Experimental Study on the Recovery of Arsenic and Iron from Arsenic–Iron Precipitate by Carbon Thermal Magnetization Reduction
Abstract
1. Introduction
2. Experimental Section
2.1. Materials
2.2. Experimental Device and Methods
2.3. Analysis and Detection Methods
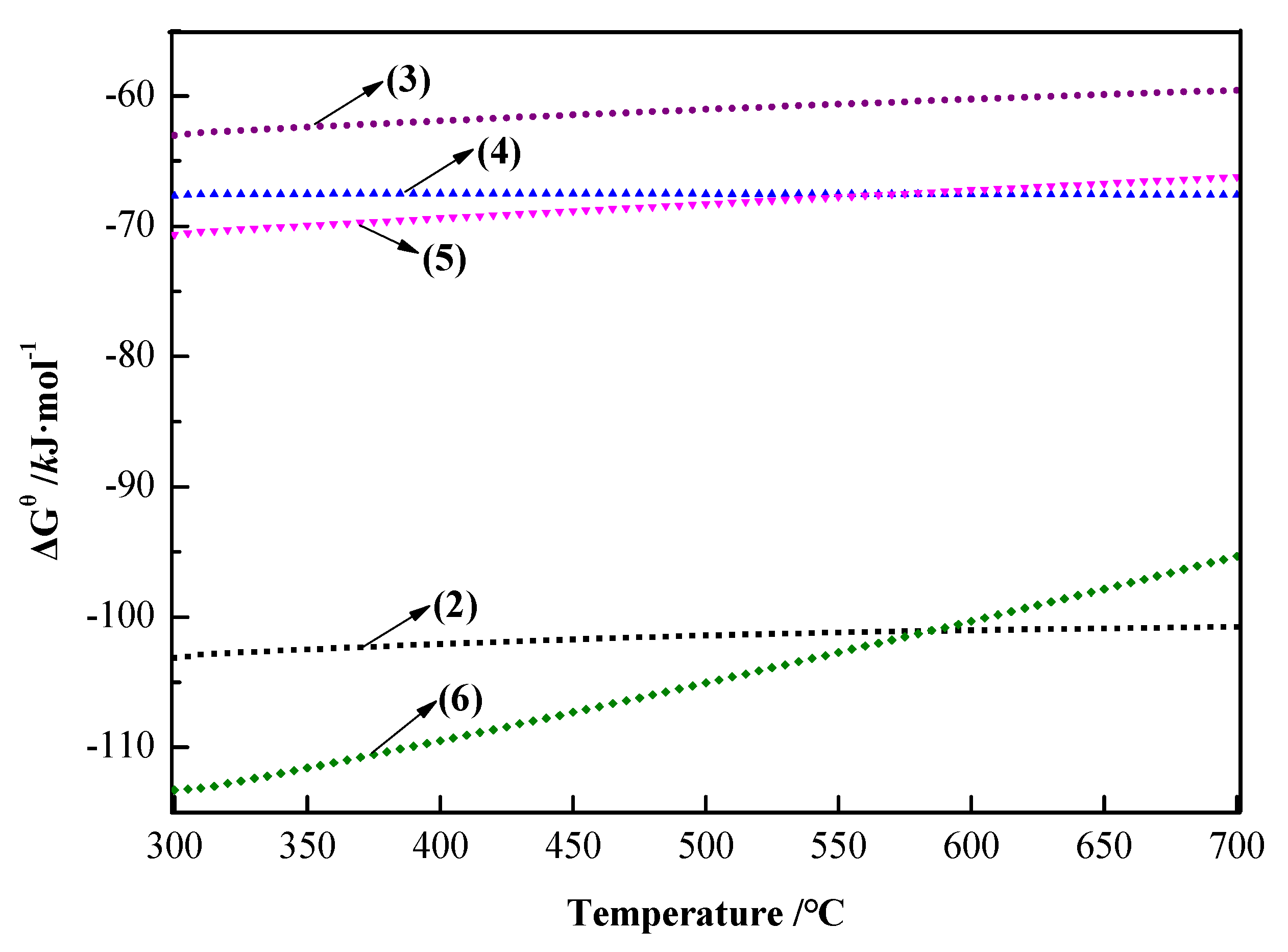
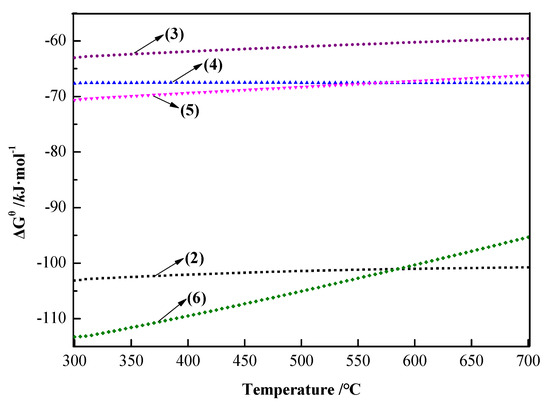
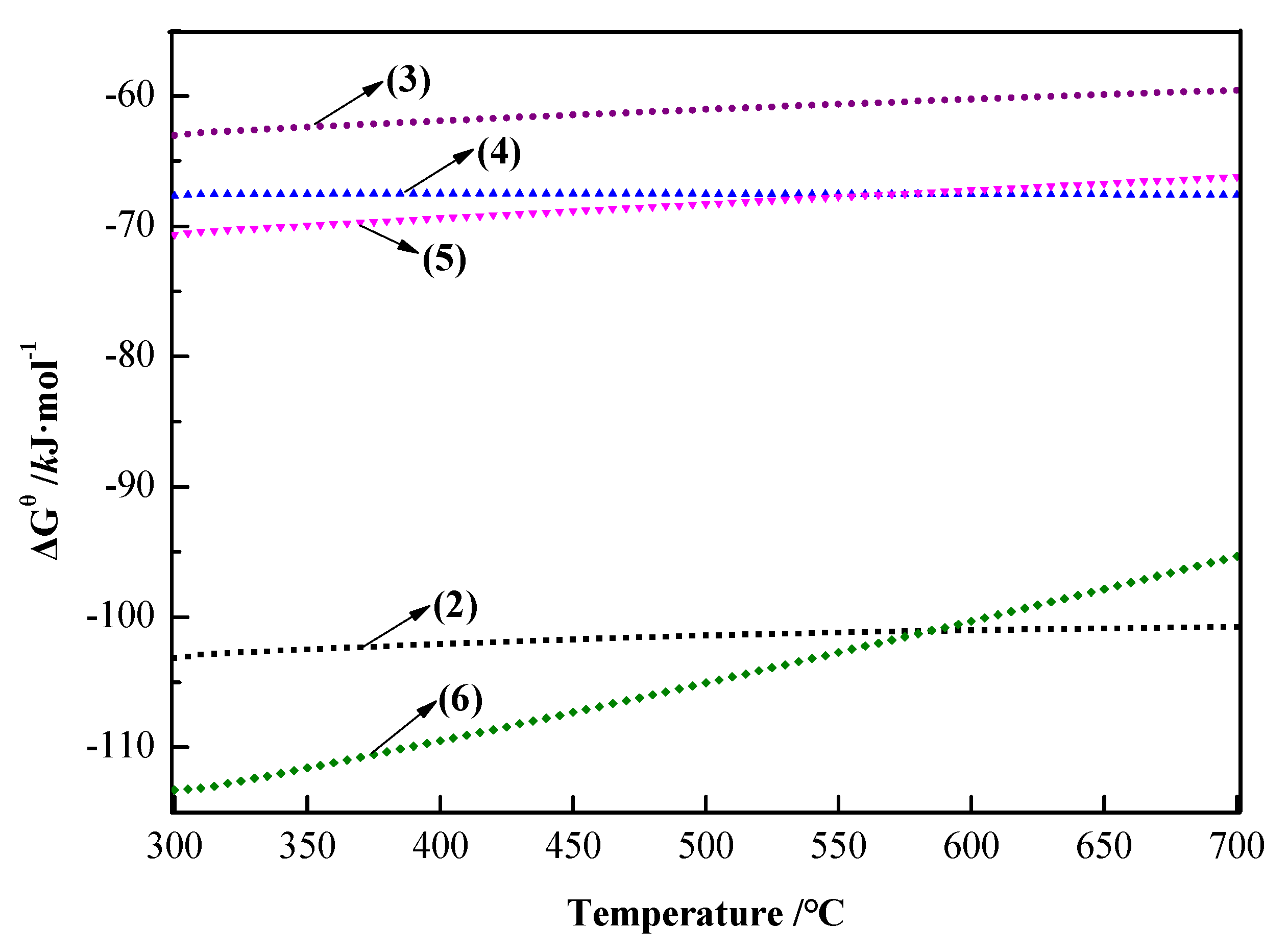
2.4. Thermodynamic Analysis
3. Experimental Results and Discussion
3.1. Influence of Temperature on the Experimental Results
3.2. Influence of Coke Powder Addition on the Experimental Results
3.3. Influence of the Roasting Time on the Experimental Results
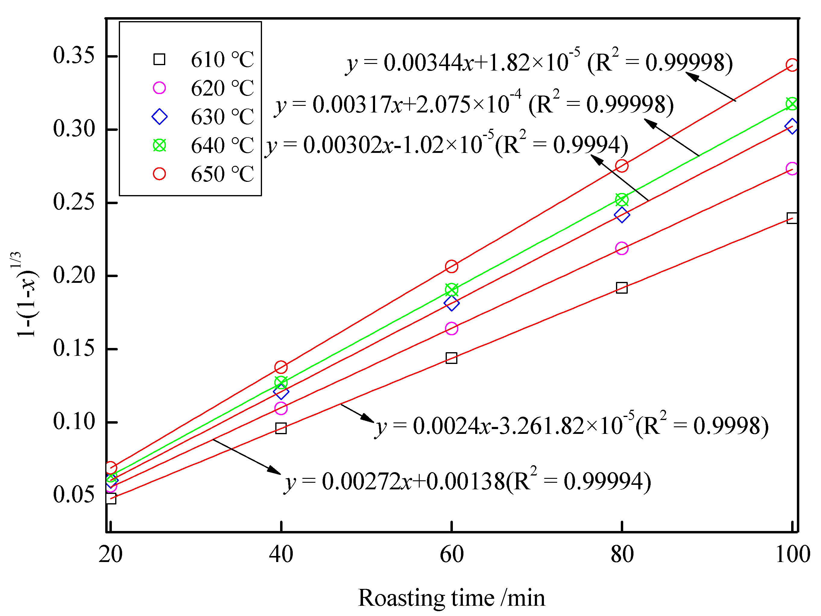
3.4. Kinetic Analysis of the Arsenic Volatilization Process
