Recovery of Valuable Materials with the RecoDust Process
Abstract
1. Introduction
2. Materials and Methods
2.1. Feed Material and Characterization
2.2. RecoDust Pilot Plant and Methodology
2.3. Evaluation of the Products of the RecoDust Process: The RDS and the CZO
3. Results
3.1. Feed Material Characterization
| Species | Dust Feed [wt.%] |
|---|---|
| CaO | 8.45 |
| Fetot | 50.05 |
| Femet | 20.78 |
| FeRed | 31.06 |
| Zn | 14.60 |
| B2 | 6.40 |
| B4 | 7.01 |
| SiO2 | 1.32 |
| Al2O3 | 0.11 |
| MgO | 1.57 |
| Cl | 0.06 |
| F | 0.01 |
3.2. Chemical Analysis of the RecoDust Slag and the Crude Zinc Oxide
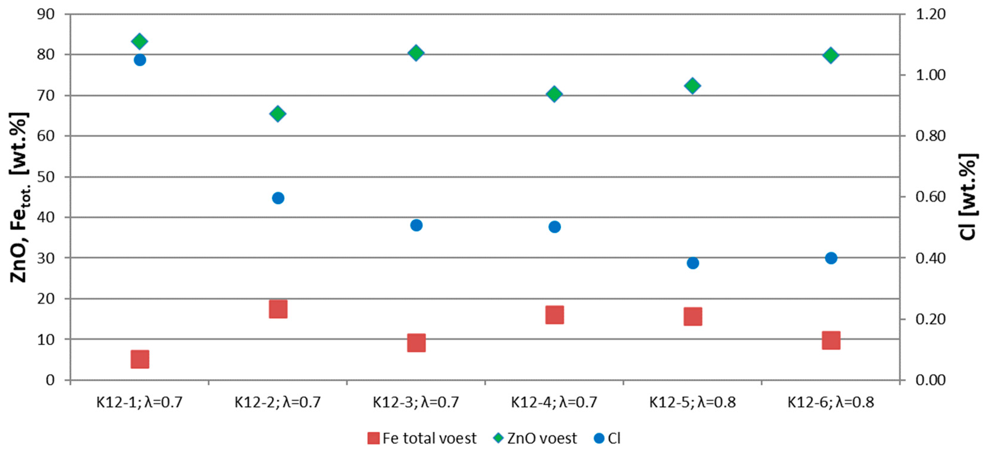
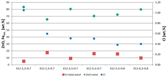
3.2.1. Chemical Analysis of the RDS
3.2.2. Chemical Analysis of the Crude Zinc Oxide
3.2.3. RDI Tests with the RDS
3.2.4. Soda Leaching
4. Discussion and Conclusions
Author Contributions
Funding
Conflicts of Interest
References
- Branca, T.A.; Colla, V.; Algermissen, D.; Granbom, H.; Martini, U.; Morillon, A.; Pietruck, R.; Rosendahl, S. Reuse and Recycling of By-Products in the Steel Sector: Recent Achievements Paving the Way to Circular Economy and Industrial Symbiosis in Europe. Metals 2020, 10, 345. [Google Scholar] [CrossRef]
- Rieger, J.; Colla, V.; Matino, I.; Branca, T.A.; Stubbe, G.; Panizza, A.; Brondi, C.; Falsafi, M.; Hage, J.; Wang, X.; et al. Residue Valorization in the Iron and Steel Industries: Sustainable Solutions for a Cleaner and More Competitive Future Europe. Metals 2021, 11, 1202. [Google Scholar] [CrossRef]
- International Lead & Zinc Study Group. Available online: https://www.ilzsg.org/static/statistics.aspx?from=1 (accessed on 4 February 2022).
