A Study of Crevice Corrosion Susceptibility of Zn-Al Alloys in a High-pH Environment
Abstract
:1. Introduction
2. Experimental Procedures
2.1. Manufacturing of Specimens
2.2. Designing of a Titanium Reference Electrode
2.3. Experimental Cell Design
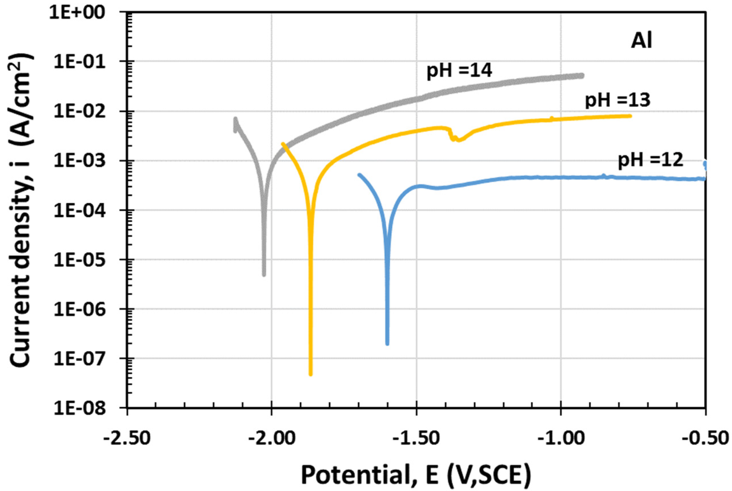
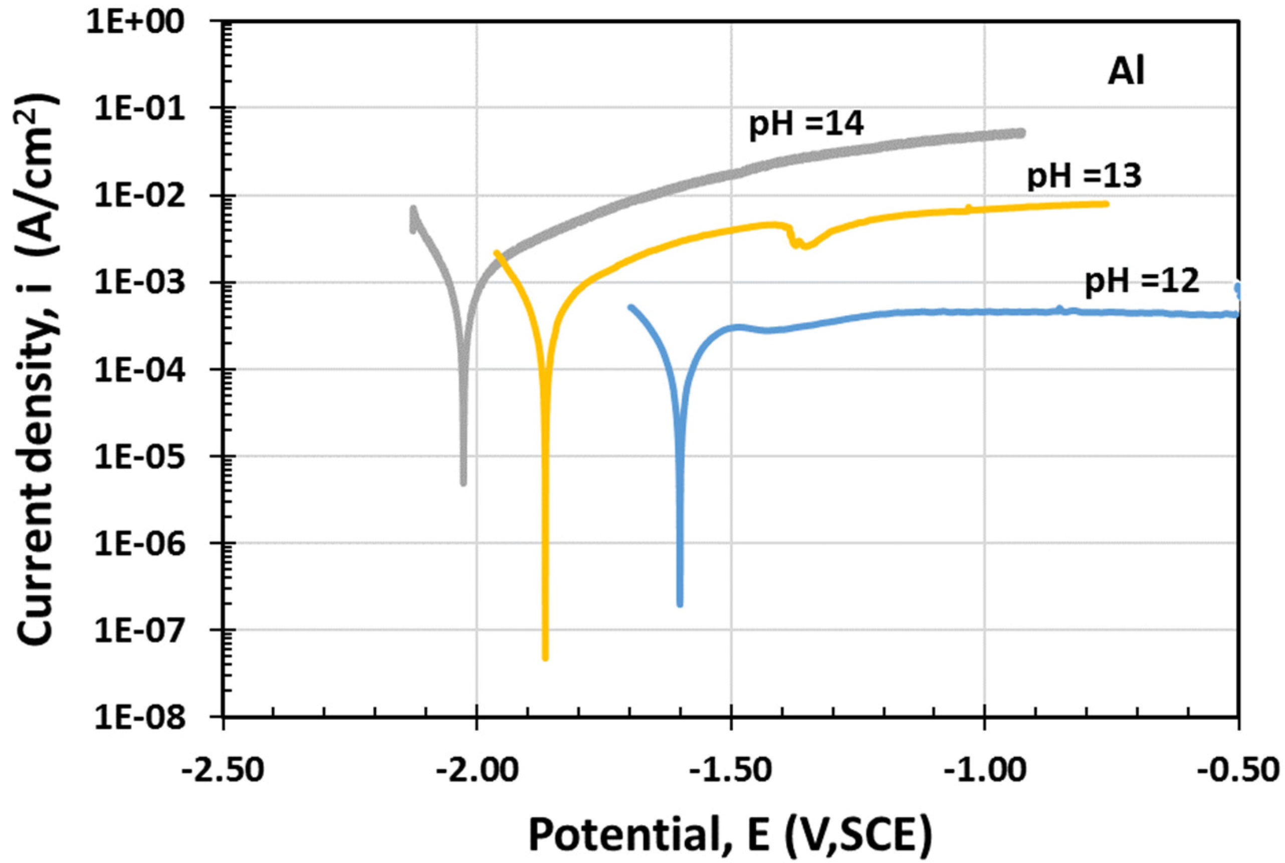
3. Results
4. Discussion
4.1. Effect of Ambient Air
4.2. EIS Investigation
5. Conclusions
- Potential transient of Zn-2%Al specimens with crevice showed signs of passivation occurring after a few hours of exposure, at which the open-circuit potential shifted toward much more noble values.
- The elemental Al dissolution rate did not have a significant effect on the mechanism of Zn-2%Al dissolution or passivation. This is based on the EIS testing on Zn, Zn/Al, and Al alloys, indicating that passivation is associated more with Zn than with Al.
- The EIS results show high impedance values of the specimens with crevices; however, this can be attributed to the relatively small area of exposure. Apparent corrosion rates showed that all active specimens corroded at relatively the same rate (~0.75–3 µm/y).
Funding
Data Availability Statement
Acknowledgments
Conflicts of Interest
References
- Abdulsalam, M.I. Behaviour of crevice corrosion in iron. Corros. Sci. 2005, 47, 1336–1351. [Google Scholar] [CrossRef]
- Ding, J.; He, W.; Liu, Y.; Zhang, C.; Wang, H.; Han, E.-H. Numerical Simulation of Crevice Corrosion of Stainless Steel–Titanium in NaCl Solution. Coatings 2022, 12, 592. [Google Scholar] [CrossRef]
- Fontana, M.G.; Greene, N.D. Corrosion Engineering; McGraw-Hill: New York, NY, USA, 1978. [Google Scholar]
- Abdulsalam, M.I.; Presuel-Moreno, F. Investigation of crevice corrosion of metallic fastened joints in carbon fiber reinforced polymer (CFRP) exposed to coastal seawater. Anti-Corros. Methods Mater. 2021, 68, 238–247. [Google Scholar] [CrossRef]
- Huang, X.; Zhou, K.; Ye, Q.; Wang, Z.; Qiao, L.; Su, Y.; Yan, Y. Crevice corrosion behaviors of CoCrMo alloy and stainless steel 316L artificial joint materials in physiological saline. Corros. Sci. 2022, 197, 110075. [Google Scholar] [CrossRef]
