Black Pine (Pinus nigra) Essential Oil as a Green Corrosion Inhibitor for Carbon Steel
Abstract
:1. Introduction
2. Materials and Methods
2.1. Plant Material and Isolation of Essential Oil
2.2. GC-FID and GC/MS Analyses
2.3. ATR Spectroscopy
2.4. Electrode and Solutions’ Preparation
2.5. Electrochemical Methods
2.6. The Contact Angle Measurements
3. Results
3.1. Composition of Essential Oil of Pinus nigra and ATR
3.2. Electrochemical Measurements
3.2.1. Open Circuit Potential (OCP) Measurements Results
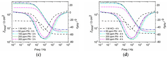
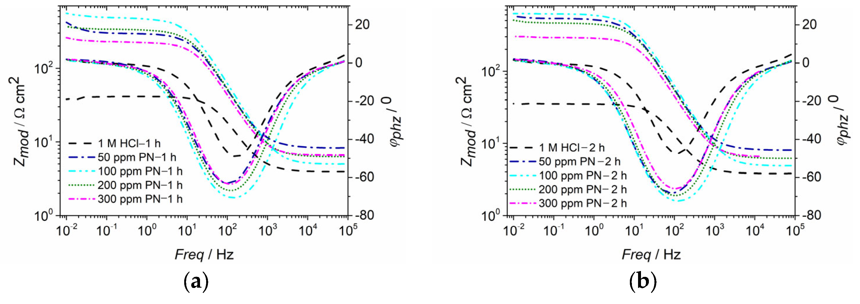
3.2.2. EIS Results
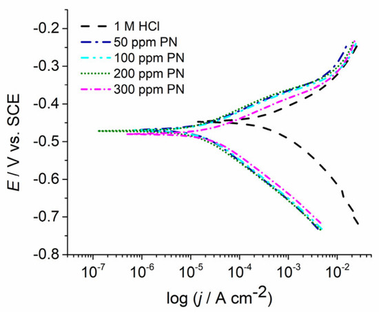
3.2.3. Polarization Curves
3.3. Contact Angle Measurements
4. Conclusions
Author Contributions
Funding
Institutional Review Board Statement
Informed Consent Statement
Data Availability Statement
Conflicts of Interest
References
- Wang, Q.; Tan, B.; Bao, H.; Xie, Y.; Mou, Y.; Li, P.; Chen, D.; Shi, Y.; Li, X.; Yang, W. Evaluation of Ficus tikoua leaves extract as an eco-friendly corrosion inhibitor for carbon steel in HCl media. Bioelectrochemistry 2019, 128, 49–55. [Google Scholar] [CrossRef] [PubMed]
- Abdallah, M.; Altass, H.M.; Al-Gorair, A.S.; Al-Fahemi, J.H.; Jahdaly, B.A.A.L.; Soliman, K.A. Natural nutmeg oil as a green corrosion inhibitor for carbon steel in 1.0 M HCl solution: Chemical, electrochemical, and computational methods. J. Mol. Liq. 2021, 323, 115036. [Google Scholar] [CrossRef]
- Fernandes, C.M.; Fagundes, T.d.S.F.; dos Santos, N.E.; Rocha, T.S.d.M.; Garrett, R.; Borges, R.M.; Muricy, G.; Valverde, A.L.; Ponzio, E.A. Ircinia strobilina crude extract as corrosion inhibitor for mild steel in acid medium. Electrochim. Acta 2019, 312, 137–148. [Google Scholar] [CrossRef]
- Saxena, A.; Prasad, D.; Haldhar, R.; Singh, G.; Kumar, A. Use of Saraca ashoka extract as green corrosion inhibitor for mild steel in 0.5 M H2SO4. J. Mol. Liq. 2018, 258, 89–97. [Google Scholar] [CrossRef]
- Saxena, A.; Prasad, D.; Haldhar, R.; Singh, G.; Kumar, A. Use of Sida cordifolia extract as green corrosion inhibitor for mild steel in 0.5 M H2SO4. J. Environ. Chem. Eng. 2018, 6, 694–700. [Google Scholar] [CrossRef]
- Sedik, A.; Lerari, D.; Salci, A.; Athmani, S.; Bachari, K.; Gecibesler, H.; Solmaz, R. Dardagan Fruit extract as eco-friendly corrosion inhibitor for mild steel in 1 M HCl: Electrochemical and surface morphological studies. J. Taiwan Inst. Chem. Eng. 2020, 107, 189–200. [Google Scholar] [CrossRef]
- Shahini, M.H.; Ramezanzadeh, M.; Ramezanzadeh, B.; Bahlakeh, G. The role of ethanolic extract of Stachys byzantina’s leaves for effective decreasing the mild-steel (MS) degradation in the acidic solution; coupled theoretical/experimental assessments. J. Mol. Liq. 2021, 329, 115571. [Google Scholar] [CrossRef]
- Lashgari, S.M.; Bahlakeh, G.; Ramezanzadeh, B. Detailed theoretical DFT computation/molecular simulation and electrochemical explorations of Thymus vulgaris leave extract for effective mild-steel corrosion retardation in HCl solution. J. Mol. Liq. 2021, 335, 115897. [Google Scholar] [CrossRef]