3.5. Mechanism Analysis of Arsenic Volatilization and Iron Magnetization
3.6. Products
4. Conclusions
- (1)
- Arsenic and iron in iron–arsenic precipitate can be recovered via the carbon thermal magnetization reduction method. Iron and arsenic were recovered in the form of Fe3O4 and As2O3 with a purity of 99.91 wt.%. The volatilization rate of arsenic was 97.45%. The content of arsenic in the precipitate was decreased to 0.60% under the conditions of a roasting temperature of 650 °C, coke powder addition of 25 wt.%, a roasting time of 180 min, and an argon flow rate of 10 L/min.
- (2)
- It was shown via kinetic experiments that the volatilization of arsenic was controlled by the chemical controlling step at 20–100 min, which switched to the diffusion controlling step at 120–180 min.
- (3)
- The reaction mechanism of arsenic and iron in carbon thermal magnetization reduction was as follows: During the early stage of the reaction, a large amount of FeAsO4 was decomposed into As2O3 and Fe3O4 and As2O3 was volatilized into dust. During the middle and late stages of the reaction, FeAsO4 was continuously decomposed and reduced, and the content of Fe3O4 was continuously increased until all iron was magnetized to generate Fe3O4, and the decomposed As2O3 volatilized into dust.
- (4)
- A small amount of arsenic reacted with CaO to generate Ca3(AsO4)2. This may be the reason why arsenic could not be removed completely. Future experimental studies are required to determine how to eliminate the generation of Ca3(AsO4)2 and realize the removal of arsenic completely.
