Study on Shear Strength of Partially Connected Steel Plate Shear Wall
Abstract
:1. Introduction
2. Theoretical Analysis and Finite Element Modeling
2.1. Shear Strength of Infill Plate
2.2. Basic Model
2.3. Nonlinear Analysis
2.4. Verifying of FE Model
2.5. Description of Partial Connections
3. Numerical Results
3.1. Structural Performance of S1 and S1R Models
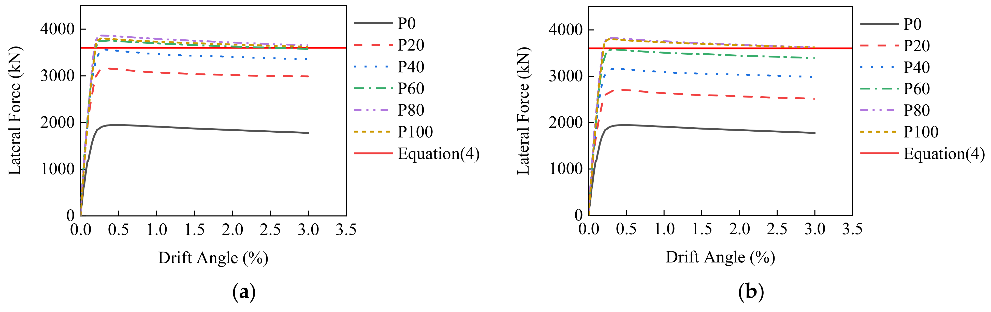
3.2. Structural Performance of S2 and S2R Models
3.3. Structural Performance of S3 and S3R Models
3.4. Structural Performance of S4 and S4R Models
4. Discussion of Shear Strength of PC-SPSW
4.1. Influence of Partial Connection on Shear Strength
4.2. Shear Strength Equations of S1 and S1R
4.3. Shear Strength Equations of S2 and S2R
4.4. Shear Strength Equations of S3 and S4
5. Conclusions
- This research proposes eight different types of plate-to-frame connections and investigates the effect of the connectivity ratio on the shear strength of the steel plate shear wall. When the infill plate is only connected to beams, the shear strength decreases by nearly 50% compared to the full connection. However, when the central part of the plate is connected to the column, such as S1 and S2, the load-bearing capacity of the structure is significantly higher than that of the beam-only connection. When the connectivity ratio of plate-to-columns hits 67%, the shear strength of the structure is almost equivalent to the full connection.
- Considering the connectivity ratio and width-to-height ratio, the formulae of shear strength with different connection types are presented. The prediction formula correlates with the finite element results well. The shear strength increases rapidly with an increase in the connectivity ratio. When the connection ratio reaches 80%, the shear strength of the structure reaches more than 95% of the full connection type.
- Multi-segment connections obtain a higher shear strength than one-segment connections at the same connectivity ratio. Increasing the connectivity ratio of the plate from the centers can improve the shear strength of the structure more than from the corners.
Author Contributions
Funding
Institutional Review Board Statement
Informed Consent Statement
Data Availability Statement
Conflicts of Interest
References
- Elgaaly, M. Thin steel plate shear walls behavior and analysis. Thin-Walled Struct. 1998, 32, 151–180. [Google Scholar] [CrossRef]
- Wagner, H. Flat Sheet Metal Girder with Very Thin Metal Web: Part I General Theories and Assumptions; Technical Memorandum, No. 604; National Advisory Committee for Aeronautics: Moffett Field, CA, USA, 1931.
