Study on the Effect of Pulse Waveform Parameters on Droplet Transition, Dynamic Behavior of Weld Pool, and Weld Microstructure in P-GMAW
Abstract
1. Introduction
- (1)
- Existing studies have analyzed the influence of current waveforms on droplet transition behavior. However, there is no quantitative analysis of the heat input and impact of arc and droplet transition acting on the weld pool surface, so the differences in heat and force effects on the weld pool under different current waveforms cannot be quantitatively compared.
- (2)
- The influence of P-GMAW current waveform on weld pool oscillation behavior, the solidification process of weld pool, and weld microstructure are rarely studied and reported systematically.
2. Materials and Methods
3. Results and Discussion
3.1. Effect of Current Waveform on Heat and Force Acting on Welding Pool
3.1.1. Effect of Ip on Heat and Force Acting on Welding Pool
3.1.2. Effect of Waveform Shape on Heat and Force Acting on Welding Pool
3.2. Effect of Current Waveform on the Welding Pool Dynamic Behavior and Microstructure
3.2.1. Effect of Current Waveform on the Dynamic Behavior of Welding Pool
3.2.2. Effect of Current Waveform on the Solidification Process and Weld Microstructure
4. Conclusions
- (1)
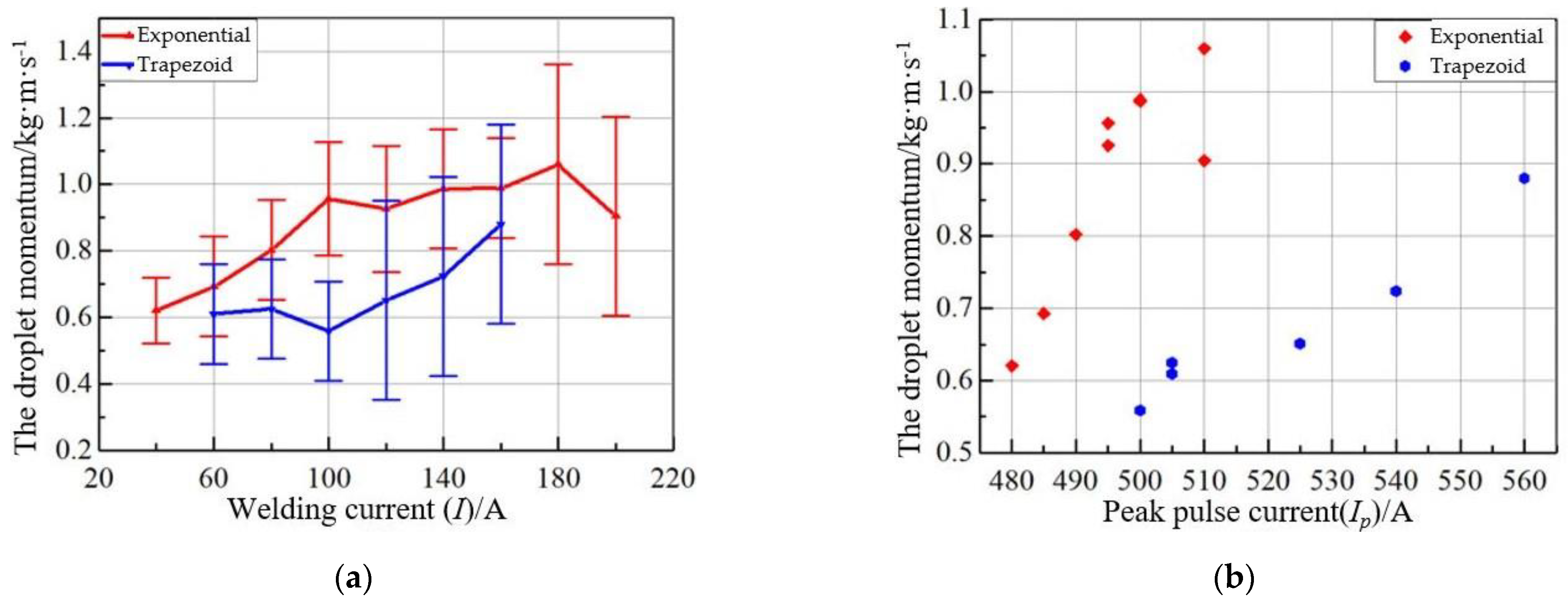
- The arc pressure is positively correlated with the Ip. The extrusion of electromagnetic contraction force affects the droplet transition process and the impact of charged particles in the arc space. The droplet velocity and momentum are positively correlated with the peak pulse current.
- (2)
- The change of pulse waveform shape does not affect the peak pressure of the arc with the same pulse waveform parameters. Compared with the exponential pulse, the trapezoidal current pulse droplet has a shorter time to detach from the welding wire. The droplet is faster and has apparent deformation, leading to a more significant impact on the welding pool with the same parameter conditions.
