratio of solid analysis to heat analysis measured 0.513, and the difference between solid analysis is 0.0039%. Heat analysis of sulfur is 0.0076%, and the variation is more than half of heat analysis. The phosphorus results are the same, and the worst value has high variation: 0.0029%. Therefore, it is important to optimize process parameters to minimize macro segregation for S and P elements. Mn/S ratio and percentage of N can be criteria for evaluating macro segregation. These values are not so different for heat cast in this experiment.

3.7. Solidification Patterns

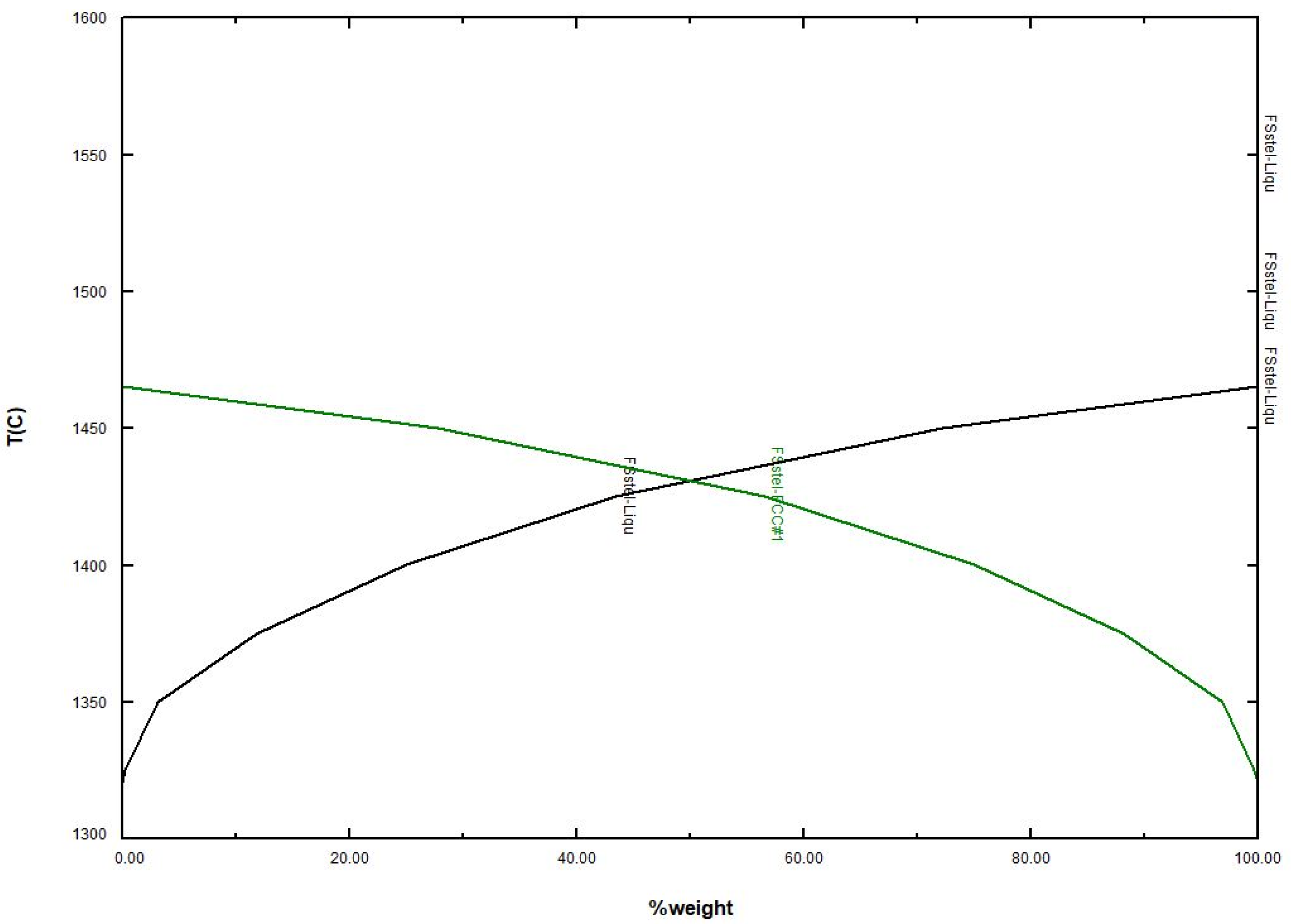
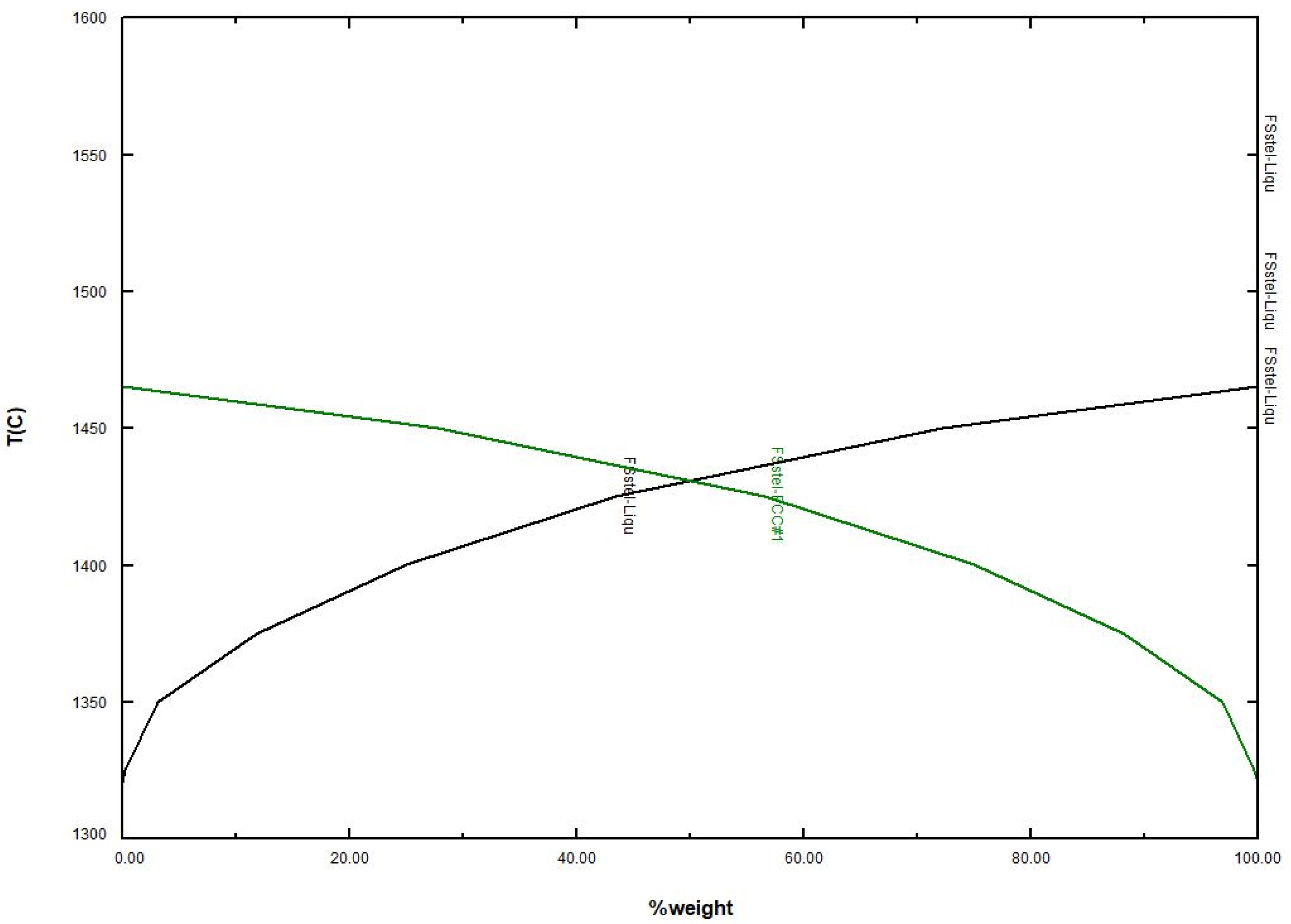
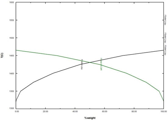
Solidification patterns of Heat 1 and Heat 2 were calculated using FactSage thermodynamic software. The phase transitions during solidification for a 100 kg sample for Heat 1 and Heat 2 are shown in Figure 18 below. As shown in the graphic, the liquidus temperature was detected as 1465 °C. The black line represents the liquid phase, and the green curve shows the austenite (ɣ) phase in the matrix. The x-axis displays weight percentage with transitions, and the y-axis indicates temperature. Reactions and enthalpy values (∆H) during solidification are disclosed in Table 9.