Author Contributions
Funding
Institutional Review Board Statement
Informed Consent Statement
Data Availability Statement
Acknowledgments
Conflicts of Interest
References
- Nazari, A.M.; Radzinski, R.; Ghahreman, A. Review of arsenic metallurgy: Treatment of arsenical minerals and the immobilization of arsenic. Hydrometallurgy 2017, 174, 258–281. [Google Scholar] [CrossRef]
- Majzlan, J.; Drahota, P.; Filippi, M.; Grevel, K.; Kahl, W.; Plášil, j.; Boerio-Goates, J.; Woodfiedld, B.F. Thermodynamic properties of scorodite and parascorodite (FeAsO4·2H2O), kankite (FeAsO4·3.5H2O) and FeAsO4. Hydrometallurgy 2012, 117, 47–56. [Google Scholar] [CrossRef]
- Majzlan, J. Thermodynamic stabilization of hydrous ferric oxide by adsorption of phosphate and arsenate. Environ. Sci. Technol. 2011, 45, 4726–4732. [Google Scholar] [CrossRef] [PubMed]
- Gomez, M.A.; Assaaoudi, H.; Becze, L.; Cutler, J.N.; Demopoulos, G.P. Vibrational spectroscopy of hydrometallurgy produced (FeAsO4·2H2O), ferric arsenate sub-hydrate(FAsH: FeAsO4·0.75H2O) and basic ferric arsenate sulfate (BFAS:Fe[AsO4(1-x)(SO4)x(OH)x] ·wH2O). J. Raman. Spectrosc. 2010, 41, 212–221. [Google Scholar]
- Langmuir, D.; Mahoney, J.; Rowson, J. Solubility products of amorphous ferric arsenate and crystalline scorodite (FeAsO4·2H2O) and their application to arsenic behavior in buried mine tailings. Geochim. Cosmochim. Acta. 2006, 70, 2942–2956. [Google Scholar] [CrossRef]
- De Klerk, R.J.; Jia, Y.F.; Daenzer, R.; Gomez, M.A.; Demopoulos, G.P. Continuous circuit coprecipitation of arsenic (V) with ferric iron by lime neutralization: Process parameter effects on arsenic removal and precipitate quality. Hydrometallurgy 2012, 111, 65–72. [Google Scholar] [CrossRef]
- De Klerk, R.J.; Feldman, T.; Daenzer, R.; Demopoulos, G.P. Continuous circuit coprecipitation of arsenic (V) with ferric iron by lime neutralization: The effect of circuit staging, co-ions and equilibration pH on long-term arsenic retention. Hydrometallurgy 2015, 151, 42–45. [Google Scholar] [CrossRef]
- Zhao, Z.W.; Chai, L.Y.; Peng, B.; Liang, Y.Y.; He, Y.H.; Yan, Z.H. Arsenic vitrification by copper precipitate based glass: Mechanism and stability studies. J. Non-Cryst Solids 2017, 466–467, 21–28. [Google Scholar] [CrossRef]
- Xu, H.; Min, X.B.; Wang, Y.Y.; Ke, Y.; Yao, L.W.; Liu, D.G.; Chai, L.Y. Stabilization of arsenic sulfide sludge by hydrothermal treatment. Hydrometallurgy 2020, 191, 105–229. [Google Scholar] [CrossRef]
- Paktunc, D.; Bruggeman, K. Solubility of nanocrystalline scorodite and amorphous ferric arsenate: Implications for stabilization of arsenic in mine wastes. Appl. Geochem. 2010, 25, 674–683. [Google Scholar] [CrossRef]
- Ke, Y.; Chai, L.Y.; Min, X.B.; Tong, C.J.; Chen, J.; Wang, Y.; Liang, Y.J. Sulfidation of heavy-metal-containing neutralization sludge using zinc leaching residue as the sulfur source for metal recovery and stabilization. Miner. Eng. 2014, 61, 105–112. [Google Scholar] [CrossRef]
- Du, Y.; Xiao, H.X.; Lu, Q.; Du, D.Y. Using manganese precipitate to stabilize/solidify arsenic sulfide precipitate by moderate temperature calcination. Chin. J. Environ. Eng. 2017, 11, 1136–1140. (In Chinese) [Google Scholar]