- Basler, K. Strength of plate girders in shear. J. Struct. Div. ASCE 1961, 87, 151–180. [Google Scholar] [CrossRef]
- Thorburn, L.J.; Kulak, G.L.; Montgomery, C.J. Analysis of Steel Plate Shear Walls; Structural Engineering Report. No. 107; Department of Civil Engineering, University of Alberta: Edmonton, AB, Canada, 1983. [Google Scholar]
- Jin, S.; Yang, S.; Bai, J. Numerical and experimental investigation of the full-scale buckling-restrained steel plate shear wall with inclined slots. Thin-Walled Struct. 2019, 144, 106362. [Google Scholar] [CrossRef]
- Mu, Z.; Yang, Y. Experimental and numerical study on seismic behavior of obliquely stiffened steel plate shear walls with openings. Thin-Walled Struct. 2020, 146, 106457. [Google Scholar] [CrossRef]
- Farahbakhshtooli, A.; Bhowmick, A.K. Nonlinear seismic analysis of perforated steel plate shear walls using a macro-model. Thin-Walled Struct. 2021, 166, 108022. [Google Scholar] [CrossRef]
- Tong, J.; Guo, Y.; Zuo, J.; Gao, J. Experimental and numerical study on shear resistant behavior of double-corrugated-plate shear walls. Thin-Walled Struct. 2020, 147, 106485. [Google Scholar] [CrossRef]
- Azandariani, M.G.; Gholhaki, M.; Kafi, M.A. Experimental and numerical investigation of low-yield-strength (LYS) steel plate shear walls under cyclic loading. Eng. Struct. 2020, 203, 109866. [Google Scholar] [CrossRef]
- De Matteis, G.; Brando, G.; D’Agostino, M.F.M. Experimental analysis of partially buckling inhibited pure aluminium shear panels. In Behaviour of Steel Structures in Seismic Areas; CRC Press: Boca Raton, FL, USA, 2012; pp. 809–814. [Google Scholar] [CrossRef]
- De Matteis, G.; Brando, G. Comparative analysis of dual steel frames with dissipative metal shear panels. Key Eng. Mat. 2018, 763, 735–742. [Google Scholar] [CrossRef]
- Yu, J.; Huang, J.; Li, B.; Feng, X. Experimental study on steel plate shear walls with novel plate-frame connection. J. Constr. Steel Res. 2021, 180, 106601. [Google Scholar] [CrossRef]
- Paslar, N.; Farzampour, A.; Hatami, F. Infill plate interconnection effects on the structural behavior of steel plate shear walls. Thin-Walled Struct. 2020, 149, 106621. [Google Scholar] [CrossRef]
- Azandariani, G.M.; Rousta, A.M.; Mohammadi, M.; Rashidi, M.; Abdolmaleki, H. Numerical and analytical study of ultimate capacity of steel plate shear walls with partial plate-column connection (SPSW-PC). Structures 2021, 33, 3066–3080. [Google Scholar] [CrossRef]
- Wei, M.; Liew, J.Y.R.; Fu, X. Panel action of novel partially connected buckling-restrained steel plate shear walls. J. Constr. Steel Res. 2017, 128, 483–497. [Google Scholar] [CrossRef]
- Wei, M.; Liew, J.Y.R.; Yong, D.; Fu, X. Experimental and numerical investigation of novel partially connected steel plate shear walls. J. Constr. Steel Res. 2017, 132, 1–15. [Google Scholar] [CrossRef] [Green Version]
- Du, Y.; Zhang, Y.; Zhou, T.; Chen, Z.; Zheng, Z.; Wang, X. Experimental and numerical study on seismic behavior of SCFRT column frame-buckling restrained steel plate shear wall structure with different connection forms. Eng. Struct. 2021, 239, 112355. [Google Scholar] [CrossRef]