4. Conclusions

Solidification structure and macro segregation were examined and optimized in the İsdemir billet continuous casting machine for SAE J403 1080 grade.
  • High EMS frequency and high EMS current values yield the best result in terms of macro segregation and the equiaxed zone.
  • Low casting speed practice is beneficial for the equiaxed zone, which means high homogeneity in the macrostructure. In addition to this, low casting speed is crucial for C, P and S macro segregation.
  • Soft secondary cooling practice gives a high equiaxed zone and low macro segregation index in the macrostructure.
  • In this study, macro segregation and the equiaxed zone are optimized in the İsdemir billet continuous casting machine for 1080 grade of SAE J403 standard with process parameters of 2.8 m/min casting speed, 360 A EMS current, 5 Hz EMS frequency and low secondary cooling intensity.
  • As the literature gives some industrial process parameters to optimize quality parameters for high-carbon grades, industrial experiments should be performed to yield the best results.
  • In a future study, macro segregation modeling can be performed according to continuous casting parameters. A decision support system can be run according to the internal structure quality during production without taking samples after modeling.

Author Contributions

Methodology, N.S.; Investigation, İ.A.; Resources, İ.A.; Writing—original draft, İ.A.; Writing—review and editing, N.S.; Supervision, N.S.; Project administration, İ.A. All authors have read and agreed to the published version of the manuscript.

Funding

This research received no external funding.

Data Availability Statement

The data presented in this study are available on request from the corresponding author.

Conflicts of Interest

The authors declare no conflict of interest.

Nomenclature

CCarbon percentage in mass
MnManganese percentage in mass
SiSilicon percentage in mass
SSulfur percentage in mass
PPhosphorus percentage in mass
VVanadium percentage in mass
CrChromium percentage in mass
HEnthalpy in solidification
CsComposition in solid phase
ClComposition in liquid phase
KeThe equilibrium distribution coefficient
FsFraction of solid
FlFraction of liquid
DDiffusion coefficient
RLiner solidification rate of the solid–liquid interface

