The Influence of Small Additions of Alloying Elements on the Hot Ductility of AHSS Steels: A Critical Review Part 2
Abstract
1. Introduction
2. Influence of Cr and Mo on Hot Ductility
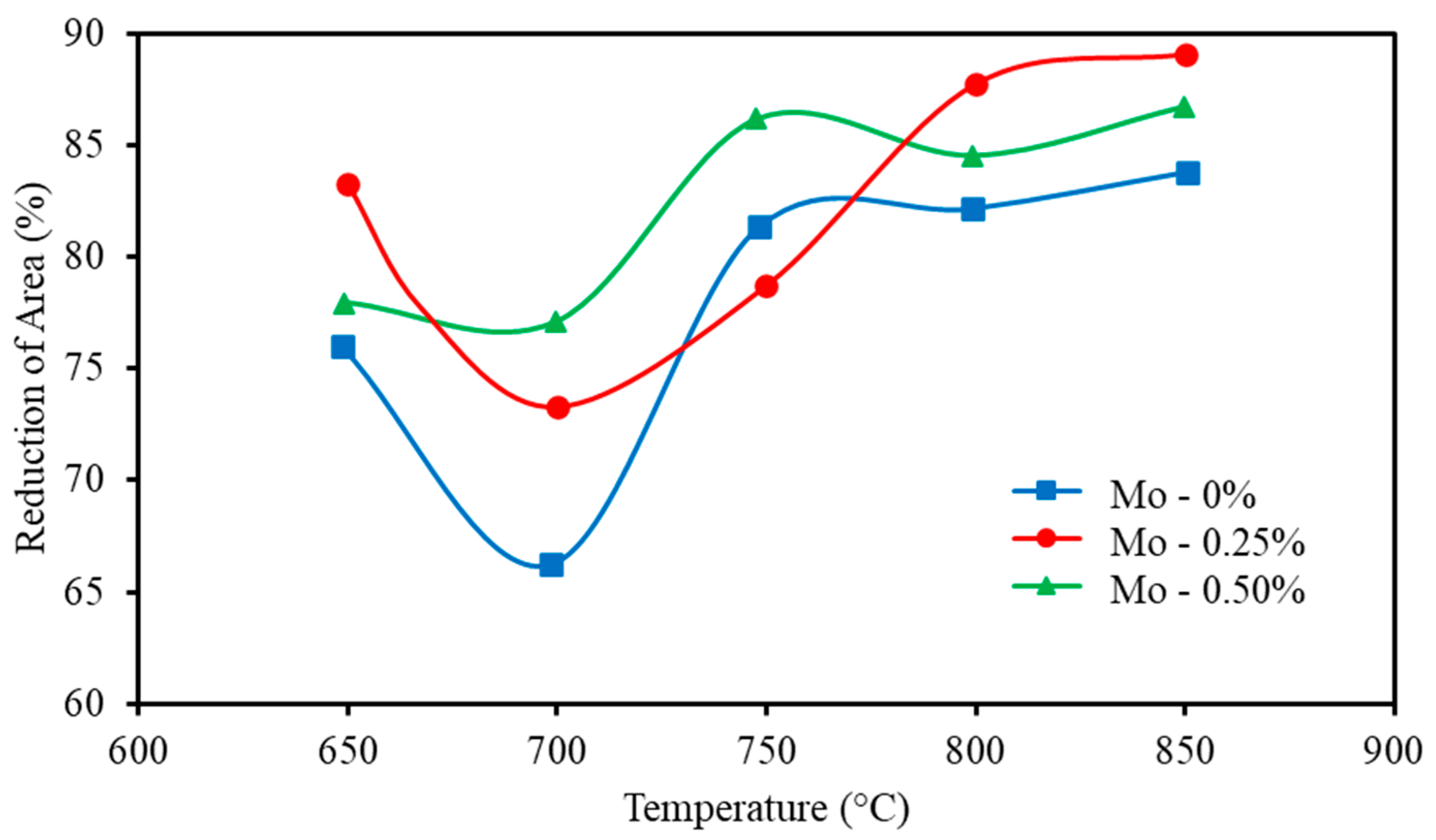
2.1. Influence of Cr and Mo Additions on the Hot Ductility of TRIP Steels
2.2. Hot Ductility on Adding Cr and Mo to TWIP Steels
3. Influence of Boron on Hot Ductility
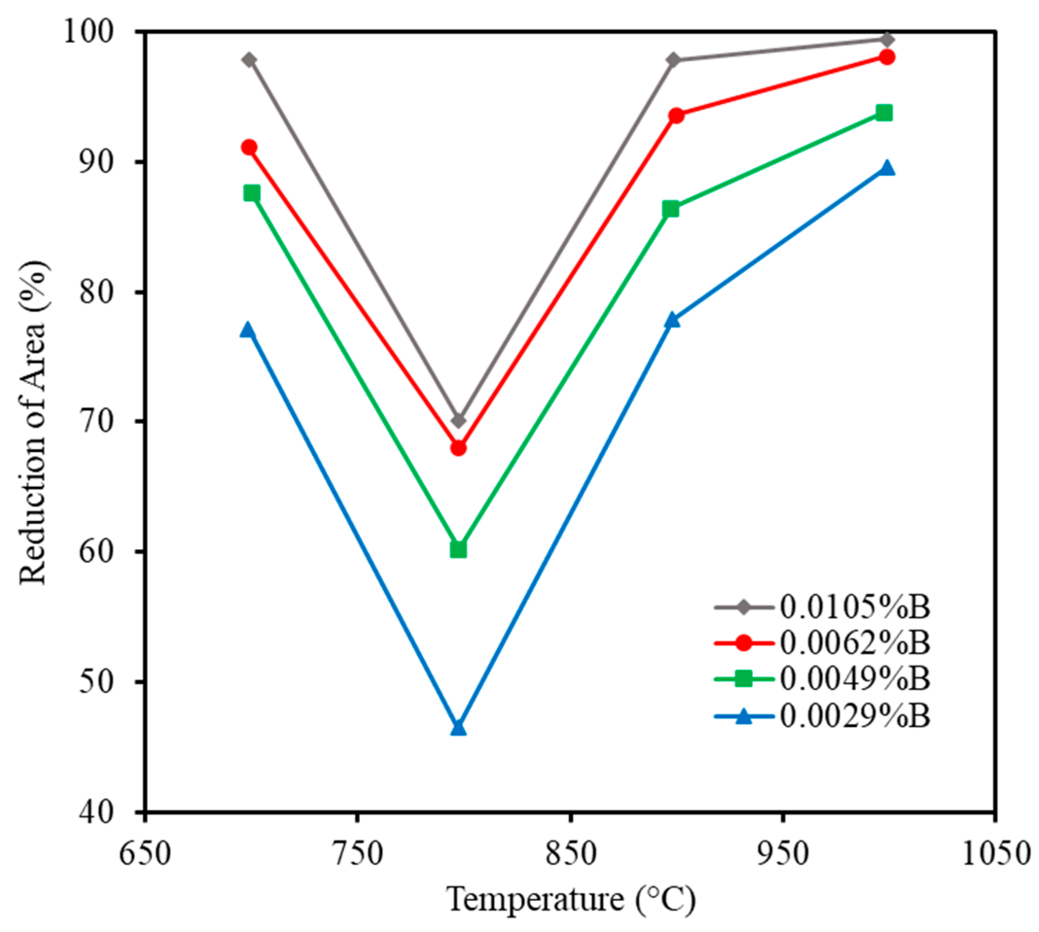
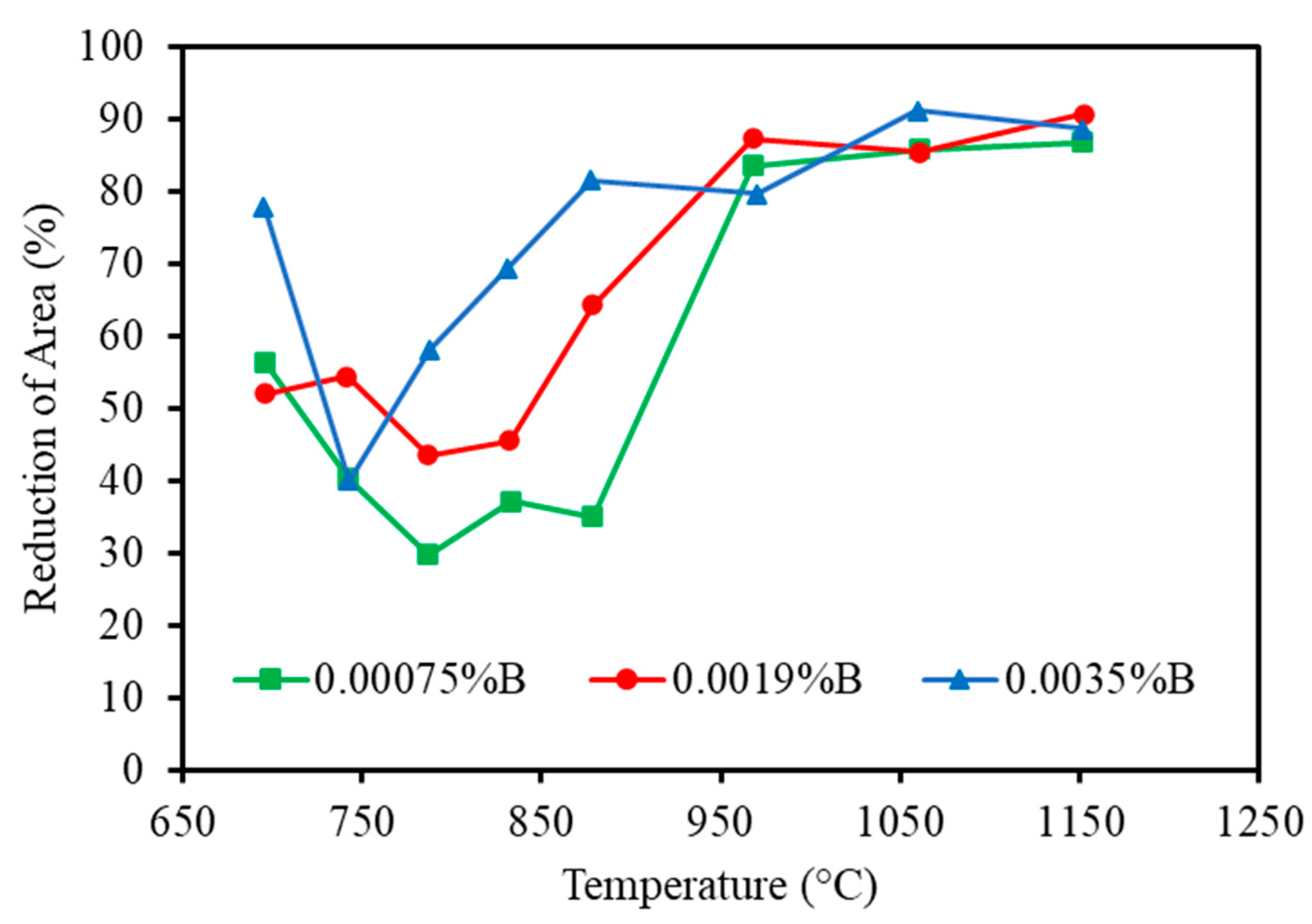
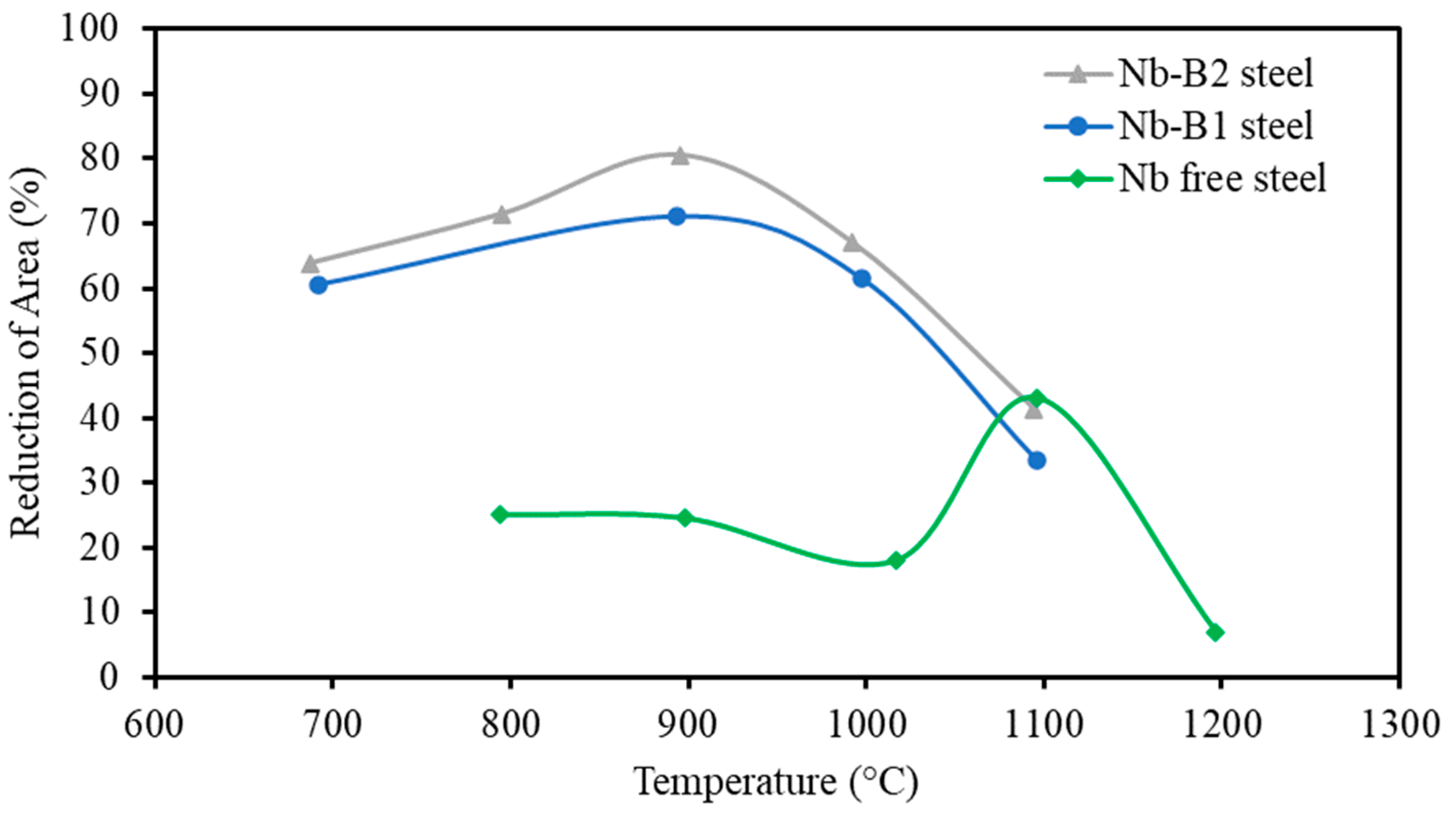
3.1. Influence of B on the Hot Ductility of Ti-Free Low-C Steels, Including TRIP
3.2. Influence of the B/N Ratio on the Hot Ductility of Steels without Ti
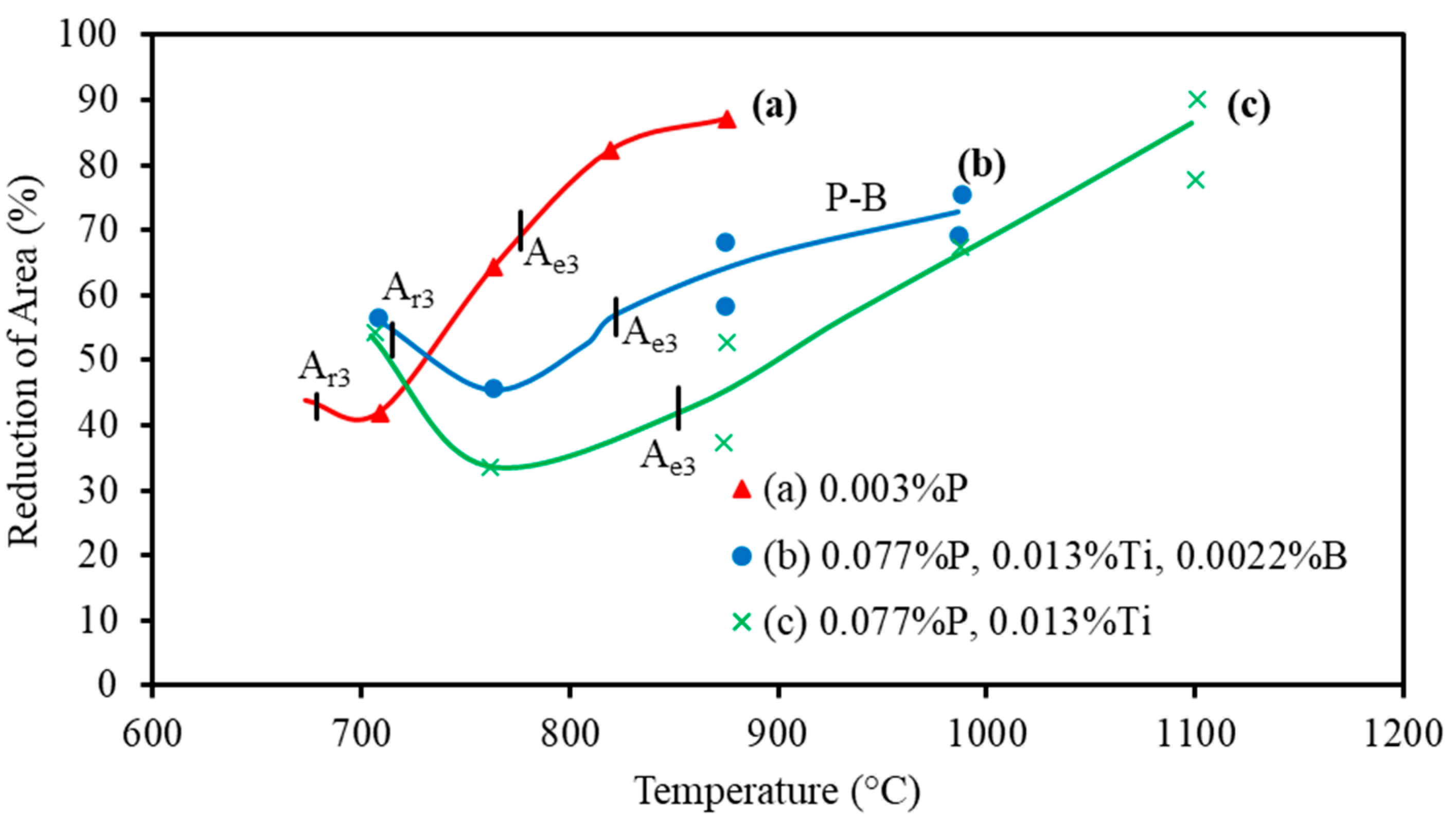
3.3. Influence of Ti Additions on the Hot Ductility of Boron-Containing Low-Al Steels
3.4. Importance of Cooling Rate in Both Ti-Free and Ti-Containing Low C and Low Mn Steels
4. Importance of Stacking Fault Energy (SFE) in Controlling the Composition of AHSS Steels
5. Influence of Cerium on Hot Ductility
6. Influence of Cu and Ni on Hot Ductility
7. Influence of Ca and Zr on Hot Ductility
8. Conclusions
Author Contributions
Funding
Data Availability Statement
Conflicts of Interest
References
- Mintz, B.; Qaban, A. The Influence of Precipitation, High Levels of Al, Si, P and a Small B Addition on the Hot Ductility of TWIP and TRIP Assisted Steels: A Critical Review. Metals 2022, 12, 502. [Google Scholar] [CrossRef]
- Andrews, K.W. Empirical formulae for the calculation of some transformation temperatures. J. Iron Steel Inst. 1965, 7, 721–727. [Google Scholar]
- Allain, S.; Iung, T. Development of hot rolled copper/nickel alloyed TRIP steels with carbide-free bainitic matrix. Metall. Res. Technol. 2008, 105, 520–530. [Google Scholar] [CrossRef]
- Kwon, O.; Kim, S.; Cho, J.; Kwak, W.; Kim, G. Development of TWIP steel for automotive application, Posco, Korea. In Proceedings of the 3rd International Steel Conference on New Developments in Metallurgical Process Technologies (METEC InSteelCon), Düsseldorf, Germany, 11–15 June 2007; pp. 690–697. [Google Scholar]
- Horvath, C.D. Advanced steels for lightweight automotive structures. In Materials, Design and Manufacturing for Lightweight Vehicles; Woodhead Publishing: Sawston, UK, 2021; pp. 39–95. [Google Scholar]
- Mintz, B. Hot dip galvanising of transformation induced plasticity and other intercritically annealed steels. Int. Mater. Rev. 2001, 46, 169–197. [Google Scholar] [CrossRef]
- Mesplont, C.; Waterschoot, T.; Vandeputte, S.; De Cooman, B.C. Thermomechanical Processing of Steels; IoM Communications: London, UK, 2000; Volume 2, pp. 495–504. [Google Scholar]
- Kucerova, L.; Bystrianský, M. The effect of chemical composition on microstructure and properties of TRIP steels. J. Achiev. Mater. Manuf. Eng. 2016, 77, 5–12. [Google Scholar] [CrossRef]
- Uranga, P.; Shang, C.-J.; Senuma, T.; Yang, J.-R.; Guo, A.-M.; Mohrbacher, H. Molybdenum alloying in high-performance flat-rolled steel grades. In Proceedings of the 2018 Molybdenum and Steel Symposium (IMOA), Shanghai, China, 28–29 November 2018; pp. 5–23. [Google Scholar] [CrossRef]