- Chai, L.Y.; Yue, M.Q.; Li, Q.Z.; Zhang, G.S.; Zhang, M.X.; Wang, Q.W.; Liu, H.; Liu, Q.W. Enhanced stability of tooeleite by hydrothermal method for the fixation of arsenite. Hydrometallurgy 2018, 175, 93–101. [Google Scholar] [CrossRef]
- Viñals, J.; Sunyer, A.; Molera, P.; Cruells, M.; Llorca, N. Arsenic stabilization of calcium arsenate waste by hydrothermal precipitation of arsenical natroalunite. Hydrometallurgy 2010, 104, 247–259. [Google Scholar] [CrossRef]
- Ke, Y.; Chai, L.Y.; Min, X.B.; Tang, C.J.; Zhou, B.S.; Chen, J.; Yuan, C.Y. Behavior and effect of calcium during hydrothermal sulfidation and flotation of zinc-calcium-based neutralization sludge. Miner. Eng. 2015, 74, 68–78. [Google Scholar] [CrossRef]
- Chai, L.Y.; Ke, Y.; Min, X.B.; Min, X.B.; Zhou, B.S.; Xue, k.; Chen, j. Separation and recovery of ZnS from sulfidized neutralization sludge via the hydration conversion of CaSO4 into bulk CaSO4·2H2O crystals. Sep. Purif. Technol. Sep. Purif. Technol. 2015, 154, 76–81. [Google Scholar] [CrossRef]
- Liang, Y.J.; Min, X.B.; Chai, L.Y.; Wang, M.; Liyang, W.J.; Pan, Q.L.; Okido, M. Stabilization of arsenic sludge with mechanochemically modified zero valent iron. Chemosphere 2017, 168, 1142–1151. [Google Scholar] [CrossRef]
- Riveros, P.A.; Dutrizac, J.E.; Spencer, P. Arsenic disposal practices in the metallurgical industry. Can. Min. J. 2021, 40, 395–420. [Google Scholar] [CrossRef]
- Li, Y.K.; Zhu, X.; Qi, X.J.; Shu, B.; Zhang, X.; Li, K.Z.; Wei, Y.G.; Hao, F.Y.; Wang, H. Efficient removal of arsenic from copper smelting wastewater in form of scorodite using copper precipitate. J. Clean. Prod. 2020, 270, 1–12. [Google Scholar] [CrossRef]
- Bai, M.; Zheng, Y.J.; Liu, W.Y.; Zhang, C.F. Alkaline leaching and leaching kinetics of arsenic sulfide residue. J. Cent. South Univ. 2008, 39, 268–272. (In Chinese) [Google Scholar]
- Long, Y.; Yu, G.Y.; Dong, L.; Xu, Y.C.; Lin, H.J.; Deng, Y.; You, X.J.; Yang, L.N.; Liao, B.Q. Synergistic fouling behaviors and mechanisms of calcium ions and polyaluminum chloride associated with alginate solution in coagulation-ultrafiltration (UF) process. Water Res. 2021, 189, 116665–116676. [Google Scholar] [CrossRef] [PubMed]
- Yao, L.W.; Min, X.B.; Ke, Y.; Wang, Y.Y.; Liang, Y.J.; Yan, X.; Xu, H.; Fei, J.C.; Li, Y.C.; Liu, D.G.; et al. Release behaviors of arsenic and heavy metals from arsenic sulfide sludge during simulated storage. Minerals 2019, 9, 130–145. [Google Scholar] [CrossRef]
- Zhang, W.J.; Che, J.Y.; Wen, P.C.; Xia, L.; Ma, B.Z.; Chen, J.; Wang, C.Y. Co-treatment of copper smelting flue dust and arsenic sulfide residue by a pyrometallurgical approach for simultaneous removal and recovery of arsenic. J. Hazard. Mater. 2021, 416, 126149–126161. [Google Scholar] [CrossRef] [PubMed]
- Clancy, T.M.; Hayes, K.F.; Raskin, L. Arsenic waste management: A critical review of testing and disposal of arsenic-bearing solid wastes generated during arsenic removal from drinking water. Environ. Sci. Technol. 2013, 47, 10799–10812. [Google Scholar] [CrossRef] [PubMed]
