Copper-Based Alloys with Optimized Hardness and High Conductivity: Research on Precipitation Hardening of Low-Alloyed Binary CuSc Alloys
Abstract
:1. Introduction
2. Materials and Methods
3. Results
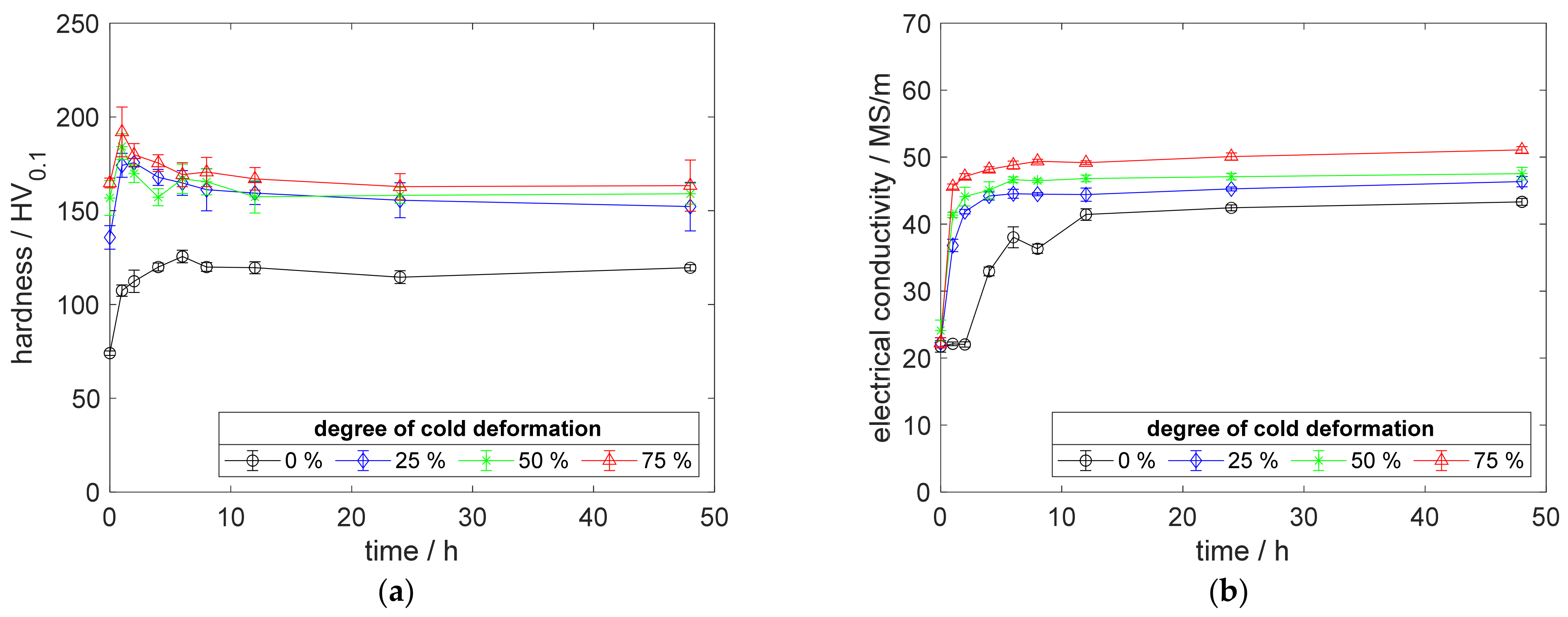
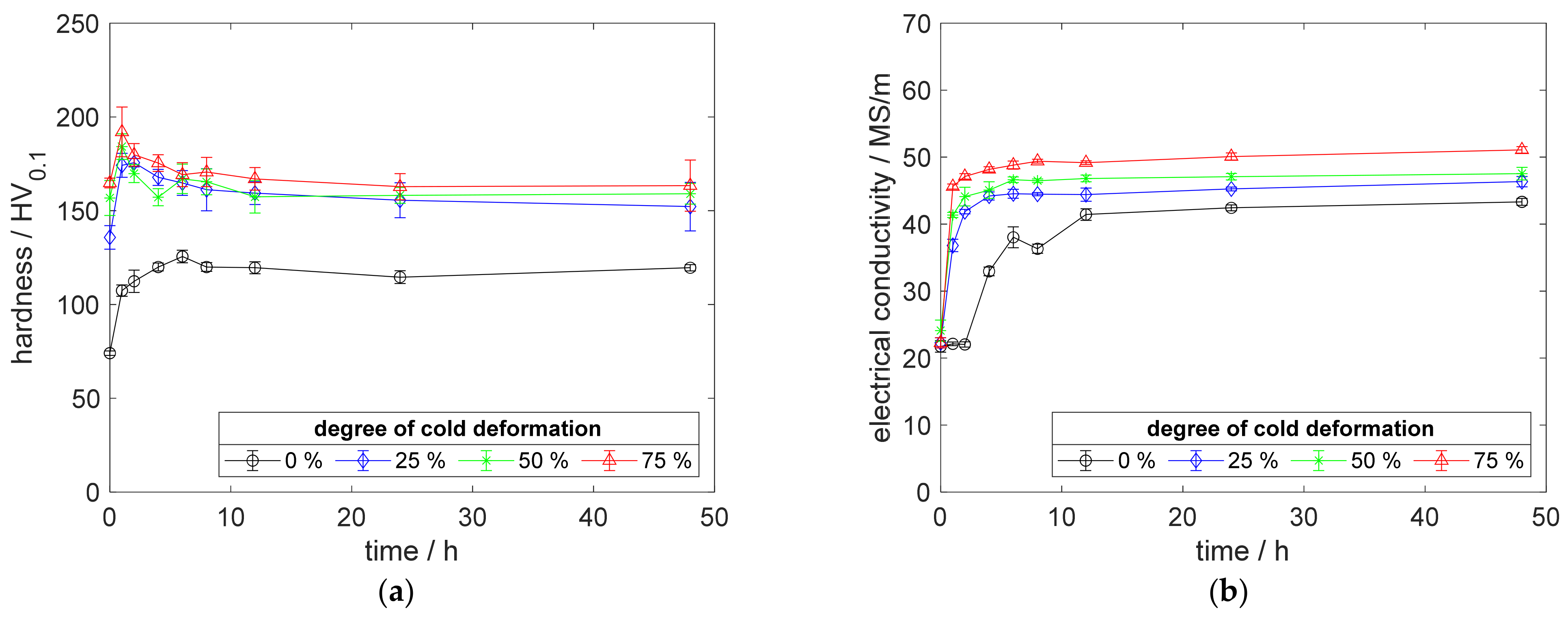
3.1. Results for Copper–Scandium Alloy CuSc0.3
3.1.1. Development of Material Properties
3.1.2. Analysis of Precipitates
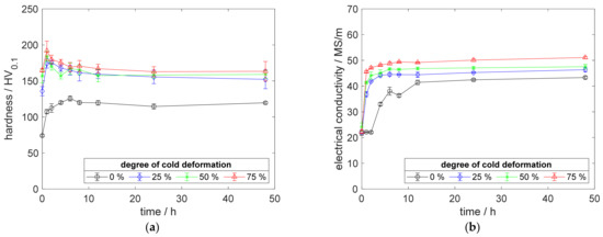
3.2. Results for Copper–Scandium Alloy CuSc0.15
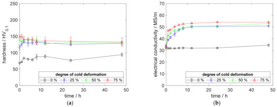
3.3. Results for Copper–Zirconium Alloy CuZr0.15
4. Discussion
4.1. Regarding the Electrical Conductivity
4.2. Utilizing Cold Deformation
4.3. Analyzing the Hardening Mechanism
4.4. Regarding Recrystallization Behavior and As-Cast Microstructure
4.5. Summary
5. Conclusions
- All alloys, CuZr0.15, CuSc0.15, and CuSc0.3, showed significant increases in the electrical conductivity, due to the aging treatment. Using a lower content of alloying elements resulted in a higher reachable electrical conductivity.
- The aging process was observed up to 48 h at 350 °C to 500 °C. Temperatures below 450 °C showed the greatest potential for precipitation hardening. After the peak-aged state of material hardness was reached, overaging followed and resulted in hardness decreases. Favorable temperature ranges were comparable for CuZr and CuSc alloys.
- Alloys with alloy content in the range of maximum solubility in copper (CuSc0.3 and CuZr0.15) showed the most significant potential for hardness increase, due to precipitation hardening. Regarding hardness, CuSc0.3 appeared to be outstanding, compared to the benchmark alloy CuZr0.15.
- For CuSc0.3, cold working highly supported the precipitation process and tremendously increased the peak hardness. A lower aging temperature and a higher degree of cold deformation resulted in excellent mechanical properties.
- Scandium-containing copper alloys appeared to be well-equipped, regarding their recrystallization behavior. Moreover, the discussed advantages directly compared to CuZr0.15 might suggest applications at higher operating temperatures.