- Liu, Y.; Sun, Y.-H.; Wu, H.-T. Effects of chromium on the microstructure and hot ductility of Nb-microalloyed steel. Int. J. Miner. Met. Mater. 2021, 28, 1011–1021. [Google Scholar] [CrossRef]
- Hannerz, N. Critical hot plasticity and transverse cracking in continuous slab casting with particular reference to composition. Trans. Iron Steel Inst. Jpn. 1985, 25, 149–158. [Google Scholar] [CrossRef]
- Zheng, Y.; Shen, W.; Zhu, L.; Guo, Z.; Wang, Q.; Feng, J.; Li, Y.; Cao, R.; Wu, J. Effects of composition and strain rate on hot ductility of Cr–Mo-alloy steel in the two-phase region. High Temp. Mater. Process. 2021, 40, 228–240. [Google Scholar] [CrossRef]
- Mejía, I.; Salas-Reyes, A.E.; Bedolla-Jacuinde, A.; Calvo, J.; Cabrera, J.M. Effect of Nb and Mo on the hot ductility behavior of a high-manganese austenitic Fe–21Mn–1.3 Al–1.5 Si–0.5 C TWIP steel. Mater. Sci. Eng. A 2014, 616, 229–239. [Google Scholar] [CrossRef]
- Banerji, S.K.; Morral, J.E. Boron in Steel; AIME: Milwaukee, WI, USA, 1979; p. 1980. [Google Scholar]
- Azarkevich, A.A.; Kovalenko, L.V.; Krasnopolskii, V.M. The optimum content of boron in steel. Met. Sci. Heat Treat. 1995, 37, 22–24. [Google Scholar] [CrossRef]
- Cameron, T.B.; Morral, J.E. The solubility of boron in iron. Met. Mater. Trans. A 1986, 17, 1481–1483. [Google Scholar] [CrossRef]
- Shen, Y.; Hansen, S.S. Effect of the Ti/N ratio on the hardenability and mechanical properties of a quenched-and-tempered C-Mn-B steel. Met. Mater. Trans. A 1997, 28, 2027–2035. [Google Scholar] [CrossRef]
- Suzuki, K.-I.; Miyagawa, S.; Saito, Y.; Shiotani, K. Effect of Microalloyed Nitride Forming Elements on Precipitation of Carbonitride and High Temperature Ductility of Continuously Cast Low Carbon Nb Containing Steel Slab. ISIJ Int. 1995, 35, 34–41. [Google Scholar] [CrossRef]
- Abushosha, R.; Vipond, R.; Mintz, B. Influence of titanium on hot ductility of as cast steels. Mater. Sci. Technol. 1991, 7, 613–621. [Google Scholar] [CrossRef]
- Abushosha, R.; Comineli, O.; Mintz, B. Influence of Ti on hot ductility of C–Mn–Al steels. Mater. Sci. Technol. 1999, 15, 278–286. [Google Scholar] [CrossRef]
- Mintz, B.; Mohamed, Z.; Abu-Shosha, R. Influence of calcium on hot ductility of steels. Mater. Sci. Technol. 1989, 5, 682–688. [Google Scholar] [CrossRef]
- Shenhua, S.; Yewei, X.U.; Xianmiao, C.; Jiang, X. Effect of rare earth cerium and impurity tin on the hot ductility of a Cr-Mo low alloy steel. J. Rare Earths 2016, 34, 1062–1068. [Google Scholar]
- López-Chipres, E.; Mejía, I.; Maldonado, C.; Bedolla-Jacuinde, A.; Cabrera, J. Hot ductility behavior of boron microalloyed steels. Mater. Sci. Eng. A 2007, 460–461, 464–470. [Google Scholar] [CrossRef]
- Mintz, B.; Qaban, A. Understanding the high temperature side of the hot ductility curve for steels. Mater. Sci. Technol. 2021, 37, 237–249. [Google Scholar] [CrossRef]
- Lagerquist, M.; Lagneborg, R. The influence of boron on the creep properties of austenitic steels. Scand. J. Metall. 1972, 1, 81–89. [Google Scholar]