- Lin, J.; Chen, N.; Pan, Y. Uptake mechanisms of arsenate in gypsum: Structural incorporation versus surface adsorption and implications for remediation of arsenic contamination. Geosci. Front. 2020, 27, 227–237. [Google Scholar]
- Zhang, W.F.; Lu, H.B.; Liu, F.; Wang, C.L.; Zhang, Z.H.; Zhang, J. Hydrothermal treatment of arsenic sulfide precipitate to immobilize arsenic into scorodite and recycle sulfur. J. Hazard. Mater. 2021, 406, 124735–124742. [Google Scholar] [CrossRef]
- Hu, H.J.; Qiu, K.Q. Three-step vacuum separation for treating arsenic sulphide residue. Vacuum. 2015, 111, 170–175. [Google Scholar] [CrossRef]
- Cheng, R.; Zhang, H.; Ni, H. Arsenic removal from arsenopyrite-bearing ore and arsenic recovery from ash by roasting method. Processe. 2019, 7, 754–765. [Google Scholar] [CrossRef]
- Yao, L.W.; Min, X.B.; Xu, H.; Ke, Y.; Liang, Y.J.; Yang, K. Hydrothermal treatment of arsenic sulfide residues from arsenic-bearing acid wastewater. Int. J. Environ. Res. Pub. Health 2018, 15, 1863. [Google Scholar] [CrossRef]
- Shahnazi, A.; Firoozi, S.; Fatmehsari, D.H. Selective leaching of arsenic from copper converter flue dust by Na2S and its stabilization with Fe2(SO4)3. T. Nonferr. Metal. Soc. 2020, 30, 1674–1686. [Google Scholar] [CrossRef]
- Gomez, M.A.; Becze, L.; Celikin, M.; Demopoulos, G.P. The effect of copper on theprecipitation of scorodite (FeAsO4.2H2O) under hydrothermal conditions: Evidencefor a hydrated copper containing ferric arsenate sulfate-short lived intermediate. J. Colloid Interface Sci. 2011, 360, 508–518. [Google Scholar] [CrossRef] [PubMed]
- Liu, D.G.; Min, X.B.; Ke, Y.; Chai, L.Y.; Liang, Y.J.; Li, Y.C.; Yao, L.W.; Wang, Z.B. Co-treatment of flotation waste, neutralization sludge, and arsenic-containing gypsum sludge from copper smelting: Solidification/stabilization of arsenic and heavy metals with minimal cement clinker. Environ. Sci. Pollut. R. 2018, 25, 7600–7607. [Google Scholar] [CrossRef] [PubMed]
- Li, Y.C.; Min, X.B.; Chai, L.Y.; Shi, M.Q.; Tang, C.J.; Wang, Q.W.; Liang, Y.J.; Lei, J.; Liyang, W.J. Co-treatment of gypsum sludge and Pb/Zn smelting precipitate for the solidification of sludge containing arsenic and heavy metals. J. Environ. Manag. 2016, 181, 756–761. [Google Scholar] [CrossRef] [PubMed]
- Lin, J.R.; Wiens, E.; Chen, N.; Nilges, M.J.; Chen, W.F.; Pan, Y.M. Electron paramagnetic resonance and synchrotron X-ray absorption spectroscopy for highly sensitive characterization of calcium arsenates. Environ. Sci. Technol. 2022, 56, 5563–5571. [Google Scholar] [CrossRef]
- Chau, B.; Witten, M.L.; Cromey, D.; Chen, Y.; Clark Lantz, R. Lung developmental is altered after inhalation exposure to various concentrations of calcium arsenate. Toxicol. Appl. Pharm. 2021, 432, 115754–115764. [Google Scholar] [CrossRef]
- Zhang, D.N.; Wang, S.F.; Wang, Y.; Gomez, M.A.; Jia, Y.F. The long-term stability of calcium arsenates: Implications for phase transformation and arsenic mobilization. J. Environ. Sci. 2019, 84, 29–41. [Google Scholar] [CrossRef]