- (3)
- The welding pool’s convection intensity and weld depth are positively correlated with the impact of the arc and droplet. The liquid convection reduces the temperature gradient of the welding pool, intensifies the component supercooling, and significantly changes the growth orientation of the primary austenite phase. The stronger the impact, the higher the proportion of PF phase in the weld microstructure, the larger the grain size of the PF phase and AF phase, and the intersection degree of adjacent PF phase dendrites increases.
Author Contributions
Funding
Data Availability Statement
Conflicts of Interest
References
- Richards, R.W.; Jones, R.D.; Clements, P.D.; Clarke, H. Metallurgy of continuous hot dip aluminizing. Int. Mater. Rev. 2013, 39, 13–19. [Google Scholar]
- Kah, P.; Suoranta, R.; Martikainen, J. Advanced gas metal arc welding processes. Int. J. Adv. Manuf. Technol. 2013, 67, 655–674. [Google Scholar] [CrossRef]
- Fan, H.G.; Kovacevic, R. A unified model of transport phenomena in gas metal arc welding including electrode, arc plasma and molten pool. J. Phys. D Appl. Phys. 2004, 37, 2531. [Google Scholar] [CrossRef]
- Min, H.C.; Fa Rson, D.F. Understanding Bead Hump Formation in Gas Metal Arc Welding Using a Numerical Simulation. Metall. Mater. Trans. B 2007, 38, 305–319. [Google Scholar]
- David, S.A.; Vitek, J.M. Correlation between solidification parameters and weld microstructures. Metall. Rev. 2013, 34, 213–245. [Google Scholar] [CrossRef]
- Guo, J.; Zhou, Y.; Liu, C.; Wu, Q.; Chen, X.; Lu, J. Wire Arc Additive Manufacturing of AZ31 Magnesium Alloy: Grain Refinement by Adjusting Pulse Frequency. Materials 2016, 9, 823. [Google Scholar] [CrossRef]
- Jolanta, M.; Tomasz, P. The research of technological and environmental conditions during low-energetic gas-shielded metal arc welding of aluminium alloys. Weld. Int. 2013, 5, 338–344. [Google Scholar]
- Liu, A.; Tang, X.; Lu, F. Study on welding process and prosperities of AA5754 Al-alloy welded by double pulsed gas metal arc welding. Mater. Des. 2013, 50, 149–155. [Google Scholar] [CrossRef]
- Scotti, A.; Rodrigues, C. Determination of momentum as a mean of quantifying the mechanical energy delivered by droplets during MIG/MAG welding. Eur. Phys. J. Appl. Phys. 2009, 45, 11201. [Google Scholar] [CrossRef]
- Depth of penetration in gas metal arc welding. Sci. Technol. Weld. Join. 1999, 4, 111–118.
- Hussain, H.M.; Ghosh, P.K.; Gupta, P.C.; Potluri, N.B. Fatigue crack growth properties of pulse current multipass mig-weld of al-zn-mg alloy. Trans. Indian Inst. Met. 1997, 50, 275–285. [Google Scholar]
- Ghosh, P.K.; Yongyuth, P.; Gupta, P.C. Two-Dimensional Spatial Geometric Solution for Estimating the Macroconstituents Affecting the Mechanical Properties of Mulitpass C-Mn Steel SAW Deposits. Isij Int. 2007, 35, 63–70. [Google Scholar] [CrossRef]
- Cong, B.Q.; Yang, M.X.; Qi, B.J.; Li, W. Effects of pulse parameters on arc characteristics and weld penetration in hybrid pulse VP-GTAW of aluminum alloy. China Weld. 2010, 19, 68–73. [Google Scholar]
- Pal, K.; Pal, S.K. Effect of pulse parameters on weld quality. J. Mater. Eng. Perform. 2011, 20, 918–931. [Google Scholar] [CrossRef]
- Greene, W.J. An analysis of transfer in gas-shielded welding arcs. Trans. Am. Inst. Electr. Eng. Part II Appl. Ind. 1960, 79, 194–203. [Google Scholar]
- Arif, N.; Lee, J.H.; Yoo, C.D. Modelling of globular transfer considering momentum flux in GMAW. J. Phys. D Appl. Phys. 2008, 41, 195503. [Google Scholar] [CrossRef]
- Lancaster, J.F. The physics of fusion welding. Part 1: The electric arc in welding. IEE Proc. B. Electr. Power Appl. 2008, 134, 233–254. [Google Scholar] [CrossRef]
- Yudodibroto, M.; Hermans, M. Observations on Droplet and Arc Behavior during Pulsed GMAW. Weld. World 2009, 53, 171–180. [Google Scholar] [CrossRef]
- Wu, C.S.; Chen, M.A.; Lu, Y.F. Effect of current waveforms on metal transfer in pulsed gas metal arc welding. Meas. Sci. Technol. 2005, 16, 2459. [Google Scholar] [CrossRef]