References

  1. Nian, Y.; Zhang, L.; Zhang, C.; Ali, N.; Chu, J.; Li, J.; Liu, X. Application Status and Development Trend of Continuous Casting Reduction Technology: A Review. Processes 2022, 10, 2669. [Google Scholar] [CrossRef]
  2. Cho, S.M.; Thomas, B.G. Electromagnetic forces in continuous casting of steel slabs. Metals 2019, 9, 471. [Google Scholar] [CrossRef]
  3. Brezina, M.; Mauder, T.; Klimes, L.; Stetina, J. Comparison of Optimization-Regulation Algorithms for Secondary Cooling in Continuous Steel Casting. Metals 2021, 11, 237. [Google Scholar] [CrossRef]
  4. Guthrie, R.I.; Isac, M.M. Continuous casting practices for steel: Past, present and future. Metals 2022, 12, 862. [Google Scholar] [CrossRef]
  5. Vynnycky, M. Continuous casting. Metals 2019, 9, 643. [Google Scholar] [CrossRef]
  6. Mauder, T.; Stetina, J. High quality steel casting by using advanced mathematical methods. Metals 2018, 8, 1019. [Google Scholar] [CrossRef]
  7. Vynnycky, M. Applied mathematical modelling of continuous casting processes: A review. Metals 2018, 8, 928. [Google Scholar] [CrossRef]
  8. Guo, D.W.; Hou, Z.B.; Cao, J.H.; Guo, Z.A.; Chang, Y.; Wen, G.H. Prediction of maximum carbon element content in continuous casting billets of 82B cord steel based on statistics of extreme values method. J. Iron Steel Res. Int. 2020, 27, 1163–1169. [Google Scholar] [CrossRef]
  9. Falkus, J.; Miłkowska-Piszczek, K.; Krajewski, P.; Ropka, T. Method of verification of carbon segregation ratio determined with experimental methods. Metals 2020, 10, 499. [Google Scholar] [CrossRef]
  10. Ji, Y.; Tang, H.; Lan, P.; Shang, C.; Zhang, J. Effect of Dendritic Mor-phology and Central Segregation of Billet Castings on the Microstructure and Mechan-ical Property of Hot-Rolled Wire Rods. Steel Res. Int. 2017, 88, 1600426. [Google Scholar] [CrossRef]
  11. Turkdogan, E.T.; Fruehan, R.J. Fundamentals of Iron and Steelmaking the Making, Shaping and Treating of Steel, Steelmaking and Refining Volume; AISE Steel Foundation: Pittsburgh, PA, USA, 1998. [Google Scholar]
  12. Choudhary, S.K.; Ganguly, S. Morphology and Segregation in Continuously Cast High Carbon Steel Billets. ISIJ Int. 2007, 47, 1759–1766. [Google Scholar] [CrossRef]
  13. Cao, J.; Hou, Z.; Guo, Z.; Guo, D.; Peng, Z.; Tang, P. An application of fractal theory to complex macrostructure: Quantitatively characterization of segregation morphology. ISIJ Int. 2020, 60, 1188–1195. [Google Scholar] [CrossRef]
  14. Ghosh, A. Segregation in cast products. Sadhana 2001, 26, 5–24. [Google Scholar] [CrossRef]
  15. Liu, H.; Wang, Y.; Zhang, L. An Improved Three-Dimensional Macrosegregation Model for the Full-Length Curved Continuous Casting Bloom. Metall. Mater. Trans. B 2022, 53, 3262–3275. [Google Scholar] [CrossRef]
  16. Li, S.; Han, Z.; Zhang, J. Numerical modeling of the macrosegregation improvement in continuous casting blooms by using F-EMS. JOM 2020, 72, 4117–4126. [Google Scholar] [CrossRef]
  17. Guo, F.; Wang, X.; Wang, J.; Misra, R.D.K.; Shang, C. The significance of central segregation of continuously cast billet on banded microstructure and mechanical properties of section steel. Metals 2020, 10, 76. [Google Scholar] [CrossRef]
  18. Zhang, P.; Xu, L.; Shi, P.; Yang, F.; Wang, M. Numerical and Experimental Investigation of Solidification Structure and Macrosegregation in Continuously Cast 2311 Die Steel Slab. JOM 2023, 75, 2853–2864. [Google Scholar] [CrossRef]