- Xi, Y.; Wang, Q.; Wu, Y.; Zhang, X.; Dong, L.; Bai, S.; Yang, Y. Crevice corrosion behavior and mechanism of laser additive manufacturing nickel-based alloy under wedge-shaped crevice by using wire beam electrode. Anti-Corros. Methods Mater. 2023; ahead-of-print. [Google Scholar] [CrossRef]
- Huang, S.; Wu, W.; Su, Y.; Qiao, L.; Yan, Y. Insight into the corrosion behaviour and degradation mechanism of pure zinc in simulated body fluid. Corros. Sci. 2021, 178, 109071. [Google Scholar] [CrossRef]
- Zhai, X.; Li, K.; Guan, F.; Wang, N.; Agievich, M.; Duan, J.; Hou, B. Ultrasound-assisted synthesis of wear-resistant Zn-Ferrocene composite coatings with high anticorrosive properties in alkaline environments. Surf. Coat. Technol. 2018, 356, 19–28. [Google Scholar] [CrossRef]
- Abdulsalam, M.I. Study of simulated disbonded polymer film on Zn-Al alloy coated reinforcing steel rebars. Corros. Sci. 2018, 138, 307–318. [Google Scholar] [CrossRef]
- Vu, T.N.; Volovitch, P.; Ogle, K. The effect of pH on the selective dissolution of Zn and Al from Zn–Al coatings on steel. Corros. Sci. 2013, 67, 42. [Google Scholar] [CrossRef]
- Nomura, H.; Kimata, Y.; Kanai, H. Corrosion Resistance of Prepainted Zn-11%Al-3%Mg-0.2%Si Coated Steel Sheet. In Proceedings of the International Conference on Zinc and Zinc Alloy Coated Steel, Galvatech’04, Warrendale, PA, USA, 4–7 April 2004; p. 763. [Google Scholar]
- Manna, M.; Dutta, M.; Bhagat, A.N. Microstructure and Electrochemical Performance Evaluation of Zn, Zn-5 wt.% Al and Zn-20 wt.% Al Alloy Coated Steels. J. Mater. Eng. Perform. 2021, 30, 627–637. [Google Scholar] [CrossRef]
- Al-Negheimish, A.; Hussain, R.R.; Alhozaimy, A.; Singh, D.D.N. Corrosion performance of hot-dip galvanized zinc-aluminum coated steel rebars in comparison to the conventional pure zinc coated rebars in concrete environment. Constr. Build. Mater. 2021, 274, 121921. [Google Scholar] [CrossRef]
- Tittarelli, F.; Mobili, A.; Giosuè, C.; Belli, A.; Bellezze, T. Corrosion behaviour of bare and galvanized steel in geopolymer and Ordinary Portland Cement based mortars with the same strength class exposed to chlorides. Corros. Sci. 2018, 134, 64–77. [Google Scholar] [CrossRef]