- El Azzouzi, M.; Azzaoui, K.; Warad, I.; Hammouti, B.; Shityakov, S.; Sabbahi, R.; Saoiabi, S.; Youssoufi, M.H.; Akartasse, N.; Jodeh, S.; et al. Moroccan, Mauritania, and senegalese gum Arabic variants as green corrosion inhibitors for mild steel in HCl: Weight loss, electrochemical, AFM and XPS studies. J. Mol. Liq. 2022, 347, 118354. [Google Scholar] [CrossRef]
- Daoudi, W.; El Aatiaoui, A.; Falil, N.; Azzouzi, M.; Berisha, A.; Olasunkanmi, L.O.; Dagdag, O.; Ebenso, E.E.; Koudad, M.; Aouinti, A.; et al. Essential oil of Dysphania ambrosioides as a green corrosion inhibitor for mild steel in HCl solution. J. Mol. Liq. 2022, 363, 119839. [Google Scholar] [CrossRef]
- Molaeipour, P.; Ramezanzadeh, M.; Ramezanzadeh, B. Stachys byzantina extract: A green biocompatible molecules source for graphene skeletons generation on the carbon steel for superior corrosion mitigation. Bioelectrochemistry 2022, 143, 107970. [Google Scholar] [CrossRef] [PubMed]
- He, J.; Yu, D.; Xu, Q.; Li, G.; Chen, G.; An, J.; Yang, J.; Li, W. Combining experimental and theoretical researches to insight into the anti-corrosion property of Morinda citrifolia Linn leaves extracts. J. Mol. Liq. 2021, 325, 115145. [Google Scholar] [CrossRef]
- Cherrad, S.; Alrashdi, A.A.; Lee, H.S.; El Aoufir, Y.; Lgaz, H.; Satrani, B.; Ghanmi, M.; Aouane, E.M.; Chaouch, A. Cupressus arizonica fruit essential oil: A novel green inhibitor for acid corrosion of carbon steel. Arab. J. Chem. 2022, 15, 103849. [Google Scholar] [CrossRef]
- Salmasifar, A.; Edraki, M.; Alibakhshi, E.; Ramezanzadeh, B.; Bahlakeh, G. Theoretical design coupled with experimental study of the effectiveness of the inhibitive molecules based on Cynara scolymus L extract toward chloride-induced corrosion of steel. J. Mol. Liq. 2021, 332, 115742. [Google Scholar] [CrossRef]
- Zhang, X.; Li, W.; Zuo, X.; Tan, B.; Xu, C.; Zhang, S. Investigating the inhibitive effect of Davidia involucrata leaf extract as a biological eco-friendly inhibitor for copper in acidic medium. J. Mol. Liq. 2021, 325, 115214. [Google Scholar] [CrossRef]
- Prasad, D.; Dagdag, O.; Safi, Z.; Wazzan, N.; Guo, L. Cinnamoum tamala leaves extract highly efficient corrosion bio-inhibitor for low carbon steel: Applying computational and experimental studies. J. Mol. Liq. 2022, 347, 118218. [Google Scholar] [CrossRef]
- Parthipan, P.; Cheng, L.; Rajasekar, A. Glycyrrhiza glabra extract as an eco-friendly inhibitor for microbiologically influenced corrosion of API 5LX carbon steel in oil well produced water environments. J. Mol. Liq. 2021, 333, 115952. [Google Scholar] [CrossRef]
- Narenkumar, J.; Ananthaselvam, A.; Alsalhi, M.S.; Devanesan, S.; Kadier, A.; Kannan, M.M.; Rajasekar, A. Effect of crude methanolic extract of Lawsonia inermis for anti-biofilm on mild steel 1010 and its effect on corrosion in a re-circulating wastewater system. J. King Saud Univ.-Sci. 2021, 33, 101611. [Google Scholar] [CrossRef]
