Novel Characterizations of Effective SIFs and Fatigue Crack Propagation Rate of Welded Rail Steel Using DIC
Abstract
1. Introduction
2. Materials and Experimental Procedure
3. Results and Discussion
3.1. Determination of Crack-Tip Position
3.1.1. Determination of the y-Coordinate of the Crack Tip
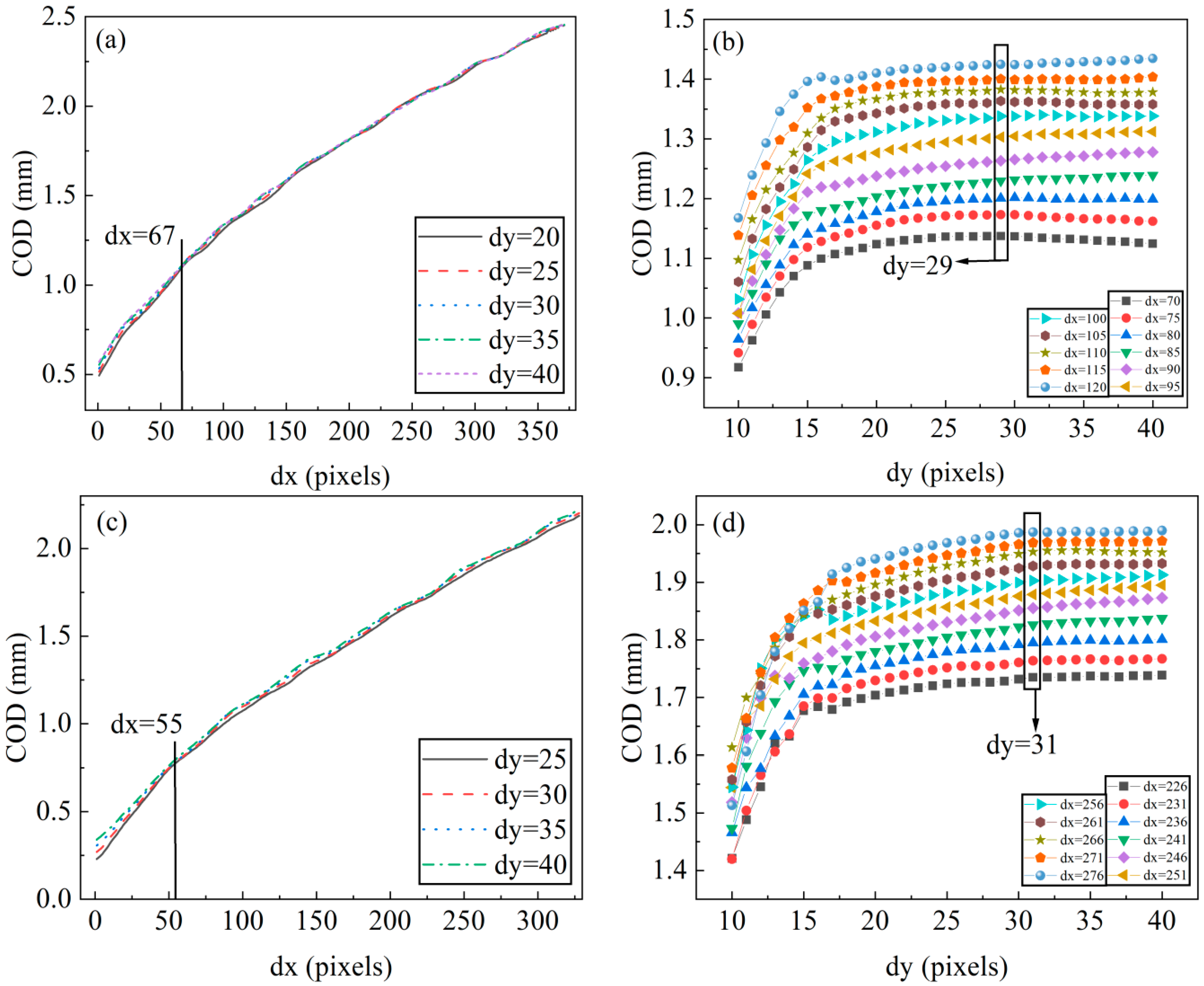
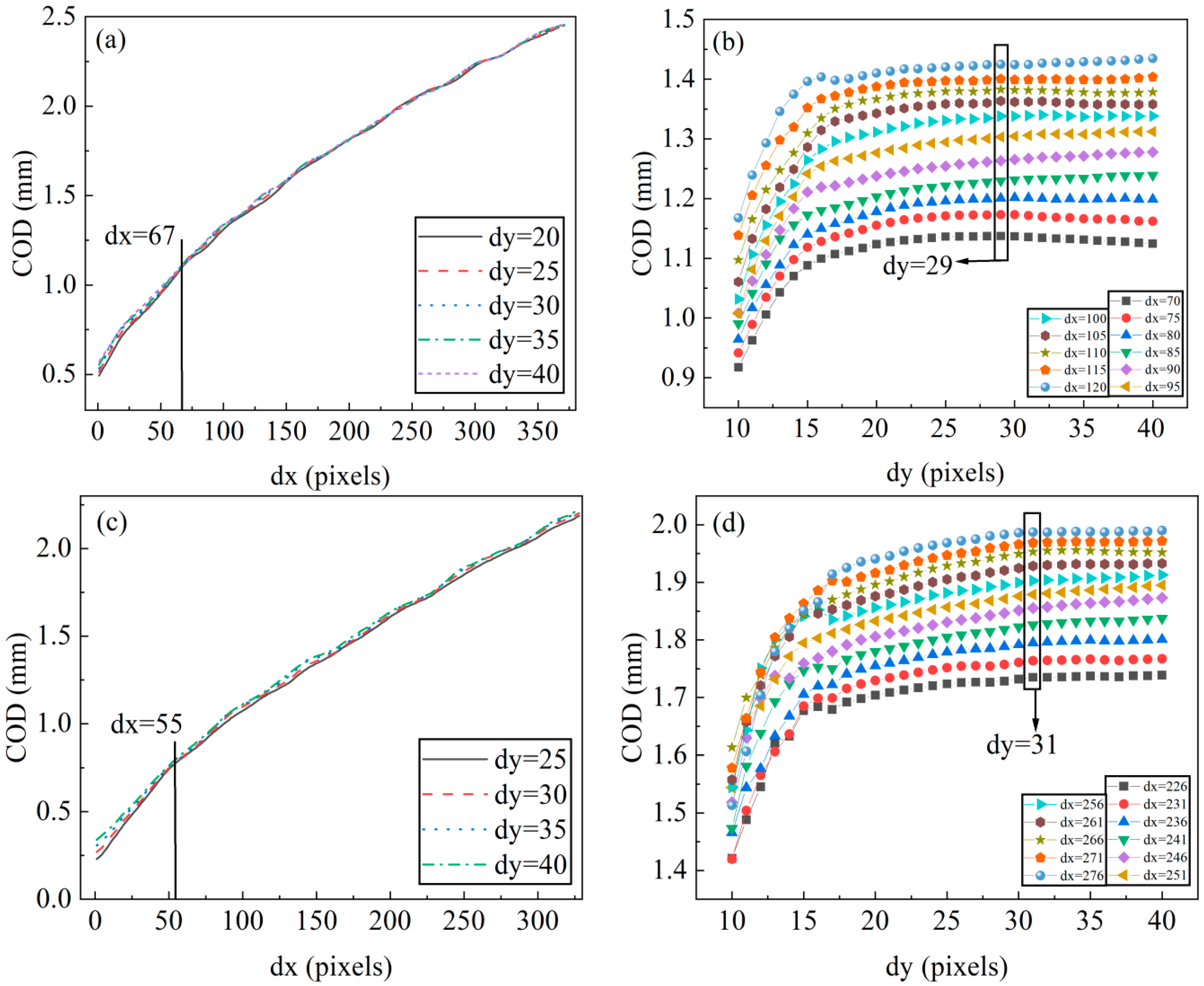
3.1.2. Determination of the x-Coordinate of the Crack Tip
3.2. Determination of CTOD
3.3. Characterization of Effective SIFs
4. Conclusions
- (1)
- A new method for determining crack-tip coordinates is proposed. That is, the y-coordinate of the crack tip is obtained by the relationship between the vertical displacement and the y-coordinate, the plastic zone of the crack tip is obtained by converting the DIC data, the rp value of the plastic zone dimension is calculated according to the Irwin formula, and the x-coordinate is determined by combining the already determined y-coordinate of the crack tip, the rp value, and the plastic zone profile.