- Xue, Y.; Hao, X.; Liu, X.; Zhang, N. Recovery of Zinc and Iron from Steel Mill Dust—An Overview of Available Technologies. Materials 2022, 15, 4127. [Google Scholar] [CrossRef] [PubMed]
- Nedar, L. Dust formation in a BOF converter. Steel Res. 1996, 67, 320–327. [Google Scholar] [CrossRef]
- Grudinsky, P.I.; Zinoveev, D.V.; Dyubanov, V.G.; Kozlov, P.A. State of the Art and Prospect for Recycling of Waelz Slag from Electric Arc Furnace Dust Processing. Inorg. Mater. Appl. Res. 2019, 10, 1220–1226. [Google Scholar] [CrossRef]
- von Billerbeck, E.; Ruh, A.; Kim, D.-S. Verarbeitung von Filterstäuben aus der Elektrostahlerzeugung im Wälzprozess. In Mineralische Nebenprodukte und Abfälle–Flaschen, Schlacken, Stäube und Baurestmassen; TK Verlag: Neuruppin, Germany, 2014; pp. 387–398. [Google Scholar]
- Kikuchi, S.; Kobayashi, I.; Tsuge, O.; Toduka, K. Features of FASMTET Process. Kobelco Technol. Rev. 2010, 29, 77–84. [Google Scholar] [CrossRef]
- Suetens, T.; Klaasen, B.; van Acker, K.; Blanpain, B. Comparison of electric arc furnace dust treatment technologies using exergy efficiency. J. Clean. Prod. 2014, 65, 152–167. [Google Scholar] [CrossRef]
- Nakayama, T.; Taniishi, H. Dust recycling technology for electric arc furnace using RHF. Nippon. Steel Eng. Tech. Rev. 2011, 2, 25–29. [Google Scholar]
- Lemperle, M.; Jennes, R.; Cappel, J. Oxycup Furnace Operation at Tisco. In Proceedings of the Technical Contiribution to the 6th International Congress on the Science and Technology of Ironmaking—ICSTI/42nd ABM Ironmaking Seminar % 13th ABM Iron Ore Symposium, Rio de Janeiro, Brazil, 14–18 October 2012. [Google Scholar]
- Sassen, K.-J.; Hillmann, C. The dk Process—A Solution for the By-Products of the European Steel Industry. In Proceedings of the 21st International Conference on Metallurgy and Materials, Brno, Czech Republic, 23–25 May 2012. [Google Scholar]
- Sassen, K.-J.; Hillmann, C. Verwertung eisenhaltiger Reststoffe zu Roheisen und Zinkkonzentrat. Miner. Nebenprodukte Und Abfälle 2015, 2, 431–446. [Google Scholar]
- Stewart, D.J.; Barron, A.R. Pyrometallurgical removal of zinc from basic oxygen steelmaking dust—A review of best available technology. Resour. Conserv. Recycl. 2020, 157, 104746. [Google Scholar] [CrossRef]
- Lin, X.; Peng, Z.; Yan, J.; Li, Z.; Hwang, J.-Y.; Zhang, Y.; Li, G.; Jiang, T. Pyrometallurgical recycling of electric arc furnace dust. J. Clean. Prod. 2017, 149, 1079–1100. [Google Scholar] [CrossRef]
- Wu, Y.; Jiang, Z.; Zhang, X.; Wang, P.; She, X. Numerical simulation of the direct reduction of pellets in a rotary hearth furnace for zinc-containing metallurgical dust treatment. Int. J. Min. Met. Mater 2013, 20, 636–644. [Google Scholar] [CrossRef]
- Holtzer, M.; Kmita, A.; Roczniak, A. The Recycling of Materials Containing Iron and Zinc in the OxyCup Process. Arch. Foundry Eng. 2015, 1, 126–130. [Google Scholar]
- Hillmann, C.; Sassen, K.J. Processing of zinc-bearing BOF dusts in a blast furnace. World Iron Steel 2013, 5, 8–9. [Google Scholar]
- Antrekowtisch, J. Recycling und Rohstoffe; TK-Verl: Neuruppin, Germany, 2015; ISBN 978-3-944310-20-6. [Google Scholar]
- Reiter, W.; Lasser, M.; Rieger, J.; Raupenstrauch, H.; Tappeiner, T. Der RecoDust-Prozess—Behandlung von zinkhaltigen Stahlwerksstäuben und weiteren Nebenprodukten aus integrierten Hüttenwerken. BHM Berg—Und Hüttenmännische Mon. 2020, 165, 297–301. [Google Scholar] [CrossRef]
- Iron Ores for Blast Furnace Feedstocks. Determination of the Reducibility by the Rate of Reduction Index; BSI British Standards: London, UK, 2007.
- Reiter, W. Verwertungsmöglichkeiten der RecoDust-Schlacke; University of Leoben: Leoben, Austria, 2020. [Google Scholar]
- Spreitzer, D. Niedertemperaturkornzerfall nach, ISO 4696-1, Internal Report. 2017.