- Damej, M.; Skal, S.; Aslam, J.; Zouarhi, M.; Erramli, H.; Alrashdi, A.A.; Lee, H.S.; El Aoufir, Y.; Lgaz, H. An environmentally friendly formulation based on Cannabis sativa L. seed oil for corrosion inhibition of E24 steel in HCl medium: Experimental and theoretical study. Colloids Surfaces A Physicochem. Eng. Asp. 2022, 643, 128745. [Google Scholar] [CrossRef]
- Abdelaziz, S.; Benamira, M.; Messaadia, L.; Boughoues, Y.; Lahmar, H.; Boudjerda, A. Green corrosion inhibition of mild steel in HCl medium using leaves extract of Arbutus unedo L. plant: An experimental and computational approach. Colloids Surfaces A Physicochem. Eng. Asp. 2021, 619, 126496. [Google Scholar] [CrossRef]
- Qiang, Y.; Zhang, S.; Tan, B.; Chen, S. Evaluation of Ginkgo leaf extract as an eco-friendly corrosion inhibitor of X70 steel in HCl solution. Corros. Sci. 2018, 133, 6–16. [Google Scholar] [CrossRef]
- Alvarez, P.E.; Fiori-Bimbi, M.V.; Neske, A.; Brandán, S.A.; Gervasi, C.A. Rollinia occidentalis extract as green corrosion inhibitor for carbon steel in HCl solution. J. Ind. Eng. Chem. 2018, 58, 92–99. [Google Scholar] [CrossRef]
- Liu, Q.; Song, Z.; Han, H.; Donkor, S.; Jiang, L.; Wang, W.; Chu, H. A novel green reinforcement corrosion inhibitor extracted from waste Platanus acerifolia leaves. Constr. Build. Mater. 2020, 260, 119695. [Google Scholar] [CrossRef]
- Dehghani, A.; Bahlakeh, G.; Ramezanzadeh, B.; Ramezanzadeh, M. Potential of Borage flower aqueous extract as an environmentally sustainable corrosion inhibitor for acid corrosion of mild steel: Electrochemical and theoretical studies. J. Mol. Liq. 2019, 277, 895–911. [Google Scholar] [CrossRef]
- Dehghani, A.; Bahlakeh, G.; Ramezanzadeh, B. A detailed electrochemical/theoretical exploration of the aqueous Chinese gooseberry fruit shell extract as a green and cheap corrosion inhibitor for mild steel in acidic solution. J. Mol. Liq. 2019, 282, 366–384. [Google Scholar] [CrossRef]
- Zaher, A.; Aslam, R.; Lee, H.S.; Khafouri, A.; Boufellous, M.; Alrashdi, A.A.; El Aoufir, Y.; Lgaz, H.; Ouhssine, M. A combined computational & electrochemical exploration of the Ammi visnaga L. extract as a green corrosion inhibitor for carbon steel in HCl solution. Arab. J. Chem. 2022, 15, 103573. [Google Scholar] [CrossRef]
- Bhardwaj, N.; Sharma, P.; Guo, L.; Dagdag, O.; Kumar, V. Molecular dynamic simulation, quantum chemical calculation and electrochemical behaviour of Punica granatum peel extract as eco-friendly corrosion inhibitor for stainless steel (SS-410) in acidic medium. J. Mol. Liq. 2022, 346, 118237. [Google Scholar] [CrossRef]
- Li, H.; Qiang, Y.; Zhao, W.; Zhang, S. A green Brassica oleracea L extract as a novel corrosion inhibitor for Q235 steel in two typical acid media. Colloids Surfaces A Physicochem. Eng. Asp. 2021, 616, 126077. [Google Scholar] [CrossRef]
- Abbout, S.; Chebabe, D.; Zouarhi, M.; Rehioui, M.; Lakbaibi, Z.; Hajjaji, N. Ceratonia siliqua L seeds extract as eco-friendly corrosion inhibitor for carbon steel in 1 M HCl: Characterization, electrochemical, surface analysis, and theoretical studies. J. Mol. Struct. 2021, 1240, 130611. [Google Scholar] [CrossRef]
