Supersonic Shrouding Methane Mixtures for Supersonic Combustion Coherent Jets
Abstract
1. Introduction
2. Combustion Experiments and Numerical Simulations
2.1. Combustion Experiments
2.2. Numerical Simulation
2.3. Simulation Details
2.4. Grid Independence Test
3. Results and Discussion
3.1. Mach Number Distribution
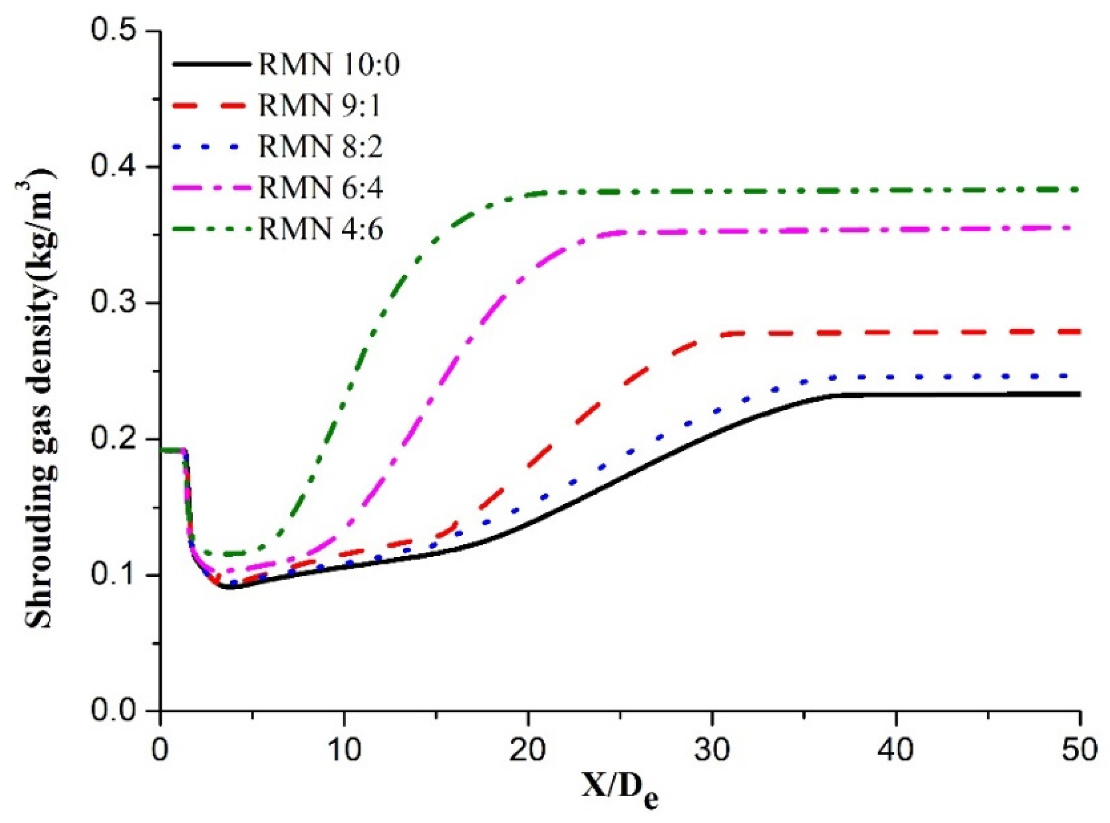
3.2. Density Distribution
3.3. Temperature Distribution
3.4. Vorticity and Turbulence Intensity
4. Conclusions
Author Contributions
Funding
Institutional Review Board Statement
Informed Consent Statement
Data Availability Statement
Conflicts of Interest
References
- Yang, L.Z.; Hu, H.; Yang, Z.S. A review on bath fluid flow stirring technologies in EAF steelmaking. J. Iron Steel Res. Int. 2021, 28, 1341–1351. [Google Scholar] [CrossRef]
- Echterhof, T. Review on the use of alternative carbon sources in EAF steelmaking. Metals 2021, 11, 222. [Google Scholar] [CrossRef]
- Eshwar, K.R.; Ville, V.V.; Petri, S. Numerical modelling of the influence of argon flow rate and slag layer height on open-eye formation in a 150ton steelmaking ladle. Metals 2019, 9, 1048. [Google Scholar] [CrossRef]
- Zhang, B.; Chen, K.; Wang, R.F. Physical modelling of splashing triggered by the gas jet of an oxygen lance in a converter. Metals 2019, 9, 409. [Google Scholar] [CrossRef]
- Odenthal, H.J.; Kemminger, A.; Krause, F. Review on modeling and simulation of the electric arc furnace. Steel Res. Int. 2017, 89, 1700098. [Google Scholar] [CrossRef]
- Ersson, M.; Tilliander, A.; Jonsson, L. A mathematical model of an impinging air jet on a water surface. ISIJ Int. 2008, 48, 377–384. [Google Scholar] [CrossRef]
- Sabah, S.; Brooks, G. Splash distribution in oxygen steelmaking. Metall. Mater. Trans. B 2015, 46, 863–872. [Google Scholar] [CrossRef]
- Malfa, E.; Giavani, C.; Memoli, F. Numerical simulation of a supersonic oxygen lance for industrial application in EAFs. MPT Int. 2005, 28, 44–50. [Google Scholar]
- Zhao, F.; Sun, D.; Zhu, R. Effect of shrouding gas parameters on characteristics of supersonic coherent jet. Metall. Mater. Trans. B 2017, 48, 1807–1816. [Google Scholar] [CrossRef]
- Meidani, A.R.N.; Isac, M.; Richardson, A. Modelling shrouded supersonic jets in metallurgical reactor vessels. ISIJ Int. 2004, 44, 1639–1645. [Google Scholar] [CrossRef]
- Sumi, I.; Kishimoto, Y.; Kikuchi, Y. Effect of high-temperature field on supersonic oxygen jet behavior. ISIJ Int. 2006, 46, 1312–1317. [Google Scholar] [CrossRef]
- Sumi, I.; Okuyama, G.; Nabeshima, S. Behavior of top-blown jet under reduced pressure. ISIJ Int. 2007, 47, 73–79. [Google Scholar] [CrossRef]