  19. Hou, Z.; Peng, Z.; Liu, Q.; Guo, Z.; Dong, H. A New Approach to Calculate the Velocity of Interdendritic Fluid Flow during Solidification Using Etched Surface Height of Actual Metal Ingot. Metals 2021, 11, 927. [Google Scholar] [CrossRef]
  20. Grundy, A.N.; Münch, S.; Feldhaus, S.; Bratberg, J. Continuous casting of high carbon steel: How does hard cooling influence solidification, micro-and macro segre-gation. IOP Conf. Ser. Mater. Sci. Eng. 2019, 529, 012069. [Google Scholar] [CrossRef]
  21. Yan, W.; Chen, W.; Li, J. Quality control of high carbon steel for steel wires. Materials 2019, 12, 846. [Google Scholar] [CrossRef]
  22. Guo, D.; Zeng, Z.; Peng, Z.; Guo, K.; Hou, Z. Effect of Casting Speed on CET Position Fluctuation Along the Casting Direction in Continuous Casting Billets. Metall. Mater. Trans. B 2023, 54, 450–464. [Google Scholar] [CrossRef]
  23. Zhang, P.; Wang, M.; Shi, P.; Xu, L. Effects of Alloying Elements on Solidification Structures and Macrosegregation in Slabs. Metals 2022, 12, 1826. [Google Scholar] [CrossRef]
  24. Heaslip, J.L. The application of electromagnetic stirring (EMS) in the continuous casting of steel. Iron Steel Soc. AIME 1984, 3, 1–25. [Google Scholar]
  25. Zou, L.; Zhang, J.; Liu, Q.; Zeng, F.; Chen, J.; Guan, M. Prediction of central carbon segregation in continuous casting billet using a regularized extreme learning machine model. Metals 2019, 9, 1312. [Google Scholar] [CrossRef]
  26. Guo, D.; Hou, Z.; Peng, Z.; Liu, Q.; Cao, J. Quantitative Correlation and Control Strategy for Element Content Fluctuation along Casting Direction in Central Area of Continuous Casting Billet. Metals 2021, 11, 452. [Google Scholar] [CrossRef]
  27. Guo, D.; Hou, Z.; Guo, K.; Peng, Z.; Zhang, F. Quantitative model of heredity behavior for carbon segregation in continuous casting billets based on grayscale analysis. Steel Res. Int. 2023, 94, 2200782. [Google Scholar] [CrossRef]
  28. Brezocnik, M.; Župerl, U. Optimization of the continuous casting process of hypoeutectoid steel grades using multiple linear regression and genetic programming—An industrial study. Metals 2021, 11, 972. [Google Scholar] [CrossRef]
  29. Wang, Y.; Xu, R.; Zhong, H.; Xu, G.; Xu, Z.; Li, R.; Zhai, Q. Effects of Pulsed Magneto-Oscillation on the Homogeneity of Low Carbon Alloy Steel Continuous Casting Round Billet. Metals 2022, 12, 833. [Google Scholar] [CrossRef]
  30. Ma, H.; Zhang, J.; Yin, Y.; Yan, Z.; Liu, H. Numerical simulation on the centre macrosegregation during Billet continuous casting with the soft reduction. Ironmak. Steelmak. 2022, 49, 887–897. [Google Scholar] [CrossRef]
  31. Shakhov, S.I.; Kabakov, Z.K.; Gorbatyuk, S.M.; Gerasimova, A.A.; Shakhov, D.S. Improvements to Electromagnetic Stirring Systems for Billet and Bloom Continuous Casting Machines. Part 1. Metallurgist 2022, 66, 510–517. [Google Scholar] [CrossRef]
  32. Zhang, Z.; Wu, M.; Zhang, H.; Ludwig, A.; Kharicha, A. The Role of Mold Electromagnetic Stirring in the Dissipation of Superheat during the Continuous Casting of Billets. Steel Res. Int. 2022, 93, 2200065. [Google Scholar] [CrossRef]
  33. Fujisaki, K.; Satoh, S.; Yamada, T. Consideration of heat transfer and solidification in 3-D MHD calculation. IEEE Trans. Magn. 2000, 36, 1300–1304. [Google Scholar]
  34. Kittaka, S.; Kanki, T.; Watanabe, K.; Miura, Y. Nippon Steel In-Mold Electro-Magnetic Stirrer M-EMS for slab caster. Nippon. Steel Tech. Rep. Overseas 2002, 86, 68–73. [Google Scholar]
  35. Zhang, W.; Luo, S.; Chen, Y.; Wang, W.; Zhu, M. Numerical simulation of fluid flow, heat transfer, species transfer, and solidification in billet continuous casting mold with M-EMS. Metals 2019, 9, 66. [Google Scholar] [CrossRef]
