Reliability Analysis of the Welded Bellows for Mechanical Seals Based on Six Sigma
Abstract
1. Introduction
2. The Theory of Process
2.1. Stress Relaxation Test for Welded Metal Bellows
2.2. Finite Element Analysis of Stress Relaxation of Welded Metal Bellows
2.3. Reliability Calculation of Welded Metal Bellows
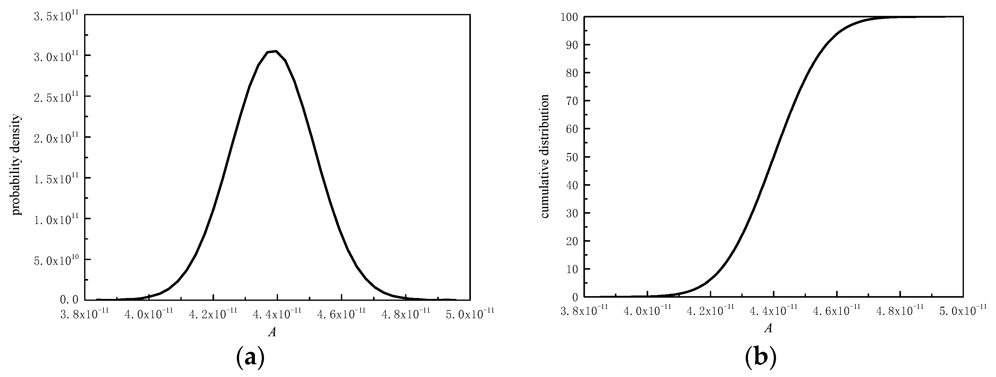
3. Concrete Case Calculation
- (1)
- Model development
- (2)
- Material and physical parameters
- (3)
- Meshing and boundary condition setting
- (4)
- Postprocessing
4. Conclusions
- 1.
- The stress relaxation degree of welded metal bellows becomes more significant with an increase in the initial displacement load.
- 2.
- According to the creep parameters determined by the test data, the stress relaxation simulation of welded metal bellows was performed. The elastic relaxation data of bellows under different compression loads were obtained at 250 °C.
- 3.
- The reliability of welded metal bellows under specific working conditions can be obtained using Six Sigma, and the results demonstrate acceptable reliability.
Author Contributions
Funding
Institutional Review Board Statement
Informed Consent Statement
Data Availability Statement
Conflicts of Interest
References
- Plumridge, J.M.; Ketch, D.P.; Straszewski, C.J. Mechanical seals: The current status of metal bellows sealing. Tribol. Int. 2003, 19, 193–197. [Google Scholar] [CrossRef]
- Yang, W.J.; Hao, M.M.; Ren, B.J.; Wang, X.Y. Analysis of the Elastic-Loss Feature of welded Metal Bellows for High Temperature Mechanical Seals. J. Lanzhou Univ. Technol. 2016, 4, 46–50. [Google Scholar]
- Gill, S.P.A.; McColvin, G.; Strang, A. Stress relaxation of nickel-based superalloy helical springs at high temperatures. Mater. Sci. Eng. A 2014, 613, 117–129. [Google Scholar] [CrossRef]
- Li, J.; Wang, Y.; Chen, X.; Yan, X.; Lu, X. Microstructure evolution in stress relaxation behavior of austenite AISI 304 stainless steel spring. Mater. Charact. 2018, 148, 266–271. [Google Scholar] [CrossRef]
- Del Llano-Vizcaya, L.; Rubio-González, C.; Mesmacque, G.; Cervantes-Hernández, T. Multiaxial fatigue and failure analysis of helical compression springs. Eng. Fail. Anal. 2006, 13, 1303–1313. [Google Scholar] [CrossRef]
- Nong, X.; Feng, W.; Gao, J.; Shi, C.; Zhao, N. Stress Relaxation Constitutive Relations and Finite Element Analysis of T9A Helical Compression Spring. Mater. Trans. 2021, 62, 962–967. [Google Scholar] [CrossRef]
- Schedin, E.; Thuvander, A.; Henderson, P.; Sandberg, P.; Kamf, A. Stress relaxation behaviour of connectors-development of simulation techniques. In Proceedings of the Forty-Second IEEE Holm Conference on Electrical Contacts, Joint with the 18th International Conference on Electrical Contacts, Chicago, IL, USA, 16–20 September 1996; pp. 142–150. [Google Scholar]
- Hao, Z.; Luo, J.; Chen, L.; Cai, Y.; Chen, Y.; Cheng, M. Failure mechanism of unequal parameters metal bellows under repeated bending process. Eng. Fail. Anal. 2021, 129, 105671. [Google Scholar] [CrossRef]
- Cao, W.H.; Yu, X.C. Fatigue Life Reliability Analysis of Bellows. Chem. Autom. Instrum. 2010, 37, 56–58. [Google Scholar]
- Xie, J.; Chen, Y.L.; Chen, H.J. Probabilistic Finite Element Analysis of Structural Reliability of metal Bellows. Chem. Eng. Equip. 2019, 271, 210–212. [Google Scholar]
- Ding, W.; Ma, Y.M.; Sun, S. Development of the test device for elasticity loss of the welded metal bellows in mechanical seal. Mach. Des. Manuf. Eng. 2016, 45, 63–66. [Google Scholar]
- An, Y.S.; Cai, R.l.; Liu, W.D. Study on the mechanism of elastic loss of welded metal bellows: Stress Force relaxation. Lubr. Seal. 2002, 1, 7–9. [Google Scholar]
- Ma, Y.M. Study on mechanism of projectile loss of welded Metal Bellows Based on Thin Shell Theory. Petrochem. Equip. 2020, 19, 17–22. [Google Scholar]