- Klioutchnikov, I.; Olivier, H.; Odenthal, J. Numerical investigation of coaxial jets entering into a hot environment. Comp. Fluids 2013, 86, 490–499. [Google Scholar] [CrossRef]
- Wei, G.S.; Zhu, R.; Yang, L.Z. Modeling on impact zone volume generated by coherent supersonic jet and conventional supersonic jet. J. Iron Steel Res. Int. 2018, 25, 681–691. [Google Scholar] [CrossRef]
- Alam, M.; Naser, J.; Brooks, G. Computational fluid dynamics modeling of supersonic coherent jets for electric arc furnace steelmaking process. Metall. Mater. Trans. B 2010, 47, 1354–1367. [Google Scholar] [CrossRef]
- Alam, M.; Naser, J.; Brooks, G. Computational fluid dynamics simulation of supersonic oxygen jet behavior at steelmaking temperature. Metall. Mater. Trans. B 2010, 41, 636–645. [Google Scholar] [CrossRef]
- Alam, M.; Naser, J.; Brooks, G. A computational fluid dynamics model of shrouded supersonic jet impingement on a water surface. ISIJ Int. 2018, 52, 1026–1035. [Google Scholar] [CrossRef]
- Li, X.; Wei, G.S.; Zhu, R.; Tian, B.H.; Zhao, R.M.; Lan, X.Y. Study on the Characteristics of Coherent Supersonic Jet with Superheated Steam. Metals 2022, 12, 835. [Google Scholar] [CrossRef]
- Tang, G.W.; Chen, Y.; Silaen, A.K. Effects of fuel input on coherent jet length at various ambient temperatures. App. Ther. Eng. 2019, 153, 513–523. [Google Scholar] [CrossRef]
- Tang, G.W.; Chen, Y.; Silaen, A.K. Investigation on coherent jet potential core length in an electric arc furnace. Steel Res. Int. 2018, 90, 1504–1516. [Google Scholar] [CrossRef]
- Cheng, T.; Zhu, R.; Dong, K. Effect of methane-hydrogen mixtures on flow and combustion of coherent jets. J Iron Steel Res. Int. 2017, 24, 1143–1151. [Google Scholar] [CrossRef]
- Zhao, F.; Zhu, R.; Wang, W.R. Characteristics of a Coherent Jet Enshrouded in a Supersonic Fuel Gas. Int. J. Min. Met. Mater. 2020, 27, 173–180. [Google Scholar] [CrossRef]
- Zhao, F.; Zhu, R.; Wang, W.R. Characteristics of the Supersonic Combustion Coherent Jet for Electric Arc Furnace Steelmaking. Materials 2019, 12, 3504. [Google Scholar] [CrossRef] [PubMed]
- Anderson, J.D. Introduction to Flight; McGraw-Hill Education: Singapore, Singapore, 2013; pp. 125–131. [Google Scholar]
- Versteeg, H.K.; Malalasekera, W. An Introduction to Computational Fluid Dynamics, the Finite Volume Method; Prentice Hall: London, UK, 2007; pp. 157–179. [Google Scholar]
- Abdolhamid, K.S.; Pao, S.P.; Massey, S.J. Temperature corrected turbulence model for high temperature jet flow. J. Fluids Eng. 2006, 126, 844–850. [Google Scholar] [CrossRef]