- (2)
- The precise locations of the respective CTOD measurement points for the base material and the joint were determined from the COD data, and the ΔCTODs during loading and unloading of the overloaded specimens were extracted accordingly, and the ΔCTODpl and ΔCTODel were successfully calculated, which can provide some reference for the precise determination of the plastic CTOD for fatigue crack propagation of the material.
- (3)
- The crack opening force Fopen was extracted based on the COD data obtained from the DIC test. Then, the method for calculating the amplitude of the effective stress-intensity factor for fatigue crack propagation, which considers the crack-tip plasticity-induced crack closure effect, was proposed based on the Elber theory. The crack growth-rate curves were fitted based on the conventional Paris formula and the Elber formula by considering the crack closure effect, and it was found that the crack-tip plasticity-induced crack closure effect only had an effect on parameter c, and had no significant effect on parameter m.
Author Contributions
Funding
Data Availability Statement
Conflicts of Interest
Nomenclature
References
- Paris, P.; Erdogan, F. A critical analysis of crack propagation laws. J. Bas. Engng. 1963, 85, 528–534. [Google Scholar] [CrossRef]
- Elber, W. The Significance of Fatigue Crack Closure; American Society for Testing and Materials: West Conshohocken, PA, USA, 1971; pp. 230–242. [Google Scholar]
- Camas, D.; Garcia-Manrique, J.; Perez-Garcia, F.; Gonzalez-Herrera, A. Numerical modeling of three-dimensional fatigue crack closure: Plastic wake simulation. Int. J. Fatigue 2020, 131, 105344. [Google Scholar] [CrossRef]
- Song, X.X.; Shang, Y.B.; Shi, H.J.; Niu, L.S.; Wang, Z.X. Plastic mismatch effect on plasticity induced crack closure: Fatigue crack propagation perpendicularly across a plastically mismatched interface. Fatigue Fract. Eng. Mater. Struct. 2019, 42, 597–611. [Google Scholar] [CrossRef]
- Masuda, K.; Ishihara, S. Experimental and numerical simulation study of plasticity-induced and roughness-induced fatigue crack closure. Prog. Adv. Mater. Res. 2014, 891, 307–312. [Google Scholar] [CrossRef]
- Yoneyama, S.; Ogawa, T.; Kobayashi, Y. Evaluating mixed-mode stress intensity factors from full-field displacement fields obtained by optical methods. Eng. Fract. Mech. 2007, 74, 1399–1412. [Google Scholar] [CrossRef]
- Vasco-Olmo, J.M.; James, M.N.; Christopher, C.J.; Patterson, E.A.; Díaz, F.A. Assessment of crack tip plastic zone size and shape and its influence on crack tip shielding. Fatigue Fract. Eng. Mater. Struct. 2016, 39, 969–981. [Google Scholar] [CrossRef]
- Yusof, F.; Lopez-Crespo, P.; Withers, P.J. Effect of overload on crack closure in thick and thin specimens via digital image correlation. Int. J. Fatigue 2013, 56, 17–24. [Google Scholar] [CrossRef]
- Mokhtarishirazabad, M.; Lopez-Crespo, P.; Moreno, B.; Lopez-Moreno, A.; Zanganeh, M. Evaluation of crack-tip fields from DIC data: A parametric study. Int. J. Fatigue 2016, 89, 11–19. [Google Scholar] [CrossRef]
- Avtaev, V.V.; Yakovlev, N.O. Digital image correlation method study of the static fracture toughness and the fracture strength of a thin-sheet aluminum alloy. Russ. Metall. 2020, 2020, 1207–1212. [Google Scholar] [CrossRef]
- Vasco-Olmo, J.M.; Díaz, F.A.; Antunes, F.V.; James, M.N. Experimental evaluation of CTOD in constant amplitude fatigue crack growth from crack tip displacement fields. Frat. Integrita Strut. 2017, 11, 157–165. [Google Scholar] [CrossRef]
- Vasco-Olmo, J.M.; Díaz, F.A.; Antunes, F.V.; James, M.N. Characterisation of fatigue crack growth using digital image correlation measurements of plastic CTOD. Theor. Appl. Fract. Mech. 2019, 101, 332–341. [Google Scholar] [CrossRef]