- Khadkikar, P.S.; Vedula, K.; Shabel, B.S. Role of boron in ductilizing Ni3Al. Metall. Trans. A Phys. Metall. Mater. Sci. 1987, 18, 425–428. [Google Scholar] [CrossRef]
- Mavropoulos, T.; Jonas, J.J.; Ruddle, G.E. HSLA Steels: Metallurgy and Applications. In Proceedings of the International Conference on HSLA Steels’ 85, Beijing, China, 4–8 November 1985; p. 229. [Google Scholar]
- Jahazi, M.; Jonas, J. The non-equilibrium segregation of boron on original and moving austenite grain boundaries. Mater. Sci. Eng. A 2002, 335, 49–61. [Google Scholar] [CrossRef]
- Cao, B.; Wang, X.; Cui, H.; He, X. Non-equilibrium segregation of boron on grain boundary in Fe-30% Ni alloy. Int. J. Miner. Metall. Mater. 2002, 9, 347–351. [Google Scholar]
- Kim, S.K.; Kim, N.J.; Kim, J.S. Effect of boron on the hot ductility of Nb-containing steel. Met. Mater. Trans. A 2002, 33, 701–704. [Google Scholar] [CrossRef]
- Song, S.-H.; Guo, A.-M.; Shen, D.-D.; Yuan, Z.-X.; Liu, J.; Xu, T.-D. Effect of boron on the hot ductility of 2.25Cr1Mo steel. Mater. Sci. Eng. A 2003, 360, 96–100. [Google Scholar] [CrossRef]
- Campbell, J. Discussion of “Investigation of Oxide Bifilms in Investment Cast Superalloy IN100 Parts I and II”*. Met. Mater. Trans. A 2017, 48, 5151–5153. [Google Scholar] [CrossRef]
- Campbell, J. Melting, remelting, and casting for clean steel. Steel Res. Int. 2017, 88, 1–13. [Google Scholar] [CrossRef]
- Song, S.-H.; Faulkner, R.G.; Flewitt, P.E.J. Effect of boron on phosphorus-induced temper embrittlement. J. Mater. Sci. 1999, 34, 5549–5556. [Google Scholar] [CrossRef]
- Grabke, H.J. Impurities in Engineering Materials; Briant, C.L., Ed.; Marcel Dekker: New York, NY, USA, 1999; Volume 143, p. 192. [Google Scholar]
- Mintz, B.; Tuling, A.; Delgado, A. Influence of silicon, aluminium, phosphorus and boron on hot ductility of TRansformation Induced Plasticity assisted steels. Mater. Sci. Technol. 2003, 19, 1721–1726. [Google Scholar] [CrossRef]
- Mintz, B.; Yue, S.; Jonas, J.J. Hot ductility of steels and its relationship to the problem of transverse cracking during continuous casting. Int. Mater. Rev. 1991, 36, 187–220. [Google Scholar] [CrossRef]
- Salas-Reyes, A.E.; Altamirano-Guerrero, G.; Chávez-Alcalá, J.F.; Barba-Pingarrón, A.; Figueroa, I.A.; Bolarín-Miró, A.M.; Jesús, F.S.-D.; Deaquino-Lara, R.; Salinas, A. Influence of Boron Content on the Solidification Structure, Magnetic Properties and Hot Mechanical Behavior in an Advanced As-Cast TWIP Steel. Metals 2020, 10, 1230. [Google Scholar] [CrossRef]
- Mintz, B.; Kang, S.; Qaban, A. The influence of grain size and precipitation and a boron addition on the hot ductility of a high Al, V containing TWIP steels. Mater. Sci. Technol. 2021, 37, 1035–1046. [Google Scholar] [CrossRef]
- Zarandi, F.; Yue, S. The Effect of Boron on Hot Ductility of Nb-microalloyed Steels. ISIJ Int. 2006, 46, 591–598. [Google Scholar] [CrossRef]