- Menter, F.R. Two-equation eddy-viscosity turbulence models for engineering applications. AIAA J. 1994, 32, 1598–1605. [Google Scholar] [CrossRef]
- Zhao, F.; Zhu, R.; Zhang, Y.L.; Wang, H. Turbulence model in supersonic jet flow field. Chin. J. Eng. 2014, 36, 366–372. [Google Scholar] [CrossRef]
- Jones, W.P.; Whitelaw, J.H. Calculation methods for reacting turbulent flows: A review. Combust. Flame. 1982, 48, 1–26. [Google Scholar] [CrossRef]
- Papamoschou, D.; Roshko, A. The compressible turbulent shear layer: An experimental study. J. Fluid Mech. 1988, 197, 453–477. [Google Scholar] [CrossRef]












| Name of Boundary | Type of Boundary Condition | Values |
|---|---|---|
| Supersonic main oxygen inlet | Mach number | 2 |
| mass flow rate | 0.8 kg·s−1 | |
| mass fractions | O2 = 100% | |
| total temperature | 300 K | |
| Supersonic shrouding gas inlet | Mach number | 2 |
| mass flow rate | 0.04 kg·s−1 | |
| mass fractions | CH4:N2 =10:0/9:1/8:2/6:4 | |
| temperature | 300 K | |
| Pressure inlet | static pressure | 101,325 Pa |
| mass fractions | O2 = 21%, N2 = 79% | |
| temperature | 1700 K | |
| Pressure outlet | static pressure | 101,325 Pa |
| mass fractions | O2 = 21%, N2 = 79% | |
| temperature | 1700 K | |
| Wall | no-slip | 300 K/1700 K |
Disclaimer/Publisher’s Note: The statements, opinions and data contained in all publications are solely those of the individual author(s) and contributor(s) and not of MDPI and/or the editor(s). MDPI and/or the editor(s) disclaim responsibility for any injury to people or property resulting from any ideas, methods, instructions or products referred to in the content. |
© 2023 by the authors. Licensee MDPI, Basel, Switzerland. This article is an open access article distributed under the terms and conditions of the Creative Commons Attribution (CC BY) license (https://creativecommons.org/licenses/by/4.0/).
Share and Cite
Zhao, F.; Di, T.; Zhu, R.; Wang, W. Supersonic Shrouding Methane Mixtures for Supersonic Combustion Coherent Jets. Metals 2023, 13, 123. https://doi.org/10.3390/met13010123
Zhao F, Di T, Zhu R, Wang W. Supersonic Shrouding Methane Mixtures for Supersonic Combustion Coherent Jets. Metals. 2023; 13(1):123. https://doi.org/10.3390/met13010123
Chicago/Turabian StyleZhao, Fei, Tianhao Di, Rong Zhu, and Wenrui Wang. 2023. "Supersonic Shrouding Methane Mixtures for Supersonic Combustion Coherent Jets" Metals 13, no. 1: 123. https://doi.org/10.3390/met13010123
APA StyleZhao, F., Di, T., Zhu, R., & Wang, W. (2023). Supersonic Shrouding Methane Mixtures for Supersonic Combustion Coherent Jets. Metals, 13(1), 123. https://doi.org/10.3390/met13010123