- Vasco-Olmo, J.M.; Diaz Garrido, F.A.; Antunes, F.V.; James, M.N. Plastic CTOD as fatigue crack growth characterising parameter in 2024-T3 and 7050-T6 aluminium alloys using DIC. Fatigue Fract. Eng. Mater. Struct. 2020, 43, 1719–1730. [Google Scholar] [CrossRef]
- Gao, H.L.; Zhang, Z.N.; Jiang, W.; Zhu, K.Y.; Gong, A. Deformation fields measurement of crack tip under high-frequency resonant loading using a novel hybrid image processing method. Shock Vib. 2018, 2018, 1928926. [Google Scholar] [CrossRef]
- Khor, W.; Moore, P.L.; Pisarski, H.G.; Haslett, M.; Brown, C.J. Measurement and prediction of CTOD in austenitic stainless steel. Fatigue Fract. Eng. Mater. Struct. 2016, 39, 1433–1442. [Google Scholar] [CrossRef]
- Schwalbe, K.H. Introduction of δ5 as an operational definition of the CTOD and its practical use. Int. J. Fract. Mech. 1995, 1256, 763–778. [Google Scholar]
- Wells, A.A. Unstable crack propagation in metals: Cleavage and fast fracture. In Proceedings of the Crack Propagation Symposium, Cranfield, UK, 26–28 September 1961; Volume 2, pp. 210–230. [Google Scholar]
- Samadian, K.; Hertelé, S.; De Waele, W. Measurement of CTOD along a surface crack by means of digital image correlation. Eng. Fract. Mech. 2019, 205, 470–485. [Google Scholar] [CrossRef]
- Ktari, A.; Baccar, M.; Shah, M.; Haddar, N.; Ayedi, H.F.; Rezai-Aria, F. A crack propagation criterion based on ΔCTOD measured with 2D-digital image correlation technique. Fatigue Fract. Eng. Mater. Struct. 2014, 37, 682–694. [Google Scholar] [CrossRef]
- Marques, B.; Borges, M.F.; Antunes, F.V.; Vasco-Olmo, J.M.; Díaz, F.A.; James, M.N. Limitations of small-scale yielding for fatigue crack growth. Eng. Fract. Mech. 2021, 252, 107806. [Google Scholar] [CrossRef]
- André Prates, P.; Eusébio Marques, A.; Frias Borges, M.; Madeira Branco, R.; Antunes, F.V. Numerical study on the variability of plastic CTOD. Materials 2020, 13, 1276. [Google Scholar] [CrossRef]
- Stoychev, S.; Kujawski, D. Methods for crack opening load and crack tip shielding determination: A review. Fatigue Fract. Eng. Mater. Struct. 2003, 26, 1053–1067. [Google Scholar] [CrossRef]
- Xu, Y.; Gregson, P.J.; Sinclair, I. Systematic assessment and validation of compliance-based crack closure measurements in fatigue. Mater. Sci. Eng. Proc. Conf. 2000, 284, 114–125. [Google Scholar] [CrossRef]
- Riddell, W.T.; Piascik, R.S.; Sutton, M.A.; Zhao, W.; McNeill, S.R.; Helm, J.D. Determining fatigue crack opening loads from near-crack tip displacement measurements. ASTM Spec. Tech. Publ. 1999, 1343, 157–174. [Google Scholar]
- Donald, J.K. Introducing the compliance ratio concept for determining effective stress intensity. Int. J. Fatigue 1997, 93, 191–195. [Google Scholar] [CrossRef]
- Wolf, E. Fatigue crack closure under cyclic tension. Eng. Fract. Mech. 1970, 2, 37–45. [Google Scholar] [CrossRef]
- Sarma, V.S.; Jaeger, G.; Koethe, A. On the comparision of crack closure evaluation using dynamic and static compliance measurements. Int. J. Fatigue 2001, 23, 741–745. [Google Scholar] [CrossRef]
- Oh, C.S.; Earmme, Y.Y.; Song, J.H. Automated real-time measurements of fatigue crack length and crack opening load using unloading elastic compliance method. Int. J. Fatigue 1997, 19, 169–176. [Google Scholar] [CrossRef]
- Kim, C.Y.; Song, J.H. An automated procedure for determining crack opening level from differential displacement signal data. Int. J. Fatigue 1993, 15, 301–309. [Google Scholar] [CrossRef]