- Mejía, I.; Salas-Reyes, A.E.; Calvo, J.; Cabrera, J.M. Effect of Ti and B microadditions on the hot ductility behavior of a High-Mn austenitic Fe–23Mn–1.5 Al–1.3 Si–0.5 C TWIP steel. Mater. Sci. Eng. A 2015, 648, 311–329. [Google Scholar] [CrossRef]
- Nix, W.D.; Yu, K.S.; Wang, J.S. The effects of segregation on the kinetics of irrtergranular cavity growth under creep conditions. Met. Mater. Trans. A 1983, 14, 563–570. [Google Scholar] [CrossRef]
- Laha, K.; Kyono, J.; Kishimoto, S.; Shinya, N. Beneficial effect of B segregation on creep cavitation in a type 347 austenitic stainless steel. Scr. Mater. 2005, 52, 675–678. [Google Scholar] [CrossRef]
- Yamamoto, K.; Suzuki, H.G.; Oono, Y.; Noda, N.; Inoue, T. Formation Mechanism and Prevention Method of Facial Cracks of Continuously Cast Steel Slabs Containing Boron. Tetsu-To-Hagane 1987, 73, 115–122. [Google Scholar] [CrossRef]
- Cho, K.C.; Mun, D.J.; Kim, J.Y.; Kil Park, J.; Lee, J.S.; Koo, Y.M. Effect of Boron Precipitation Behavior on the Hot Ductility of Boron Containing Steel. Met. Mater. Trans. A 2010, 41, 1421–1428. [Google Scholar] [CrossRef]
- Wang, W.S.; Zhu, H.Y.; Sun, J.; Lei, J.L.; Duan, Y.Q.; Wang, Q. Thermodynamic analysis of BN, AlN and TiN precipitation in boron-bearing steel. Metalurgija 2019, 58, 199–202. [Google Scholar]
- Taguchi, K.; Takaya, S.; Numata, M.; Kato, T. Effect of Deoxidizing Element on the Hot Ductility of Boron-Containing Steel. ISIJ Int. 2020, 60, 2829–2837. [Google Scholar] [CrossRef]
- Tingdong, X.; Shenhua, S.; Zhexi, Y.; Zongsen, Y. Two types of boron segregation at austenite grain boundaries and their mutual relation. J. Mater. Sci. 1990, 25, 1739–1744. [Google Scholar] [CrossRef]
- Shenhua, S.; Tingdong, X.; Zhexi, Y.; Zongsen, Y. Equilibrium grain-boundary segregation and the effect of boron in B-doped Fe−3wt%Ni austenitic alloy. Acta Met. Mater. 1991, 39, 909–914. [Google Scholar] [CrossRef]
- He, X.; Chu, Y.; Jonas, J. Grain boundary segregation of boron during continuous cooling. Acta Met. 1989, 37, 147–161. [Google Scholar] [CrossRef]
- Karlsson, L. Non-equilibrium grain boundary segregation of boron in austenitic stainless steel-III. Computer simulations. Acta Metall. 1988, 36, 1–12. [Google Scholar] [CrossRef]
- Mintz, B.; Crowther, D.N. Hot ductility of steels and its relationship to the problem of transverse cracking in continuous casting. Int. Mater. Rev. 2010, 55, 168–196. [Google Scholar] [CrossRef]
- Shen, K.; Wang, S.F.; Ma, H.; Liao, S.L. Analysis and improving measures for surface defects on low carbon boron steel. J. Iron Steel Res. 2014, 26, 57–62. [Google Scholar]
- Cho, K.C.; Mun, D.J.; Kang, M.H.; Lee, J.S.; Kil Park, J.; Koo, Y.M. Effect of Thermal Cycle and Nitrogen Content on the Hot Ductility of Boron-bearing Steel. ISIJ Int. 2010, 50, 839–846. [Google Scholar] [CrossRef]
- Chown, L.; Cornish, L. Investigation of hot ductility in Al-killed boron steels. Mater. Sci. Eng. A 2008, 494, 263–275. [Google Scholar] [CrossRef]
- Tanino, M. Precipitation behaviours of complex boron compounds in steel. Nippon steel technical report. Overseas 1983, 21, 331–337. [Google Scholar]