- Hertel, M.; Spille-Kohoff, A.; Füssel, U.; Schnick, M. Numerical simulation of droplet detachment in pulsed gas–metal arc welding including the influence of metal vapour. J. Phys. D Appl. Phys. 2013, 46, 224003. [Google Scholar] [CrossRef]
- Hu, J.; Tsai, H.L. Heat and mass transfer in gas metal arc welding. Part I: The arc. Int. J. Heat Mass Transf. 2007, 50, 833–846. [Google Scholar] [CrossRef]
- Hu, J.; Tsai, H.L. Heat and mass transfer in gas metal arc welding. Part II: The metal. Int. J. Heat Mass Transf. 2007, 50, 808–820. [Google Scholar] [CrossRef]
- Haidar, J. The dynamic effects of metal vapour in gas metal arc welding. J. Phys. D Appl. Phys. 2010, 43, 165204. [Google Scholar] [CrossRef]
- Rouffet, M.E.; Wendt, M.; Goett, G.; Kozakov, R.; Schoepp, H.; Weltmann, K.D.; Uhrlandt, D. Spectroscopic investigation of the high-current phase of a pulsed GMAW process. J. Phys. D Appl. Phys. 2011, 43, 434003. [Google Scholar] [CrossRef]
- Ahsan, M.R.; Cheepu, M.; Ashiri, R.; Kim, T.H.; Jeong, C.; Park, Y.D. Mechanisms of weld pool flow and slag formation location in cold metal transfer (CMT) gas metal arc welding (GMAW). Weld. World 2017, 61, 1275–1285. [Google Scholar] [CrossRef]
- Sen, M.; Mukherjee, M.; Singh, S.K.; Pal, T.K. Effect of Double-Pulsed Gas Metal Arc Welding (DP-GMAW) Process Variables on Microstructural Constituents and Hardness of Low Carbon Steel Weld Deposits. J. Manuf. Process. 2017, 31, 424–439. [Google Scholar] [CrossRef]
- Yuan, T.; Luo, Z.; Kou, S. Grain refining of magnesium welds by arc oscillation. Acta Mater. 2016, 116, 166–176. [Google Scholar] [CrossRef]
- Ghosh, P.K.; Dorn, L.; Hübner, M.; Goyal, V.K. Arc characteristics and behaviour of metal transfer in pulsed current GMA welding of aluminium alloy. J. Mater. Process. Technol. 2007, 194, 163–175. [Google Scholar] [CrossRef]


























| Waveform | I/A | Ip/A | Ib/A | |
|---|---|---|---|---|
| 1 | Trapezoidal type | 60 | 485–525 | 20 |
| 2 | Exponential type | 100 | 500 | 20 |
| 3 | Trapezoidal type | 40–200 | Set automatically | |
| 4 | Exponential type | 60–180 | Set automatically | |
| Waveform | I/A | V/cm·min−1 | Ip/A | J mm−1 | K s−1 | R/mm s−1 | Gs/K·mm−1 |
|---|---|---|---|---|---|---|---|
| Trapezoidal type | 60 | 25 | 485 | 312.3 | 150.7 | 4.1 | 37.2 |
| 60 | 25 | 525 | 310.9 | 152.1 | 4.1 | 36.5 | |
| 100 | 38.5 | 500 | 345.6 | 128.8 | 6.4 | 20.1 | |
| Exponential type | 100 | 38.5 | 500 | 338.1 | 129.8 | 6.4 | 20.3 |
Disclaimer/Publisher’s Note: The statements, opinions and data contained in all publications are solely those of the individual author(s) and contributor(s) and not of MDPI and/or the editor(s). MDPI and/or the editor(s) disclaim responsibility for any injury to people or property resulting from any ideas, methods, instructions or products referred to in the content. |
© 2023 by the authors. Licensee MDPI, Basel, Switzerland. This article is an open access article distributed under the terms and conditions of the Creative Commons Attribution (CC BY) license (https://creativecommons.org/licenses/by/4.0/).
Share and Cite
Huang, J.; Chen, T.; Huang, D.; Xu, T. Study on the Effect of Pulse Waveform Parameters on Droplet Transition, Dynamic Behavior of Weld Pool, and Weld Microstructure in P-GMAW. Metals 2023, 13, 199. https://doi.org/10.3390/met13020199
Huang J, Chen T, Huang D, Xu T. Study on the Effect of Pulse Waveform Parameters on Droplet Transition, Dynamic Behavior of Weld Pool, and Weld Microstructure in P-GMAW. Metals. 2023; 13(2):199. https://doi.org/10.3390/met13020199
Chicago/Turabian StyleHuang, Jie, Tao Chen, Daqing Huang, and Tengzhou Xu. 2023. "Study on the Effect of Pulse Waveform Parameters on Droplet Transition, Dynamic Behavior of Weld Pool, and Weld Microstructure in P-GMAW" Metals 13, no. 2: 199. https://doi.org/10.3390/met13020199
APA StyleHuang, J., Chen, T., Huang, D., & Xu, T. (2023). Study on the Effect of Pulse Waveform Parameters on Droplet Transition, Dynamic Behavior of Weld Pool, and Weld Microstructure in P-GMAW. Metals, 13(2), 199. https://doi.org/10.3390/met13020199