- Pang, T. Structural Parameter Optimization and Reliability Analysis of High-Speed Spring Collet. Ph.D. Thesis, Jiangsu University, Zhenjiang, China, 2019. [Google Scholar]
- Chen, M.R. Reliability and Durability of electronic energy-saving lamps based on Eiling model. China Lighting Electr. Appl. 1999, 4. [Google Scholar] [CrossRef]
- Kwan, W.; Li, W.K.; Ng, K.W. A Multivariate Threshold Varying Conditional Correlations Model. Econom. Rev. 2009, 29, 20–38. [Google Scholar] [CrossRef][Green Version]
- Du, Y.; Liew, J.R.; Jiang, J.; Li, G.-Q. Improved time-hardening creep model for investigation on behaviour of pre-tensioned steel strands subject to localised fire. Fire Saf. J. 2020, 116, 103191. [Google Scholar] [CrossRef]
- Liu, J.; Fei, Q.; Wu, S.; Zhang, D.; Jiang, D. Dynamic response of curvilinearly stiffened plates under thermal environment. J. Mech. Sci. Technol. 2021, 35, 2359–2367. [Google Scholar] [CrossRef]
- Zhang, Z.; Ma, C.; Sun, J.; Zhang, Y.; Ni, X. A Method for Calculating the Reliability of Welded Metal Bellows for Mechanical Seals. Coatings 2022, 12, 175. [Google Scholar] [CrossRef]
- Zhou, J.F.; Gu, B.Q. Reliability Evaluation Method of Mechanical Seals Based on Monte Carlo Method. Lubr. Eng. 2006, 2, 102–104, 135. [Google Scholar]

















| Amount of Compression | y0 | k | t |
|---|---|---|---|
| 10 | 326.2 | 6.7 | 0.65 |
| 12 | 393.6 | 12.1 | 0.52 |
| 14 | 465.5 | 18.5 | 0.43 |
| 16 | 496.5 | 26.3 | 0.34 |
| 18 | 602.2 | 30.6 | 0.25 |
| Compression (mm) | 10 | 12 | 14 | 16 | 18 |
|---|---|---|---|---|---|
| A | 7.0 × 10−9 | 7.3 × 10−10 | 6.6 × 10−9 | 8.0 × 10−10 | 7.6 × 10−9 |
| m | 2.002 | 2.002 | 2 | 2.001 | 2 |
| n | 0.06 | 0.06 | 0.06 | 0.06 | 0.06 |
| Property | Value | Unit |
|---|---|---|
| Density | 7750 | Kg m−3 |
| coefficient of thermal expansion | 1.2 × 10−5 | C−1 |
| Young’s Modulus | 1.93 × 1011 | Pa |
| Poisson’s Ratio | 0.3 | |
| Creep Constant 1 | 4.2 × 10−11 | |
| Creep Constant 2 | 2.002 | |
| Creep Constant 3 | −0.94 | |
| Creep Constant 4 | 0 | |
| Tensile Yield Strength | 2.07 × 108 | Pa |
| Compressive Yield Strength | 2.07 × 108 | Pa |
| Total Number | 2 |
|---|---|
| Current step | 2 |
| stop time | 57,600 s |
| Automatic time stepping | open |
| definition | time |
| Initial time step | 1 s |
| Minimum time step | 0.1 s |
| Maximum time step | 5000 s |
| A × m | Compressive Displacement Load | |
|---|---|---|
| mean | 4.4 × 10−11 | 1.9238 |
| standard deviation | 1.3 × 10−12 | 0.005 |
| upper limit value | 4.0 × 10−11 | 1.9393 |
| lower limiting value | 4.8 × 10−11 | 1.9084 |
Publisher’s Note: MDPI stays neutral with regard to jurisdictional claims in published maps and institutional affiliations. |
© 2022 by the authors. Licensee MDPI, Basel, Switzerland. This article is an open access article distributed under the terms and conditions of the Creative Commons Attribution (CC BY) license (https://creativecommons.org/licenses/by/4.0/).
Share and Cite
Zhang, Z.; Ma, C.; Sun, J.; Zhang, Y.; Ni, X. Reliability Analysis of the Welded Bellows for Mechanical Seals Based on Six Sigma. Metals 2022, 12, 1073. https://doi.org/10.3390/met12071073
Zhang Z, Ma C, Sun J, Zhang Y, Ni X. Reliability Analysis of the Welded Bellows for Mechanical Seals Based on Six Sigma. Metals. 2022; 12(7):1073. https://doi.org/10.3390/met12071073
Chicago/Turabian StyleZhang, Zhong, Chenbo Ma, Jianjun Sun, Yuyan Zhang, and Xingya Ni. 2022. "Reliability Analysis of the Welded Bellows for Mechanical Seals Based on Six Sigma" Metals 12, no. 7: 1073. https://doi.org/10.3390/met12071073
APA StyleZhang, Z., Ma, C., Sun, J., Zhang, Y., & Ni, X. (2022). Reliability Analysis of the Welded Bellows for Mechanical Seals Based on Six Sigma. Metals, 12(7), 1073. https://doi.org/10.3390/met12071073