- Lis, A.; Lis, J.; Kolan, C.; Knapiński, M. Effect of strain rate on hot ductility of C-Mn-B steel. J. Achiev. Mater. Manuf. Eng. 2010, 41, 26–33. [Google Scholar]
- Mejía, I.; Bedolla-Jacuinde, A.; Maldonado, C.; Cabrera, J. Hot ductility behavior of a low carbon advanced high strength steel (AHSS) microalloyed with boron. Mater. Sci. Eng. A 2011, 528, 4468–4474. [Google Scholar] [CrossRef]
- Wilson, F.G.; Gladman, T. Aluminium nitride in steel. Int. Mater. Rev. 1988, 33, 221–286. [Google Scholar] [CrossRef]
- Qaban, A.; Mintz, B.; Kang, S.E.; Naher, S. Hot ductility of high Al TWIP steels containing Nb and Nb-V. Mater. Sci. Technol. 2017, 14, 1645–1656. [Google Scholar] [CrossRef]
- Banks, K.M.; Tuling, A.; Mintz, B. Influence of V and Ti on hot ductility of Nb containing steels of peritectic C contents. Mater. Sci. Technol. 2011, 27, 1309–1314. [Google Scholar] [CrossRef]
- Smallman, R.E.; Dillamore, I.L.; Dobson, P.S. The Measurement of Stacking Fault Energy. J. Phys. Colloq. 1966, 27, C3-86–C3-93. [Google Scholar] [CrossRef]
- Monsalve, A.; De Barbieri, F.; Gómez, M.; Artigas, A.; Carvajal, L.; Sipos, K.; Bustos, O.; Pérez-Ipiña, J. Mechanical Behavior of a Twip Steel (Twinning Induced Plasticity). Matéria 2015, 20, 653–658. [Google Scholar] [CrossRef]
- Zambrano, O.A. Stacking fault energy maps of Fe–Mn–Al–C–Si steels: Effect of temperature, grain size, and variations in compositions. J. Eng. Mater. Technol. 2016, 138, 041010. [Google Scholar] [CrossRef]
- Grässel, O.; Krüger, L.; Frommeyer, G.; Meyer, L.W. High strength Fe–Mn–(Al, Si) TRIP/TWIP steels development—Properties—Application. Int. J. Plast. 2000, 16, 1391–1409. [Google Scholar] [CrossRef]
- Sato, K.; Ichinose, M.; Hirotsu, Y.; Inoue, Y. Effects of deformation induced phase transformation and twinning on the mechanical properties of austenitic Fe-Mn-Al alloys. ISIJ Int. 1989, 29, 868–877. [Google Scholar] [CrossRef]
- Lee, S.J.; Fujii, H.; Ushioda, K. Thermodynamic calculation of the stacking fault energy in Fe-Cr-Mn-CN steels. J. Alloys Compd. 2018, 749, 776–782. [Google Scholar] [CrossRef]
- Pierce, D.T.; Jiménez, J.A.; Bentley, J.; Raabe, D.; Oskay, C.; Wittig, J.E. The influence of manganese content on the stacking fault and austenite/ε-martensite interfacial energies in Fe–Mn–(Al–Si) steels investigated by experiment and theory. Acta Mater. 2014, 68, 238–253. [Google Scholar] [CrossRef]
- Kim, J.; Lee, S.J.; De Cooman, B.C. Effect of Al on the stacking fault energy of Fe–18Mn–0.6 C twinning-induced plasticity. Scr. Mater. 2011, 65, 363–366. [Google Scholar] [CrossRef]
- Lee, Y.K.; Choi, C. Driving force for γ→ ε martensitic transformation and stacking fault energy of γ in Fe-Mn binary system. Metall. Mater. Trans. A 2000, 31, 355–360. [Google Scholar] [CrossRef]
- Saeed-Akbari, A.; Imlau, J.; Prahl, U.; Bleck, W. Derivation and Variation in Composition-Dependent Stacking Fault Energy Maps Based on Subregular Solution Model in High-Manganese Steels. Met. Mater. Trans. A 2009, 40, 3076–3090. [Google Scholar] [CrossRef]