Author Contributions
Funding
Data Availability Statement
Conflicts of Interest
Appendix A
A.1. Results for Copper–Zirconium Alloy CuZr0.15




A.2. Results for Copper–Scandium Alloy CuSc0.15




A.3. Results for Copper–Scandium Alloy CuSc0.3



A.4. Further Investigations on the Recrystallization Behavior

A.5. Further Investigations on the Grain Size

References
- Davis, J.R. Copper and Copper Alloys, 2nd ed.; ASM International: Novelty, OH, USA, 2008; ISBN 0871707268. [Google Scholar]
- Dies, K. Kupfer und Kupferlegierungen in der Technik; Springer: Berlin/Heidelberg, Germany, 2014; ISBN 978-3-642-48932-7. [Google Scholar]
- Porter, D.A.; Easterling, K.E.; Sherif, M.Y. (Eds.) Phase Transformations in Metals and Alloys, 4th ed.; CRC Press: Boca Raton, FL, USA, 2021; ISBN 9781003011804. [Google Scholar]
- Miyake, J.; Fine, M. Electrical conductivity versus strength in a precipitation hardened alloy. Acta Met. Mater. 1992, 40, 733–741. [Google Scholar] [CrossRef]
- Gottstein, G. Materialwissenschaft und Werkstofftechnik: Physikalische Grundlagen, 4th ed.; Springer Vieweg: Berlin/Heidelberg, Germany, 2014; ISBN 978-3-642-36602-4. [Google Scholar]
- ASM International. Properties and Selection: Nonferrous Alloys and Special-Purpose Materials, 10th ed.; ASM International: Novelty, OH, USA, 2000; ISBN 0871703785. [Google Scholar]
- Kupferinstitut, D. Niedriglegierte Kupferwerkstoffe: Eigenschaften-Verarbeitung-Verwendung. TechnologieForum Kupfer d. DKI 2012, 8, 1–36. [Google Scholar]
- Molodova, X.; Khorashadizadeh, A.; Gottstein, G.; Winning, M.; Hellmig, R.J. Thermal stability of ECAP processed pure Cu and CuZr. Int. J. Mater. Res. 2007, 98, 269–275. [Google Scholar] [CrossRef]
- Arias, D.; Abriata, J.P. Cu-Zr (Copper-Zirconium). J. Phase Equilibria Diffus. 1990, 11, 452–459. [Google Scholar] [CrossRef]
- Hashmi, S. (Ed.) Copper Alloys: Properties and Applications; Elsevier Inc.: Amsterdam, The Netherlands, 2017. [Google Scholar]
- Watanabe, H.; Miyamoto, K.; Kunimine, T.; Monzen, R.; Muramatsu, N.; Nomura, K.; Ueno, S. Effect of Thermo-Mechanical Treatment on Electrical Conductivity and Strength of Cu–0.29 mass%Zr Alloy Wires. Mater. Trans. 2021, 62, 1710–1715. [Google Scholar] [CrossRef]
- Peng, L.; Xie, H.; Huang, G.; Li, Y.; Yin, X.; Feng, X.; Mi, X.; Yang, Z. The phase transformation and its effects on properties of a Cu−0.12 wt% Zr alloy. Mater. Sci. Eng. A 2015, 633, 28–34. [Google Scholar] [CrossRef]
- Nakashima, K.; Miyamoto, K.; Kunimine, T.; Monzen, R.; Muramatsu, N. Precipitation behavior of Cu–Zr compounds in a Cu-0.13 wt%Zr alloy. J. Alloys Compd. 2019, 816, 152650. [Google Scholar] [CrossRef]
- Zhang, Z.-C.; Wang, R.-C.; Peng, C.-Q.; Feng, Y.; Wang, X.-F.; Wu, X.; Cai, Z.-Y. Effect of elevated-temperature annealing on microstructureand properties of Cu−0.15Zr alloy. Trans. Nonferrous Met. Soc. China 2021, 31, 3772–3784. [Google Scholar] [CrossRef]
- Riva, S.; Yusenko, K.V.; Lavery, N.P.; Jarvis, D.J.; Brown, S.G.R. The scandium effect in multicomponent alloys. Int. Mater. Rev. 2016, 61, 203–228. [Google Scholar] [CrossRef] [Green Version]
- Totten, G.E. (Ed.) Alloy Phase Diagrams, 1st ed.; ASM International: Novelty, OH, USA, 2017; ISBN 978-1-62708-070-5. [Google Scholar]
- Murray, J.L. The Al-Sc (aluminum-scandium) system. J. Phase Equilibria Diffus. 1998, 19, 380–384. [Google Scholar] [CrossRef]