- Miao, E.D.; Du, Y.; Wang, H.Y.; Zheng, X.F.; Xiong, Z.; Zhao, Y.C.; Zhang, J.Y. Evaluation of the kinetics of direct aqueous mineral carbonation of wood combustion ash using modified shrinking core models. Environ. Sci. Pollut. R 2022. [Google Scholar] [CrossRef]
- Li, X.P.; Liu, D.C.; Wang, J. Selective removal of arsenic from arsenic-containing copper dust by low temperature carbothermal reduction. Sep. Sci. Technol. 2020, 55, 88–97. [Google Scholar] [CrossRef]
- Zhang, F.Y.; Wang, X.L.; Wang, B.; Lou, X.; Lipinski, W. Experimental and numerical analysis of CO2 and CH4 hydrate formation kinetics in microparticles: A comparative study based on shrinking core model. Chem. Eng. J. 2022, 446, 137247–137258. [Google Scholar] [CrossRef]
- Wu, J.J.; Junmo, A.; Jaeheon, L. Kinetic and mechanism studies using shrinking core model for copper leaching from chalcopyrite in methanesulfonic acid with hydrogen peroxide. Min. Proc. Ext. Met. Rev. 2021, 42, 38–45. [Google Scholar] [CrossRef]



















| As | Fe | Ca | Si | Cu | O |
|---|---|---|---|---|---|
| 33.25 | 27.79 | 5.28 | 0.53 | 0.04 | 33.11 |
| Controlling Steps | Kinetic Equations |
|---|---|
| Chemical reaction control | 1 − (1 − x)1/3 = krt |
| Diffusion control | 1 − 2/3x − (1 − x)2/3 = kdt |
| Hybrid control | 1 − (1 − x) 1/3 − 1/3ln(1 − x) = kmt |
| Type of Products | Fe | As | Ca | Si | Cu | O |
|---|---|---|---|---|---|---|
| Roasted precipitate | 71.08 | 0.60 | 0.98 | 0.12 | 0.10 | 27.11 |
| Dust | - | 75.69 | 0.04 | 0.05 | - | 24.22 |
Disclaimer/Publisher’s Note: The statements, opinions and data contained in all publications are solely those of the individual author(s) and contributor(s) and not of MDPI and/or the editor(s). MDPI and/or the editor(s) disclaim responsibility for any injury to people or property resulting from any ideas, methods, instructions or products referred to in the content. |
© 2023 by the authors. Licensee MDPI, Basel, Switzerland. This article is an open access article distributed under the terms and conditions of the Creative Commons Attribution (CC BY) license (https://creativecommons.org/licenses/by/4.0/).
Share and Cite
Li, X.; Liu, D.; Wang, J.; Chang, J.; Wang, Z. Experimental Study on the Recovery of Arsenic and Iron from Arsenic–Iron Precipitate by Carbon Thermal Magnetization Reduction. Metals 2023, 13, 407. https://doi.org/10.3390/met13020407
Li X, Liu D, Wang J, Chang J, Wang Z. Experimental Study on the Recovery of Arsenic and Iron from Arsenic–Iron Precipitate by Carbon Thermal Magnetization Reduction. Metals. 2023; 13(2):407. https://doi.org/10.3390/met13020407
Chicago/Turabian StyleLi, Xuepeng, Dachun Liu, Juan Wang, Jun Chang, and Ziyang Wang. 2023. "Experimental Study on the Recovery of Arsenic and Iron from Arsenic–Iron Precipitate by Carbon Thermal Magnetization Reduction" Metals 13, no. 2: 407. https://doi.org/10.3390/met13020407
APA StyleLi, X., Liu, D., Wang, J., Chang, J., & Wang, Z. (2023). Experimental Study on the Recovery of Arsenic and Iron from Arsenic–Iron Precipitate by Carbon Thermal Magnetization Reduction. Metals, 13(2), 407. https://doi.org/10.3390/met13020407