- Grässel, O.; Frommeyer, G.; Derder, C.; Hofmann, H. Phase Transformations and Mechanical Properties of Fe-Mn-Si-Al TRIP-Steels. J. Phys. Colloq. 1997, 07, C5-383–C5-388. [Google Scholar] [CrossRef]
- Jeong, J.; Woo, W.; Oh, K.; Kwon, S.; Koo, Y. In situ neutron diffraction study of the microstructure and tensile deformation behavior in Al-added high manganese austenitic steels. Acta Mater. 2012, 60, 2290–2299. [Google Scholar] [CrossRef]
- Jin, J.-E.; Lee, Y.-K. Effects of Al on microstructure and tensile properties of C-bearing high Mn TWIP steel. Acta Mater. 2012, 60, 1680–1688. [Google Scholar] [CrossRef]
- Jeong, K.; Jin, J.E.; Jung, Y.S.; Kang, S.; Lee, Y.K. The effects of Si on the mechanical twinning and strain hardening of Fe–18Mn–0.6 C twinning-induced plasticity steel. Acta Mater. 2013, 61, 3399–3410. [Google Scholar] [CrossRef]
- Cabañas, N.; Penning, J.; Akdut, N.; De Cooman, B.C. High-temperature deformation properties of austenitic Fe-Mn alloys. Met. Mater. Trans. A 2006, 37, 3305–3315. [Google Scholar] [CrossRef]
- Sastri, V.; Bünzli, J.-C.; Rao, V.R.; Rayudu, G.; Perumareddi, J. Modern Aspects of Rare Earths and Their Complexes; Elsevier: Amsterdam, The Netherlands, 2003. [Google Scholar] [CrossRef]
- Kippenhan, N.; Gschneidner, K.A., Jr. Rare-Earth Metals in Steels (No. IS-RIC-4); Iowa State University of Science and Technology, Rare-Earth Information Center: Ames, IA, USA, 1970. [Google Scholar]
- Ji, Y.; Zhang, M.-X.; Ren, H. Roles of Lanthanum and Cerium in Grain Refinement of Steels during Solidification. Metals 2018, 8, 884. [Google Scholar] [CrossRef]
- Kim, S.J.; Ryu, K.M.; Oh, M.-S. Addition of cerium and yttrium to ferritic steel weld metal to improve hydrogen trapping efficiency. Int. J. Miner. Met. Mater. 2017, 24, 415–422. [Google Scholar] [CrossRef]
- Liu, Y.; Li, J.; Geng, R.; Zhi, J.; Lu, B. Effect of Cerium Content on Precipitation Behavior of Inclusions in High-Strength Low-Alloy Steel. Met. Microstruct. Anal. 2022, 11, 560–568. [Google Scholar] [CrossRef]
- Adabavazeh, Z.; Hwang, W.S.; Su, Y.H. Effect of Adding Cerium on Microstructure and Morphology of Ce-Based Inclusions Formed in Low-Carbon Steel. Sci. Rep. 2017, 7, 46503. [Google Scholar] [CrossRef] [PubMed]
- Li, G.; Lan, P.; Zhang, J.; Wu, G. Refinement of the Solidification Structure of Austenitic Fe-Mn-C-Al TWIP Steel. Met. Mater. Trans. B 2020, 51, 452–466. [Google Scholar] [CrossRef]
- Daamen, M.; Richter, S.; Hirt, G. Microstructure Analysis of High-Manganese TWIP Steels Produced via Strip Casting. In Key Engineering Materials; Trans Tech Publications Ltd.: Bäch, Switzerland, 2013; Volume 554–557, pp. 553–561. [Google Scholar] [CrossRef]
- Daamen, M.; Haase, C.; Dierdorf, J.; Molodov, D.A.; Hirt, G. Twin-roll strip casting: A competitive alternative for the production of high-manganese steels with advanced mechanical properties. Mater. Sci. Eng. A 2015, 627, 72–81. [Google Scholar] [CrossRef]
- Rajinikanth, V.; Mukherjee, K.; Chowdhury, S.G.; Schiebahn, A.; Harms, A.; Bleck, W. Mechanical property and microstructure of resistance spot welded twinning induced plasticity-dual phase steels joint. Sci. Technol. Weld. Join. 2013, 18, 485–491. [Google Scholar] [CrossRef]