- Ostermann, F. Anwendungstechnologie Aluminium, 3rd ed.; Springer Vieweg: Berlin/Heidelberg, Germany, 2014; ISBN 978-3-662-43806-0. [Google Scholar]
- Xu, C.; Xiao, W.; Hanada, S.; Yamagata, H.; Ma, C. The effect of scandium addition on microstructure and mechanical properties of Al–Si–Mg alloy: A multi-refinement modifier. Mater. Charact. 2015, 110, 160–169. [Google Scholar] [CrossRef]
- Zhang, W.; Liu, Y.; Yang, J.; Dang, J.; Xu, H.; Du, Z. Effects of Sc content on the microstructure of As-Cast Al-7wt.% Si alloys. Mater. Charact. 2012, 66, 104–110. [Google Scholar] [CrossRef]
- Pramod, S.L.; Rao, A.P.; Murty, B.S.; Bakshi, S.R. Effect of Sc addition and T6 aging treatment on the microstructure modification and mechanical properties of A356 alloy. Mater. Sci. Eng. A 2016, 674, 438–450. [Google Scholar] [CrossRef]
- Shevchenko, S.V.; Neklyudov, I.M.; Lopata, A.T.; Voevodin, V.; Sytin, V.I. Influence of Microadditions of Yttrium on the Structure, Mechanical Properties, and Conductivity of Copper. Mater. Sci. 2000, 36, 901–909. [Google Scholar] [CrossRef]
- Arzhavitin, V.M.; Korotkova, I.M.; Sytin, V.I. Grain-boundary internal friction of yttrium- or scandium-microalloyed copper. Russ. Met. Met. 2016, 2016, 229–234. [Google Scholar] [CrossRef]
- Wang, W.; Zhu, J.; Qin, N.; Zhang, Y.; Li, S.; Xiao, Z.; Lei, Q.; Li, Z. Effects of minor rare earths on the microstructure and properties of Cu-Cr-Zr alloy. J. Alloys Compd. 2020, 847, 155762. [Google Scholar] [CrossRef]
- Goncharuk, L.V.; Sidorko, V.R. Thermodynamic properties of scandium-copper compounds. Sov. Powder Met. Met. Ceram. 2006, 45, 72–75. [Google Scholar] [CrossRef]
- Subramanian, P.R.; Laughlin, D.E.; Chakrabarti, D.J. The Cu-Sc (Copper-Scandium) System. Bull. Alloy. Phase Diagr. 1988, 9, 378–382. [Google Scholar] [CrossRef]
- Predel, B. Cu-Sc (Copper-Scandium). In Phase Equilibria, Crystallographic and Thermodynamic Data of Binary Alloys—Group IV Physical Chemistry, 5th ed.; Madelung, B., Ed.; Springer: Berlin/Heidelberg, Germany, 1994. [Google Scholar] [CrossRef]
- Chakrabarti, D.J.; Laughlin, D.E. The Cr-Cu (Chromium-Copper) system. Bull. Alloy Phase Diagrams 1984, 5, 59–68. [Google Scholar] [CrossRef]
- Fuxiang, H.; Jusheng, M.; Honglong, N.; Zhiting, G.; Chao, L.; Shumei, G.; Xuetao, Y.; Tao, W.; Hong, L.; Huafen, L. Analysis of phases in a Cu–Cr–Zr alloy. Scr. Mater. 2003, 48, 97–102. [Google Scholar] [CrossRef]
- Peng, L.; Xie, H.; Huang, G.; Xu, G.; Yin, X.; Feng, X.; Mi, X.; Yang, Z. The phase transformation and strengthening of a Cu-0.71 wt% Cr alloy. J. Alloys Compd. 2017, 708, 1096–1102. [Google Scholar] [CrossRef]
- Zhao, Z.; Li, Z.; Lv, L. Quantum chemical calculations of thermodynamic and mechanical properties of the intermetallic phases in copper–scandium alloy. J. Theor. Comput. Chem. 2017, 16, 1750056. [Google Scholar] [CrossRef]
- Turchanin, M.A. Phase equilibria and thermodynamics of binary copper systems with 3d-metals. I. The copper-scandium system. Sov. Powder Met. Met. Ceram. 2006, 45, 143–152. [Google Scholar] [CrossRef]
- Franczak, K.; Kwaśniewski, P.; Kiesiewicz, G.; Zasadzińska, M.; Jurkiewicz, B.; Strzępek, P.; Rdzawski, Z. Research of mechanical and electrical properties of Cu–Sc and Cu–Zr alloys. Arch. Civ. Mech. Eng. 2020, 20, 28. [Google Scholar] [CrossRef] [Green Version]