  36. Wang, B.; Yang, Z.G.; Zhang, X.F.; Wang, Y.T.; Nıe, C.P.; Lıu, Q.; Dong, H.B. Analysis of The Effects of Electromagnetıc Stirring on Solidification Structure of Bearing Steel. Metalurgıja 2015, 54, 327–330. [Google Scholar]
  37. Yu, Q.; Zhu, M.Y. Influence of electromagnetic stirring on transport phenomena in round billet continuous casting mould and macrostructure of high carbon steel billet. Ironmak. Steelmak. 2012, 39, 574–584. [Google Scholar] [CrossRef]
  38. Han, Y.S.; Yan, W.; Zhang, J.S.; Chen, J.; Chen, W.Q.; Liu, Q. Comparison and integration of final electromagnetic stirring and thermal soft reduction on continuous casting billet. J. Iron Steel Res. Int. 2021, 28, 160–167. [Google Scholar] [CrossRef]
  39. Wan, Y.; Li, M.; Chen, L.; Wu, Y.; Li, J.; Pan, H.; Zhong, W. Effect of final electromagnetic stirring parameters on central cross-sectional carbon concentration distribution of high-carbon square billet. Metals 2019, 9, 665. [Google Scholar] [CrossRef]
  40. Wang, Y.; Zhang, L.; Yang, W.; Ji, S.; Ren, Y. Effect of mold electromagnetic stirring and final electromagnetic stirring on the solidification structure and macrosegregation in bloom continuous casting. Steel Res. Int. 2021, 92, 2000661. [Google Scholar] [CrossRef]
  41. Fang, Q.; Ni, H.; Wang, B.; Zhang, H.; Ye, F. Effects of EMS induced flow on solidification and solute transport in bloom mold. Metals 2017, 7, 72. [Google Scholar] [CrossRef]
  42. Su, W.; Wang, W.L.; Luo, S.; Jiang, D.B.; Zhu, M.Y. Heat transfer and central segregation of continuously cast high carbon steel billet. J. Iron Steel Res. Int. 2014, 21, 565–574. [Google Scholar] [CrossRef]
  43. Xiao, C.; Zhang, J.M.; Luo, Y.Z.; Wei, X.D.; Wu, L.; Wang, S.X. Control of macrosegregation behavior by applying final electromagnetic stirring for continuously cast high carbon steel billet. J. Iron Steel Res. Int. 2013, 20, 13–20. [Google Scholar] [CrossRef]
  44. Sivesson, P.; Hallen, G.; Widell, B. Improvement of inner quality of continuously cast billets using electromagnetic stirring and thermal soft reduction. Ironmak. Steelmak. 1998, 25, 239. [Google Scholar]
  45. Ludlow, V.; Normanton, A.; Anderson, A.; Thiele, M.; Ciriza, J.; Laraudogoitia, J.; Van Der Knoop, W. Strategy to minimise central segregation in high carbon steel grades during billet casting. Ironmak. Steelmak. 2005, 32, 68–74. [Google Scholar] [CrossRef]
  46. Jiang, D.; Zhu, M. Center segregation with final electromagnetic stirring in billet continuous casting process. Metall. Mater. Trans. B 2017, 48, 444–455. [Google Scholar] [CrossRef]
  47. Wang, P.; Zhang, Z.; Tie, Z.P.; Qi, M.; Lan, P.; Li, S.X.; Yang, Z.B.; Zhang, J.Q. Initial transfer behavior and solidification structure evolution in a large continuously cast bloom with a combination of nozzle injection mode and M-EMS. Metals 2019, 9, 1083. [Google Scholar] [CrossRef]
  48. Zhang, Z.; Wu, M.; Zhang, H.; Hahn, S.; Wimmer, F.; Ludwig, A.; Kharicha, A. Modeling of the as-cast structure and macrosegregation in the continuous casting of a steel billet: Effect of M-EMS. J. Mater. Process. Technol. 2022, 301, 117434. [Google Scholar] [CrossRef]
  49. Guan, R.; Ji, C.; Zhu, M. Modeling the effect of combined electromagnetic stirring modes on macrosegregation in continuous casting blooms. Metall. Mater. Trans. B 2020, 51, 1137–1153. [Google Scholar] [CrossRef]
  50. Kihara, K.; Okada, N.; Saito, S.; Kawashima, K. Numerical simulation of macrosegregation in a continuous casting mold with electromagnetic stirring. ISIJ Int. 2022, 62, 1862–1873. [Google Scholar] [CrossRef]