- Pourbaix, M. Atlas of Electrochemical Equilibria in Aqueous Solutions; National Association of Corrosion Engineers: Houston, TX, USA, 1974. [Google Scholar]
- Permeh, S.; Lau, K. Corrosion of galvanized steel in alkaline solution associated with sulfate and chloride ions. Constr. Build. Mater. 2023, 392, 131889. [Google Scholar] [CrossRef]
- Lau, K.; Sagüés, A.A. Corrosion of epoxy- and polymer/zinc-coated rebar in simulated concrete pore solution. Corrosion 2009, 65, 681–694. [Google Scholar] [CrossRef]
- Halder, A.K.; Manna, M.; Chakraborty, A.; Bhagat, A.N. Analysis of early failure of galvanised borewell pipe. Eng. Fail. Anal. 2021, 133, 105957. [Google Scholar] [CrossRef]
- Zhang, W.; Liu, H.; Hu, M.; Wu, W. Microenvironment evolution and SCC behavior of subsea pipeline within disbonded coating crevice in a seawater environment under cathodic protection. Anti-Corros. Methods Mater. 2021, 68, 77–84. [Google Scholar] [CrossRef]
- PA 19428-2959; Standard Specification for Zinc and Zinc Alloy Wire for Thermal Spraying (Metallizing) for the Corrosion Protection of Steel. ASTM International: West Conshohocken, PA, USA, 2013.
- Zhang, S.; Li, Z.; Su, X.; Yang, C. Experimental Data Treatment of the Pipeline Steel Polarization Curve under AC Interference. Int. J. Electrochem. Sci. 2019, 14, 10888–10906. [Google Scholar] [CrossRef]
- Castro, P.; Sagüés, A.A.; Moreno, E.I.; Maldonado, L.; Genescá, J. Characterization of activated titanium solid reference electrodes for corrosion testing of steel in concrete. Corrosion 1996, 52, 609. [Google Scholar] [CrossRef]
- Sagues, A.A.; Moreno, E.I.; Morris, W.; Andrade, C. Characterization of a solid reference electrode for corrosion measurement of steel in concrete. In Proceedings of the First Mexican Symposium on Metallic Corrosion; Maldonado, L., Pech, M., Eds.; UNAM Facultad de Quimica Press: Mexico City, Mexico, 1995; pp. 43–52, Paper 64; ISBN 968-36-4811-8. [Google Scholar]
- OLI Studio Corrosion Analyzer, Version 9.3; OLI Systems, Inc.: Cedar Knolls, NJ, USA, 2016.