- Mirsadeghi, H.M.R.; Fanaie, N. Steel plate shear walls with partial length connection to vertical boundary element. Structures 2021, 32, 1820–1838. [Google Scholar] [CrossRef]
- ABAQUS. Analysis User’s Manual IV. Version 6.10; ABAQUS, Inc.: Palo Alto, CA, USA; Dassault Systèmes: Vélizy-Villacoublay, France, 2010. [Google Scholar]
- Asl, M.H.; Safarkhani, M. Seismic behavior of steel plate shear wall with reduced boundary beam section. Thin-Walled Struct. 2017, 116, 169–179. [Google Scholar] [CrossRef]
- Machaly, E.B.; Safar, S.S.; Amer, M.A. Numerical investigation on ultimate shear strength of steel plate shear walls. Thin-Walled Struct. 2014, 84, 78–90. [Google Scholar] [CrossRef]
- Wang, M.; Zhang, X.; Yang, L.; Yang, W. Cyclic performance for low-yield point steel plate shear walls with diagonal T-shaped-stiffener. J. Constr. Steel Res. 2020, 171, 106163. [Google Scholar] [CrossRef]
- Shekastehband, B.; Azaraxsh, A.A.; Showkati, H.; Pavir, A. Behavior of semi-supported steel shear walls: Experimental and numerical simulations. Eng. Struct. 2017, 135, 161–176. [Google Scholar] [CrossRef]
- Sigariyazd, M.A.; Joghataie, A.; Attari, N.K.A. Analysis and design recommendations for diagonally stiffened steel plate shear walls. Thin-Walled Struct. 2016, 103, 72–80. [Google Scholar] [CrossRef]
- Timoshenko, S.P.; Gere, J.M. Theory of Elastic Stability; McGraw-Hill Publishing Company: New York, NY, USA, 1961. [Google Scholar]
- Sabelli, R.; Bruneau, M. Steel Design Guide of Steel Plate Shear Walls; No. 20; American Institute of Steel Construction (AISC): Chicago, IL, USA, 2007. [Google Scholar]
- Ozcelik, Y.; Clayton, P.M. Strip model for steel plate shear walls with beam-connected web plates. Eng. Struct. 2017, 136, 369–379. [Google Scholar] [CrossRef]
- Nascimbene, R. Towards Non–standard numerical modeling of thin-shell structures: Geometrically linear formulation. Int. J. Comput. Methods Eng. Sci. Mech. 2014, 15, 126–141. [Google Scholar] [CrossRef]
- BS-EN 1993-1-6:2007; Eurocode 3: Design of Steel Structures Part 1–6: Strength and Stability of Shell. European Committee for Standardization: Brussels, Belgium, 2007.
- Habashi, H.R.; Alinia, M.M. Characteristics of the wall–frame interaction in steel plate shear walls. J. Constr. Steel Res. 2010, 66, 150–158. [Google Scholar] [CrossRef]



















| Section of Column | Section of Beam | h of Plate | b of Plate | t of Plate |
|---|---|---|---|---|
| H600 mm × 600 mm × 18 mm × 36 mm | H750 mm × 600 mm × 18 mm × 36 mm | 3000 | 3000 | 10 |
| Model | Connectivity Ratio γ of S1, S1R (%) | Connectivity Ratio γ of S3, S3R (%) | Model | Connectivity Ratio γ of S2, S2R (%) | Connectivity Ratio γ of S4, S4R (%) |
|---|---|---|---|---|---|
| P0 | 0 (Beamonly) | - | P0 | 0 (Beamonly) | - |
| P13 | 13 | 13 | P20 | 20 | 20 |
| P27 | 27 | 27 | P40 | 40 | 40 |
| P40 | 40 | 40 | P60 | 60 | 60 |
| P53 | 53 | 53 | P80 | 80 | 80 |
| P67 | 67 | 67 | P100 | 100 (full) | 100 (full) |
| P80 | 80 | 80 | - | - | - |