  51. Jiang, D.; Zhu, M.; Zhang, L. Numerical simulation of solidification behavior and solute transport in slab continuous casting with S-EMS. Metals 2019, 9, 452. [Google Scholar] [CrossRef]
  52. Sun, T.; Yue, F.; Wu, H.J.; Guo, C.; Li, Y.; Ma, Z.C. Solidification structure of continuous casting large round billets under mold electromagnetic stirring. J. Iron Steel Res. Int. 2016, 23, 329–337. [Google Scholar] [CrossRef]
  53. Yu, Q.; Yang, X.; Lai, C.; Tong, Z. Study on mns inclusion aggregation along continuous casting slab thickness of medium carbon structural steel. Metals 2021, 12, 56. [Google Scholar] [CrossRef]
  54. Kovačič, M.; Župerl, U. Continuous caster final electromagnetic stirrers position optimization using genetic programming. Mater. Manuf. Process. 2023, 1–9. [Google Scholar] [CrossRef]
Figure 1. Sample of examinations.
Figure 1. Sample of examinations.
Metals 13 01435 g001
Figure 2. Sample of investigated equiaxed zone.
Figure 2. Sample of investigated equiaxed zone.
Metals 13 01435 g002
Figure 3. Macro sample of the worst condition.
Figure 3. Macro sample of the worst condition.
Metals 13 01435 g003
Figure 4. Mosaic image of macro sample.
Figure 4. Mosaic image of macro sample.
Metals 13 01435 g004
Figure 5. Equiaxed zone (25×).
Figure 5. Equiaxed zone (25×).
Metals 13 01435 g005
Figure 6. Columnar equiaxed transition zone (25×).
Figure 6. Columnar equiaxed transition zone (25×).
Metals 13 01435 g006
Figure 7. Columnar dendritic zone (25×).
Figure 7. Columnar dendritic zone (25×).
Metals 13 01435 g007
Figure 8. Macro sample of the best condition.
Figure 8. Macro sample of the best condition.
Metals 13 01435 g008
Figure 9. Mosaic image of macro sample (equiaxed zone).
Figure 9. Mosaic image of macro sample (equiaxed zone).
Metals 13 01435 g009
Figure 10. Mosaic image of macro sample (dendritic–CET–equiaxed zone).
Figure 10. Mosaic image of macro sample (dendritic–CET–equiaxed zone).
Metals 13 01435 g010
Figure 11. Equiaxed zone (25×).
Figure 11. Equiaxed zone (25×).
Metals 13 01435 g011
Figure 12. Columnar equiaxed transition zone (25×).
Figure 12. Columnar equiaxed transition zone (25×).
Metals 13 01435 g012
Figure 13. Columnar dendritic zone (25×).
Figure 13. Columnar dendritic zone (25×).
Metals 13 01435 g013
Figure 14. Relationship between equiaxed zone percentage and EMS frequency.
Figure 14. Relationship between equiaxed zone percentage and EMS frequency.
Metals 13 01435 g014
Figure 15. Relationship between equiaxed zone percentage and EMS current.
Figure 15. Relationship between equiaxed zone percentage and EMS current.
Metals 13 01435 g015
Figure 16. Relationship between equiaxed zone percentage and secondary cooling.
Figure 16. Relationship between equiaxed zone percentage and secondary cooling.
Metals 13 01435 g016
Figure 17. Relationship between equiaxed zone and casting speed.
Figure 17. Relationship between equiaxed zone and casting speed.
Metals 13 01435 g017
Figure 18. Phase transitions during solidification.
Figure 18. Phase transitions during solidification.
Metals 13 01435 g018
Table 1. Partition coefficient of alloying elements [13].
Table 1. Partition coefficient of alloying elements [13].
Elementsδ-Ironɣ-Iron
Al0.920.00
C0.130.36
Cr0.950.85
H0.320.45
Mn0.840.95
Mo0.800.60
Ni0.800.95
N 0.280.54
O0.020.02
P0.130.06
Si0.660.50
S 0.020.02
Ti0.140.07
V0.90-
Table 2. Analysis of heat.
Table 2. Analysis of heat.
HeatCMnSiSPAlNCuNiCrVCa
Heat 10.800.670.170.01010.00980.0020.00530.0840.0430.1840.01680.0014