- Yisheng, W.; Schijve, J. Fatigue crack closure measurements on 2024-T3 sheet specimens. Fatigue Fract. Eng. Mater. Struct. 1995, 18, 917–921. [Google Scholar] [CrossRef]
- Jiang, X.; Li, X.; Li, X.; Cao, S. Rail fatigue crack propagation in high-speed wheel/rail rolling contact. J. Mod. Transp. 2017, 25, 178–184. [Google Scholar] [CrossRef]
- Zhong, W.; Hu, J.J.; Li, Z.B.; Liu, Q.Y.; Zhou, Z.R. A study of rolling contact fatigue crack growth in U75V and U71Mn rails. Wear 2011, 271, 388–392. [Google Scholar] [CrossRef]
- Tada, H.; Paris, P.C.; Irwin, G.R. The stress analysis of cracks. Handb. Res. Corp. 1973, 34, 635. [Google Scholar]
- Vasco-Olmo, J.M.; Diaz, F.A.; James, M.N.; Yang, B. Crack tip plastic zone evolution during an overload cycle and the contribution of plasticity-induced shielding to crack growth rate changes. Fatigue Fract. Eng. Mater. Struct. 2018, 41, 2172–2186. [Google Scholar] [CrossRef]
- Irwin, G.R. Plastic zone near a crack and fracture toughness. In Proceedings of the 7th Sagamore Ordnance Materials Research Conference, Syracuse University Research Institute, Syracuse, Italy, 16–19 August 1960; pp. 63–78. [Google Scholar]













| Specimen Number | Specimen Position | Experimental Conditions |
|---|---|---|
| B1 | Rail head of base metal | Constant amplitude tests |
| B2 | Rail waist of base metal | |
| B3 | Rail bottom of base metal | |
| W1 | Welded rail head | |
| W2 | Welded rail waist | |
| W3 | Welded rail bottom | |
| W4 | Welded rail head | Overload test |
| Base Metals | Welded Joints | |
|---|---|---|
| Elastic modulus (GPa) | 210 | 206 |
| Poisson’s ratio | 0.3 | 0.3 |
| Yield strength (MPa) | 552 | 608 |
| B1 | B2 | B3 | W1 | W2 | W3 | |
|---|---|---|---|---|---|---|
| Value c by fitting Paris law | 2.808 × 10−19 | 1.067 × 10−15 | 6.964 × 10−13 | 1.892 × 10−16 | 1.925 × 10−17 | 2.311 × 10−13 |
| Value m by fitting Paris law | 4.811 | 4.272 | 2.713 | 3.897 | 4.219 | 2.855 |
| Value c by modified fitting | 9.285 ×10−19 | 1.632 × 10−15 | 8.158 × 10−13 | 2.409 × 10−16 | 3.147 × 10−17 | 3.223 × 10−13 |
| Value m by modified fitting | 4.811 | 4.272 | 2.713 | 3.897 | 4.219 | 2.855 |
Disclaimer/Publisher’s Note: The statements, opinions and data contained in all publications are solely those of the individual author(s) and contributor(s) and not of MDPI and/or the editor(s). MDPI and/or the editor(s) disclaim responsibility for any injury to people or property resulting from any ideas, methods, instructions or products referred to in the content. |
© 2023 by the authors. Licensee MDPI, Basel, Switzerland. This article is an open access article distributed under the terms and conditions of the Creative Commons Attribution (CC BY) license (https://creativecommons.org/licenses/by/4.0/).
Share and Cite
Fang, X.-Y.; Gong, J.-E.; Huang, W.; Wu, J.-H.; Ding, J.-J. Novel Characterizations of Effective SIFs and Fatigue Crack Propagation Rate of Welded Rail Steel Using DIC. Metals 2023, 13, 227. https://doi.org/10.3390/met13020227
Fang X-Y, Gong J-E, Huang W, Wu J-H, Ding J-J. Novel Characterizations of Effective SIFs and Fatigue Crack Propagation Rate of Welded Rail Steel Using DIC. Metals. 2023; 13(2):227. https://doi.org/10.3390/met13020227
Chicago/Turabian StyleFang, Xiu-Yang, Jian-En Gong, Wei Huang, Jia-Hong Wu, and Jun-Jun Ding. 2023. "Novel Characterizations of Effective SIFs and Fatigue Crack Propagation Rate of Welded Rail Steel Using DIC" Metals 13, no. 2: 227. https://doi.org/10.3390/met13020227
APA StyleFang, X.-Y., Gong, J.-E., Huang, W., Wu, J.-H., & Ding, J.-J. (2023). Novel Characterizations of Effective SIFs and Fatigue Crack Propagation Rate of Welded Rail Steel Using DIC. Metals, 13(2), 227. https://doi.org/10.3390/met13020227