| P93 | 93 | 93 | - | - | - |
| P100 | 100 (full) | 100 (full) | - | - | - |
| Model | Connectivity Ratio γ (%) | S1 | S1R | ||
|---|---|---|---|---|---|
| Value (kN) | Decrease Ratio (%) | Value (kN) | Decrease Ratio (%) | ||
| P0 | 0 (Beamonly) | 1726 | −52.91 | 1726 | −52.91 |
| P13 | 13 | 2615 | −28.66 | 1997 | −45.52 |
| P27 | 27 | 2910 | −20.62 | 2270 | −38.07 |
| P40 | 40 | 3251 | −11.32 | 2589 | −29.37 |
| P53 | 53 | 3457 | −5.70 | 2935 | −19.94 |
| P67 | 67 | 3585 | −2.20 | 3259 | −11.10 |
| P80 | 80 | 3643 | −0.62 | 3542 | −3.38 |
| P93 | 93 | 3665 | −0.02 | 3660 | −0.16 |
| P100 | 100 (full) | 3666 | 0 | 3666 | 0 |
| Model | Connectivity Ratio γ (%) | S2 | S2R | ||
|---|---|---|---|---|---|
| Value (kN) | Decrease Ratio (%) | Value (kN) | Decrease Ratio (%) | ||
| P0 | 0 (Beamonly) | 1776 | −51.55 | 1776 | −51.55 |
| P20 | 20 | 2986 | −18.54 | 2513 | −31.45 |
| P40 | 40 | 3356 | −8.45 | 2985 | −18.57 |
| P60 | 60 | 3579 | −2.37 | 3394 | −7.41 |
| P80 | 80 | 3652 | −0.38 | 3626 | −1.09 |
| P100 | 100 (full) | 3666 | 0 | 3666 | 0 |
| Model | Connection Ratio γ (%) | S3 | S3R | ||
|---|---|---|---|---|---|
| Value (kN) | Decrease Ratio (%) | Value (kN) | Decrease Ratio (%) | ||
| P0 | Not connected | 0 | −100 | 0 | −100 |
| P13 | 13 | 936 | −74.46 | 762 | −79.21 |
| P27 | 27 | 1506 | −58.91 | 1304 | −64.42 |
| P40 | 40 | 2101 | −42.68 | 1842 | −49.75 |
| P53 | 53 | 2671 | −27.14 | 2388 | −34.86 |
| P67 | 67 | 3212 | −12.38 | 2855 | −22.12 |
| P80 | 80 | 3581 | −2.31 | 3366 | −8.18 |
| P93 | 93 | 3665 | −0.02 | 3655 | −0.30 |
| P30 | 100 (full) | 3666 | 0 | 3666 | 0 |
| Model | Connectivity Ratio γ (%) | S4 | S4R | ||
|---|---|---|---|---|---|
| Value (kN) | Decrease Ratio (%) | Value (kN) | Decrease Ratio (%) | ||
| P0 | Not connected | 0 | −100 | 0 | −100 |
| P20 | 20 | 1589 | −56.65 | 1413 | −61.45 |
| P40 | 40 | 2463 | −32.81 | 2238 | −38.95 |
| P60 | 60 | 3298 | −10.03 | 3054 | −16.69 |
| P80 | 80 | 3638 | −0.76 | 3587 | −2.15 |
| P100 | 100 (full) | 3666 | 0 | 3666 | 0 |
Publisher’s Note: MDPI stays neutral with regard to jurisdictional claims in published maps and institutional affiliations. |
© 2022 by the authors. Licensee MDPI, Basel, Switzerland. This article is an open access article distributed under the terms and conditions of the Creative Commons Attribution (CC BY) license (https://creativecommons.org/licenses/by/4.0/).
Share and Cite
Yang, Y.; Mu, Z.; Zhu, B. Study on Shear Strength of Partially Connected Steel Plate Shear Wall. Metals 2022, 12, 1060. https://doi.org/10.3390/met12071060
Yang Y, Mu Z, Zhu B. Study on Shear Strength of Partially Connected Steel Plate Shear Wall. Metals. 2022; 12(7):1060. https://doi.org/10.3390/met12071060
Chicago/Turabian StyleYang, Yuqing, Zaigen Mu, and Boli Zhu. 2022. "Study on Shear Strength of Partially Connected Steel Plate Shear Wall" Metals 12, no. 7: 1060. https://doi.org/10.3390/met12071060
APA StyleYang, Y., Mu, Z., & Zhu, B. (2022). Study on Shear Strength of Partially Connected Steel Plate Shear Wall. Metals, 12(7), 1060. https://doi.org/10.3390/met12071060