Heat 20.800.710.200.00760.00910.0020.00570.0940.0500.1820.01640.0013
Table 3. Experimental parameters.
Table 3. Experimental parameters.
ParametersLevels of Parameters
Casting Speed (m/min)2.833.23.43.5
Secondary Cooling IntensityLowMediumHard
EMS Current (A)100200300360400
EMS Frequeny (Hz)2345
Table 4. Details of industrial trials in billet casting machine.
Table 4. Details of industrial trials in billet casting machine.
Experiment No.Heat No.Strand No.Liquidus TempCasting TempSuperheatCasting SpeedEMS CurrentEMS FrequencySecondary Cooling Intensity
1Heat 2214731502292.81005Low
2Heat 2614731502292.83602Low
3Heat 2314731502292.83603Low
4Heat 2414731502292.82005Low
5Heat 2414731502292.83604Low
6Heat 2514731502292.83005Low
7Heat 2514731502292.83605Low
8Heat 2614731502292.84005Low
9Heat 1114731505322.83605Low
10Heat 1214731505322.83605Low
11Heat 1314731505322.83605Medium
12Heat 13147315053233605Low
13Heat 1414731505322.83605High
14Heat 1414731505323.23605Low
15Heat 1414731505323.53605Low
16Heat 1614731505323.43605Low
Table 5. Equiaxed zone results of billet macro samples.
Table 5. Equiaxed zone results of billet macro samples.
Experiment No.Heat IDStrand No.SuperheatCasting Speed EMS Current EMS FrequencySecondary Cooling% Equiaxed Zone
2Heat 16292.836020.928.2%
3Heat 13292.836030.9228.8%
5Heat 14292.836040.9230.5%
7Heat 15292.836050.9232.4%
1Heat 12292.810050.9213.9%
4Heat 14292.820050.9217.3%
6Heat 15292.830050.9219.4%
9Heat 21322.836050.9221.3%
8Heat 16292.840050.9227.3%
10Heat 22322.836050.9226.5%
11Heat 23322.836051.2519.9%
13Heat 24322.836051.7516.0%
12Heat 2332336050.9214.8%
14Heat 24323.236050.927.7%
16Heat 26323.436050.927.6%
15Heat 24323.536050.927.4%
Table 6. Process parameters of worst condition.
Table 6. Process parameters of worst condition.
Experiment No.Heat IDStrand No.SuperheatCasting Speed EMS Current EMS FrequencySecondary Cooling% Equiaxed Zone
15Heat 24323.536050.927.4%
Table 7. Process parameters of best condition.
Table 7. Process parameters of best condition.
Experiment No.Heat IDStrand No.SuperheatCasting Speed EMS Current EMS FrequencySecondary Cooling% Equiaxed Zone
7Heat 15292.836050.9232.4%
Table 8. Macro segregation results.
Table 8. Macro segregation results.
Classification of SegregationMacro Seg Index 1
(Xmax-Xmin)
Macro Seg Index 2
((X/X Heat) Avg)
Macro Seg Index 3
(X/X Heat Max-Min)
EMS FrequencyEMS CurrentSecondary CoolingCasting Speed
CBest Value0.0131.0050.01643600.922.8
Worst Value0.0591.0040.07423600.922.8
MnBest Value0.0030.9770.00543600.922.8
Worst Value0.0260.9670.03653600.923.5
SiBest Value0.0011.0150.00553600.922.8
Worst Value0.00710.0451000.922.8
SBest Value0.00050.8160.06653600.922.8
Worst Value0.00391.0090.51353600.923.5
PBest Value0.00051.0140.05153000.922.8
Worst Value0.002910.29623600.922.8
VBest Value0.00011.0140.00653000.922.8
Worst Value0.00161.0610.09853600.923.5
CrBest Value0.0010.9830.00353000.922.8
Worst Value0.0080.980.04153600.923.5
Table 9. Reactions during solidification at Heat 1 and Heat 2.
Table 9. Reactions during solidification at Heat 1 and Heat 2.
Heat 11465.17 °C–1320 °CLiquid→FCC_A1 + MeS_cubic∆H = −3.45 × 107 Joule
Heat 21466.82 °C–1322.34 °CLiquid→FCC_A1 + MeS_cubic∆H = −3.46 × 107 Joule
Disclaimer/Publisher’s Note: The statements, opinions and data contained in all publications are solely those of the individual author(s) and contributor(s) and not of MDPI and/or the editor(s). MDPI and/or the editor(s) disclaim responsibility for any injury to people or property resulting from any ideas, methods, instructions or products referred to in the content.