- Lan, P.; Tang, H.; Zhang, J. Hot ductility of high alloy Fe–Mn–C austenite TWIP steel. Mater. Sci. Eng. A 2016, 660, 127–138. [Google Scholar] [CrossRef]
- Wu, L.; Zhi, J.; Zhang, J.; Zhao, B.; Liu, Q. Effect of Cerium on the Microstructure and Inclusion Evolution of C-Mn Cryogenic Vessel Steels. Materials 2021, 14, 5262. [Google Scholar] [CrossRef]
- Guo, Y.; Sun, S.; Song, S. Effect of minor rare earth cerium addition on the hot ductility of a reactor pressure vessel steel. Results Phys. 2019, 15, 102746. [Google Scholar] [CrossRef]
- Guo, Y.; Zhao, Y.; Song, S. Highly Enhanced Hot Ductility Performance of Advanced SA508-4N RPV Steel by Trace Impurity Phosphorus and Rare Earth Cerium. Metals 2020, 10, 1598. [Google Scholar] [CrossRef]
- Trang, T.; Lee, S.-Y.; Heo, Y.-U.; Kang, M.-H.; Lee, D.-H.; Lee, J.S.; Yim, C.H. Improved hot ductility of an as-cast high Mn TWIP steel by direct implementation of an MnS-containing master alloy. Scr. Mater. 2022, 215, 114685. [Google Scholar] [CrossRef]
- Saeidi, N.; Raeissi, M. Promising effect of copper on the mechanical properties of transformation-induced plasticity steels. Mater. Sci. Technol. 2019, 35, 1708–1716. [Google Scholar] [CrossRef]
- Traint, S.; Pichler, A.; Hauzenberger, K.; Stiaszny, P.; Werner, E. Influence of silicon, aluminium, phosphorus and copper on the phase transformations of low alloyed TRIP-steels. Steel Res. 2002, 73, 259–266. [Google Scholar] [CrossRef]
- Kim, S.-J.; Gil Lee, C.; Lee, T.-H.; Oh, C.-S. Effects of Copper Addition on Mechanical Properties of 0.15C-1.5Mn-1.5Si TRIP-aided Multiphase Cold-rolled Steel Sheets. ISIJ Int. 2002, 42, 1452–1456. [Google Scholar] [CrossRef]
- Kim, S.-J.; Gil Lee, C.; Lee, T.-H.; Oh, C.-S. Effect of Cu, Cr and Ni on mechanical properties of 0.15 wt.% C TRIP-aided cold rolled steels. Scr. Mater. 2003, 48, 539–544. [Google Scholar] [CrossRef]
- Lee, S.; Kim, J.; Lee, S.J.; De Cooman, B.C. Effect of Cu addition on the mechanical behavior of austenitic twinning-induced plasticity steel. Scr. Mater. 2011, 65, 1073–1076. [Google Scholar] [CrossRef]
- Jung, J.-G.; Jung, M.; Lee, S.-M.; Shin, E.; Shin, H.-C.; Lee, Y.-K. Cu precipitation kinetics during martensite tempering in a medium C steel. J. Alloys Compd. 2013, 553, 299–307. [Google Scholar] [CrossRef]
- Skoufari-Themistou, L.; Crowther, D.; Mintz, B. Strength and impact behaviour of age hardenable copper containing steels. Mater. Sci. Technol. 1999, 15, 1069–1079. [Google Scholar] [CrossRef]
- Han, K.; Yoo, J.; Lee, B.; Han, I.; Lee, C. Effect of Ni on the hot ductility and hot cracking susceptibility of high Mn austenitic cast steel. Mater. Sci. Eng. A 2014, 618, 295–304. [Google Scholar] [CrossRef]
- Peng, X.; Zhu, D.; Hu, Z.; Yi, W.; Liu, H.; Wang, M. Stacking fault energy and tensile deformation behavior of high-carbon twinning-induced plasticity steels: Effect of Cu addition. Mater. Des. 2013, 45, 518–523. [Google Scholar] [CrossRef]