- Dobner, W.; Bosch, H. Bestimmung des Reduktionsgrades von Eisenschwamm und vorreduziertem Erz. Arch. Für Das Eisenhüttenwesen 1979, 50, 385–388. [Google Scholar] [CrossRef]
- Reiter, W.; Rieger, J.; Lasser, M.; Raupenstrauch, H.; Tappeiner, T. The RecoDust Process—Upscale of a Pilot Plant. Steel Res. Int. 2020, 91, 2000191. [Google Scholar] [CrossRef]









| Process | Products | Disadvantages | Advantages |
|---|---|---|---|
| Waelz | Zinc-rich dust (Waelz oxide) |
| Well-established technology and reliable process Fewer operation steps and simple process |
| RHF | Zinc-rich dust; direct reduced iron |
| Well-established technology and reliable process Fewer operation steps and simple process High metallization rate of residue |
| OxyCup | Zinc-rich dust; molten iron. Slag | Short operating cycle of the equipment High costs for smelting | Many types of dust that can be recycled High metal recovery rate High added value of the product |
| DK | Hot metal, zinc-rich dust | High energy consumption Serious environmental pollution Poor long-term operation safety | Well-established technology and reliable process Serious low equipment investment The produced pig iron can be used in the casting process |
| Trial | Air Excess Ratio | Flash-Reactor Temperature [°C] |
|---|---|---|
| K12-1 | 0.7 | 1700 |
| K12-2 | 0.7 | 1700 |
| K12-3 | 0.7 | 1700 |
| K12-4 | 0.7 | 1700 |
| K12-5 | 0.8 | 1700 |
| K12-6 | 0.8 | 1700 |
| Sample 1 | Sample 2 | Sample 3 | Sample 4 | Sample 5 | Sample 6 | |
|---|---|---|---|---|---|---|
| Designation | MRDS1 | MRDS2 | BMA1 | BMA2 | BMB1 | BMB2 |
| Percentage RDS [wt.%] | 3.29 | 3.29 | 0 | 0 | 0 | 0 |
| Element | Feed | VK 1/1 | VK 1/2 | VK 2/1 | VK 2/2 |
|---|---|---|---|---|---|
| Zn [wt.%] | 59.5 | 59.9 | 58.9 | 61.7 | 61.5 |
| Fe [wt.%] | 12.90 | 13.7 | 13.3 | 12.2 | 12.2 |
| Cl [mg/kg] | 3790 | 282 | 212 | 283 | 211 |
Disclaimer/Publisher’s Note: The statements, opinions and data contained in all publications are solely those of the individual author(s) and contributor(s) and not of MDPI and/or the editor(s). MDPI and/or the editor(s) disclaim responsibility for any injury to people or property resulting from any ideas, methods, instructions or products referred to in the content. |
© 2023 by the authors. Licensee MDPI, Basel, Switzerland. This article is an open access article distributed under the terms and conditions of the Creative Commons Attribution (CC BY) license (https://creativecommons.org/licenses/by/4.0/).
Share and Cite
Reiter, W.; Rieger, J.; Raupenstrauch, H.; Cattini, L.; Maystrenko, N.; Kovalev, D.; Alexey, A.; Mitrofanov, A. Recovery of Valuable Materials with the RecoDust Process. Metals 2023, 13, 1191. https://doi.org/10.3390/met13071191
Reiter W, Rieger J, Raupenstrauch H, Cattini L, Maystrenko N, Kovalev D, Alexey A, Mitrofanov A. Recovery of Valuable Materials with the RecoDust Process. Metals. 2023; 13(7):1191. https://doi.org/10.3390/met13071191
Chicago/Turabian StyleReiter, Wolfgang, Johannes Rieger, Harald Raupenstrauch, Luigi Cattini, Nikolay Maystrenko, Denis Kovalev, Alekseyev Alexey, and Artem Mitrofanov. 2023. "Recovery of Valuable Materials with the RecoDust Process" Metals 13, no. 7: 1191. https://doi.org/10.3390/met13071191
APA StyleReiter, W., Rieger, J., Raupenstrauch, H., Cattini, L., Maystrenko, N., Kovalev, D., Alexey, A., & Mitrofanov, A. (2023). Recovery of Valuable Materials with the RecoDust Process. Metals, 13(7), 1191. https://doi.org/10.3390/met13071191