- Shubin, A.B.; Shunyaev, K.Y. Copper-scandium system: Thermodynamic properties of intermetallics and liquid alloys. Russ. Met. Met. 2010, 2010, 672–677. [Google Scholar] [CrossRef]
- Hao, Z.; Xie, G.; Liu, X.; Tan, Q.; Wang, R. The precipitation behaviours and strengthening mechanism of a Cu-0.4 wt% Sc alloy. J. Mater. Sci. Technol. 2021, 98, 1–13. [Google Scholar] [CrossRef]
- Dölling, J.; Zilly, A. Niedriglegierte festigkeitsoptimierte Kupferbasislegierungen mit hohen Leitfähigkeitseigenschaften: Un-tersuchung des Potentials binärer CuSc-Legierungen. Metall 2021, 75, 328–331. [Google Scholar]
- Petzow, G. Metallographisches, Keramographisches, Plastographisches Ätzen, 7th ed.; Gebrüder Borntraeger: Stuttgart, Germany, 2015; ISBN 9783443230197. [Google Scholar]
- Li, H.; Xie, S.; Wu, P.; Mi, X. Study on improvement of conductivity of Cu-Cr-Zr alloys. Rare Met. 2007, 26, 124–130. [Google Scholar] [CrossRef]
- Kozeschnik, E. Modeling Solid-State Precipitation; Momentum Press: New York, USA, 2012; ISBN 9781606500644. [Google Scholar]
- Russell, K.C. Nucleation in solids: The induction and steady state effects. Adv. Colloid Interface Sci. 1980, 13, 205–318. [Google Scholar] [CrossRef]
- Paul, A.; Divinski, S.V. (Eds.) Handbook of Solid State Diffusion, 1st ed.; Elsevier: Amsterdam, The Netherlands, 2017; ISBN 9780128042878. [Google Scholar]
- Perez, M.; Dumont, M.; Acevedo-Reyes, D. Implementation of classical nucleation and growth theories for precipitation. Acta Mater. 2008, 56, 2119–2132. [Google Scholar] [CrossRef]
- Chbihi, A.; Sauvage, X.; Blavette, D. Atomic scale investigation of Cr precipitation in copper. Acta Mater. 2012, 60, 4575–4585. [Google Scholar] [CrossRef] [Green Version]
- Robson, J. Modelling the evolution of particle size distribution during nucleation, growth and coarsening. Mater. Sci. Technol. 2004, 20, 441–448. [Google Scholar] [CrossRef]
















Publisher’s Note: MDPI stays neutral with regard to jurisdictional claims in published maps and institutional affiliations. |
© 2022 by the authors. Licensee MDPI, Basel, Switzerland. This article is an open access article distributed under the terms and conditions of the Creative Commons Attribution (CC BY) license (https://creativecommons.org/licenses/by/4.0/).
Share and Cite
Dölling, J.; Henle, R.; Prahl, U.; Zilly, A.; Nandi, G. Copper-Based Alloys with Optimized Hardness and High Conductivity: Research on Precipitation Hardening of Low-Alloyed Binary CuSc Alloys. Metals 2022, 12, 902. https://doi.org/10.3390/met12060902
Dölling J, Henle R, Prahl U, Zilly A, Nandi G. Copper-Based Alloys with Optimized Hardness and High Conductivity: Research on Precipitation Hardening of Low-Alloyed Binary CuSc Alloys. Metals. 2022; 12(6):902. https://doi.org/10.3390/met12060902
Chicago/Turabian StyleDölling, Julia, Ramona Henle, Ulrich Prahl, Andreas Zilly, and Gerrit Nandi. 2022. "Copper-Based Alloys with Optimized Hardness and High Conductivity: Research on Precipitation Hardening of Low-Alloyed Binary CuSc Alloys" Metals 12, no. 6: 902. https://doi.org/10.3390/met12060902
APA StyleDölling, J., Henle, R., Prahl, U., Zilly, A., & Nandi, G. (2022). Copper-Based Alloys with Optimized Hardness and High Conductivity: Research on Precipitation Hardening of Low-Alloyed Binary CuSc Alloys. Metals, 12(6), 902. https://doi.org/10.3390/met12060902