- Comineli, O.; Qaban, A.; Mintz, B. Influence of Cu and Ni on the Hot Ductility of Low C Steels with Respect to the Straightening Operation When Continuous Casting. Metals 2022, 12, 1671. [Google Scholar] [CrossRef]
- Holappa, L.; Wijk, O. Inclusion engineering. Treatise Process Metall. 2014, 347–372. [Google Scholar]
- Lehmann, J.; Meilland, R. Inclusion cleanness in calcium-treated steel grades. In The SGTE Casebook; Woodhead Publishing: Sawston, UK, 2008; pp. 267–272. [Google Scholar]
- Theyssier, M.C. Manufacturing of advanced high-strength steels (AHSS). In Welding and Joining of Advanced High Strength Steels (AHSS); Woodhead Publishing: Sawston, UK, 2015; pp. 29–53. [Google Scholar]
- Baker, T.N. Role of zirconium in microalloyed steels: A review. Mater. Sci. Technol. 2014, 31, 265–294. [Google Scholar] [CrossRef]
- Turkdogan, E.T. Causes and effects of nitride and carbonitride precipitation in HSLA steels in relation to continuous casting. In Steelmaking Conference Proceedings; AIME: New York, NY, USA, 1987; Volume 70, pp. 399–409. [Google Scholar]
- Karjalainen, L.P.; Kinnunen, H.; Porter, D. Hot Ductility of Certain Microalloyed Steels under Simulated Continuous Casting Conditions. In Materials Science Forum; Trans Tech Publications Ltd.: Bäch, Switzerland, 1998; Volume 284–286, pp. 477–484. [Google Scholar] [CrossRef]
- Coleman, T.H.; Wilcox, J.R. Transverse cracking in continuously cast HSLA slabs–influence of composition. Mater. Sci. Technol. 1985, 1, 80–83. [Google Scholar] [CrossRef]




















Disclaimer/Publisher’s Note: The statements, opinions and data contained in all publications are solely those of the individual author(s) and contributor(s) and not of MDPI and/or the editor(s). MDPI and/or the editor(s) disclaim responsibility for any injury to people or property resulting from any ideas, methods, instructions or products referred to in the content. |
© 2023 by the authors. Licensee MDPI, Basel, Switzerland. This article is an open access article distributed under the terms and conditions of the Creative Commons Attribution (CC BY) license (https://creativecommons.org/licenses/by/4.0/).
Share and Cite
Mintz, B.; Qaban, A.; Kang, S.E. The Influence of Small Additions of Alloying Elements on the Hot Ductility of AHSS Steels: A Critical Review Part 2. Metals 2023, 13, 406. https://doi.org/10.3390/met13020406
Mintz B, Qaban A, Kang SE. The Influence of Small Additions of Alloying Elements on the Hot Ductility of AHSS Steels: A Critical Review Part 2. Metals. 2023; 13(2):406. https://doi.org/10.3390/met13020406
Chicago/Turabian StyleMintz, Barrie, Abdullah Qaban, and Shin Eon Kang. 2023. "The Influence of Small Additions of Alloying Elements on the Hot Ductility of AHSS Steels: A Critical Review Part 2" Metals 13, no. 2: 406. https://doi.org/10.3390/met13020406
APA StyleMintz, B., Qaban, A., & Kang, S. E. (2023). The Influence of Small Additions of Alloying Elements on the Hot Ductility of AHSS Steels: A Critical Review Part 2. Metals, 13(2), 406. https://doi.org/10.3390/met13020406