- Vu, T.; Mokaddem, M.; Volovitch, P.; Ogle, K. The anodic dissolution of zinc and zinc alloys in alkaline solution. II. Al and Zn partial dissolution from 5% Al–Zn coatings. Electrochim. Acta 2012, 74, 130–138. [Google Scholar] [CrossRef]
- Rosenfeld, I.L.; Marshakov, I.K. Mechanism of Crevice Corrosion. Corrosion 1964, 20, 115t–125t. [Google Scholar] [CrossRef]
- Shang, X.-L.; Zhang, B.; Han, E.-H.; Ke, W. Effect of small addition of Mn on the passivation of Zn in 0.1M NaOH solution. Electrochim. Acta 2011, 56, 1417–1425. [Google Scholar] [CrossRef]
- Yuan, Y.; Zhou, Z.; Luo, J.; Dan, Z.; Qin, F.; Chang, H. (1 1 1)-facet dominant ultrafine nanoporous silver as SERS substrates with high sensitivities and ultrahigh detection limits. Appl. Surf. Sci. 2021, 556, 149820. [Google Scholar] [CrossRef]
- Stern, M.; Geary, A.L. Electrochemical polarization I. A theoretical analysis of the shape of polarization curves. J. Electrochem. Soc. 1957, 104, 56–63. [Google Scholar] [CrossRef]
- Jones, D.A. Principles and Prevention of Corrosion, 2nd ed.; Prentice Hall: Hoboken, NJ, USA, 1995. [Google Scholar]





















| Element | wt.% |
|---|---|
| Al | 1.5–2.5 |
| Cd | 0.005 |
| Cu | 0.005 |
| Fe | 0.02 |
| Pb | 0.005 |
| Sn | 0.003 |
| Sb | 0.10 |
| Ag | 0.015 |
| Bi | 0.02 |
| As | 0.002 |
| Ni | 0.005 |
| Mg | 0.02 |
| Zn | remainder |
Disclaimer/Publisher’s Note: The statements, opinions and data contained in all publications are solely those of the individual author(s) and contributor(s) and not of MDPI and/or the editor(s). MDPI and/or the editor(s) disclaim responsibility for any injury to people or property resulting from any ideas, methods, instructions or products referred to in the content. |
© 2023 by the author. Licensee MDPI, Basel, Switzerland. This article is an open access article distributed under the terms and conditions of the Creative Commons Attribution (CC BY) license (https://creativecommons.org/licenses/by/4.0/).
Share and Cite
Abdulsalam, M.I. A Study of Crevice Corrosion Susceptibility of Zn-Al Alloys in a High-pH Environment. Metals 2023, 13, 1698. https://doi.org/10.3390/met13101698
Abdulsalam MI. A Study of Crevice Corrosion Susceptibility of Zn-Al Alloys in a High-pH Environment. Metals. 2023; 13(10):1698. https://doi.org/10.3390/met13101698
Chicago/Turabian StyleAbdulsalam, Mohammed I. 2023. "A Study of Crevice Corrosion Susceptibility of Zn-Al Alloys in a High-pH Environment" Metals 13, no. 10: 1698. https://doi.org/10.3390/met13101698
APA StyleAbdulsalam, M. I. (2023). A Study of Crevice Corrosion Susceptibility of Zn-Al Alloys in a High-pH Environment. Metals, 13(10), 1698. https://doi.org/10.3390/met13101698