- Zhang, M.; Guo, L.; Zhu, M.; Wang, K.; Zhang, R.; He, Z.; Lin, Y.; Leng, S.; Anadebe, V.C.; Zheng, X. Akebia trifoliate koiaz peels extract as environmentally benign corrosion inhibitor for mild steel in HCl solutions: Integrated experimental and theoretical investigations. J. Ind. Eng. Chem. 2021, 101, 227–236. [Google Scholar] [CrossRef]
- Rajamohan, N.; Al Shibli, F.S.Z.S.; Rajasimman, M.; Vasseghian, Y. Eco-friendly biomass from Ziziphus spina-christi for protection of carbon steel in acidic conditions—Parameter effects and corrosion mechanism studies. Chemosphere 2022, 291, 132756. [Google Scholar] [CrossRef] [PubMed]
- Dahmani, K.; Galai, M.; Ouakki, M.; Elgendy, A.; Ez-Zriouli, R.; Lachhab, R.; Briche, S.; Cherkaoui, M. Corrosion inhibition of copper in sulfuric acid via environmentally friendly inhibitor (Myrtus Communis): Combining experimental and theoretical methods. J. Mol. Liq. 2022, 347, 117982. [Google Scholar] [CrossRef]
- Franjić, J.; Škvorc, Ž. Croatian Forest Plants, 1st ed.; University of Zagreb, Faculty of Forestry and Wood Technology: Zagreb, Croatia, 2021; pp. 82–83. [Google Scholar]
- Sezik, E.; Üstün, O.; Demirci, B.; Başbr, K.H.C. Composition of the essential oils of Pinus nigra Arnold from Turkey. Turkish J. Chem. 2010, 34, 313–325. [Google Scholar] [CrossRef]
- Radulović, M.; Rajčević, N.; Gavrilović, M.; Novaković, J.; Stešević, D.; Marin, P.; Janaćković, P. Five wild-growing Artemisia (Asteraceae) species from Serbia and Montenegro: Essential oil composition and its chemophenetic significance. J. Serb. Chem. Soc. 2021, 86, 1281–1290. [Google Scholar] [CrossRef]
- Halambek, J.; Berković, K.; Vorkapić-Furač, J. The influence of Lavandula angustifolia L. oil on corrosion of Al-3Mg alloy. Corros. Sci. 2010, 52, 3978–3983. [Google Scholar] [CrossRef]
- Alibakhshi, E.; Ramezanzadeh, M.; Haddadi, S.A.; Bahlakeh, G.; Ramezanzadeh, B.; Mahdavian, M. Persian Liquorice extract as a highly efficient sustainable corrosion inhibitor for mild steel in sodium chloride solution. J. Clean. Prod. 2019, 210, 660–672. [Google Scholar] [CrossRef]
- Tan, B.; Xiang, B.; Zhang, S.; Qiang, Y.; Xu, L.; Chen, S.; He, J. Papaya leaves extract as a novel eco-friendly corrosion inhibitor for Cu in H2SO4 medium. J. Colloid Interface Sci. 2021, 582, 918–931. [Google Scholar] [CrossRef]
- Deng, S.; Li, X. Inhibition by Ginkgo leaves extract of the corrosion of steel in HCl and H2SO4 solutions. Corros. Sci. 2012, 55, 407–415. [Google Scholar] [CrossRef]
- Idouhli, R.; Oukhrib, A.; Khadiri, M.; Zakir, O.; Aityoub, A.; Abouelfida, A.; Benharref, A.; Benyaich, A. Understanding the corrosion inhibition effectiveness using Senecio anteuphorbium L. fraction for steel in acidic media. J. Mol. Struct. 2021, 1228, 129478. [Google Scholar] [CrossRef]
- ASTM D7490–13; Standard Test Method for Measurement of the Surface Tension of Solid Coatings, Substrates and Pigments using Contact Angle Measurements. ASTM International: West Conshohocken, PA, USA, 2013.