Share and Cite

MDPI and ACS Style

Ayçiçek, İ.; Solak, N. Optimization of Macro Segregation and Equiaxed Zone in High-Carbon Steel Use in Prestressed Concrete Wire and Cord Wire Application. Metals 2023, 13, 1435. https://doi.org/10.3390/met13081435

AMA Style

Ayçiçek İ, Solak N. Optimization of Macro Segregation and Equiaxed Zone in High-Carbon Steel Use in Prestressed Concrete Wire and Cord Wire Application. Metals. 2023; 13(8):1435. https://doi.org/10.3390/met13081435

Chicago/Turabian Style

Ayçiçek, İlker, and Nuri Solak. 2023. "Optimization of Macro Segregation and Equiaxed Zone in High-Carbon Steel Use in Prestressed Concrete Wire and Cord Wire Application" Metals 13, no. 8: 1435. https://doi.org/10.3390/met13081435

APA Style

Ayçiçek, İ., & Solak, N. (2023). Optimization of Macro Segregation and Equiaxed Zone in High-Carbon Steel Use in Prestressed Concrete Wire and Cord Wire Application. Metals, 13(8), 1435. https://doi.org/10.3390/met13081435

Note that from the first issue of 2016, this journal uses article numbers instead of page numbers. See further details here.

Article Metrics

Back to TopTop