| RI | Compound | Chemical Formula | Percentage (%) |
|---|---|---|---|
| 931 | α-Pinene | C10H16 | 66.5 |
| 975 | β-Pinene | C10H16 | 2.10 |
| 1423 | E-Caryophyllene | C15H24 | 5.67 |
| 1487 | Germacrene D | C15H24 | 14.0 |
| Total | / | 88.3 |
| Solution | Time/h | Rs/Ω cm2 | Rct/ Ω cm2 | CPE | η/% | |
|---|---|---|---|---|---|---|
| Y0/10–6/Ω−1 sn cm−2 | n | |||||
| 1 M HCl | 1 | 3.94 | 37.5 | 156.2 | 0.906 | / |
| 2 | 3.82 | 31.4 | 234.5 | 0.910 | / | |
| 3 | 3.72 | 30.6 | 297.0 | 0.918 | / | |
| 4 | 4.19 | 30.2 | 371.8 | 0.910 | / | |
| 50 ppm PN | 1 | 8.32 | 289.1 | 60.98 | 0.90 | 87.0 |
| 2 | 8.08 | 528.5 | 54.97 | 0.903 | 94.0 | |
| 3 | 8.00 | 720.7 | 51.06 | 0.91 | 95.8 | |
| 4 | 7.96 | 733.5 | 51.25 | 0.911 | 95.9 | |
| 100 ppm PN | 1 | 4.92 | 481.7 | 47.27 | 0.906 | 92.0 |
| 2 | 4.83 | 609.7 | 45.32 | 0.911 | 94.9 | |
| 3 | 4.77 | 612.1 | 46.04 | 0.914 | 95.0 | |
| 4 | 4.73 | 640.3 | 46.57 | 0.915 | 95.3 | |
| 200 ppm PN | 1 | 6.26 | 333.5 | 56.21 | 0.907 | 88.8 |
| 2 | 6.15 | 456.9 | 52.78 | 0.912 | 93.0 | |
| 3 | 5.93 | 619.5 | 49.58 | 0.915 | 95.0 | |
| 4 | 5.93 | 749.2 | 45.97 | 0.92 | 96.0 | |
| 300 ppm PN | 1 | 6.55 | 223.7 | 67.72 | 0.91 | 83.0 |
| 2 | 6.50 | 286.6 | 63.71 | 0.912 | 89.0 | |
| 3 | 6.30 | 320.6 | 62.36 | 0.914 | 90.0 | |
| 4 | 6.07 | 358.9 | 61.48 | 0.914 | 91.6 | |
| Inhibitor | jcorr/µA cm−2 | Ecorr/mV vs. SCE | η/% |
|---|---|---|---|
| Blank | 173 | −448 | / |
| 50 ppm PN | 6.0 | −469 | 96.5 |
| 100 ppm PN | 6.5 | −469 | 96.3 |
| 200 ppm PN | 5.0 | −472 | 97.0 |
| 300 ppm PN | 10 | −480 | 94.0 |
Disclaimer/Publisher’s Note: The statements, opinions and data contained in all publications are solely those of the individual author(s) and contributor(s) and not of MDPI and/or the editor(s). MDPI and/or the editor(s) disclaim responsibility for any injury to people or property resulting from any ideas, methods, instructions or products referred to in the content. |
© 2023 by the authors. Licensee MDPI, Basel, Switzerland. This article is an open access article distributed under the terms and conditions of the Creative Commons Attribution (CC BY) license (https://creativecommons.org/licenses/by/4.0/).
Share and Cite
Simović, A.R.; Grgur, B.N.; Novaković, J.; Janaćković, P.; Bajat, J. Black Pine (Pinus nigra) Essential Oil as a Green Corrosion Inhibitor for Carbon Steel. Metals 2023, 13, 508. https://doi.org/10.3390/met13030508
Simović AR, Grgur BN, Novaković J, Janaćković P, Bajat J. Black Pine (Pinus nigra) Essential Oil as a Green Corrosion Inhibitor for Carbon Steel. Metals. 2023; 13(3):508. https://doi.org/10.3390/met13030508
Chicago/Turabian StyleSimović, Anđela R., Branimir N. Grgur, Jelica Novaković, Peđa Janaćković, and Jelena Bajat. 2023. "Black Pine (Pinus nigra) Essential Oil as a Green Corrosion Inhibitor for Carbon Steel" Metals 13, no. 3: 508. https://doi.org/10.3390/met13030508
APA StyleSimović, A. R., Grgur, B. N., Novaković, J., Janaćković, P., & Bajat, J. (2023). Black Pine (Pinus nigra) Essential Oil as a Green Corrosion Inhibitor for Carbon Steel. Metals, 13(3), 508. https://doi.org/10.3390/met13030508

