Effect of Internal Hydrogen on the Fatigue Crack Growth Rate in the Coarse-Grain Heat-Affected Zone of a CrMo Steel
Abstract
:1. Introduction
2. Materials and Methods
2.1. Materials
2.2. Hydrogen Diffusion and Hydrogen Charging
2.3. Fatigue Crack Growth Tests
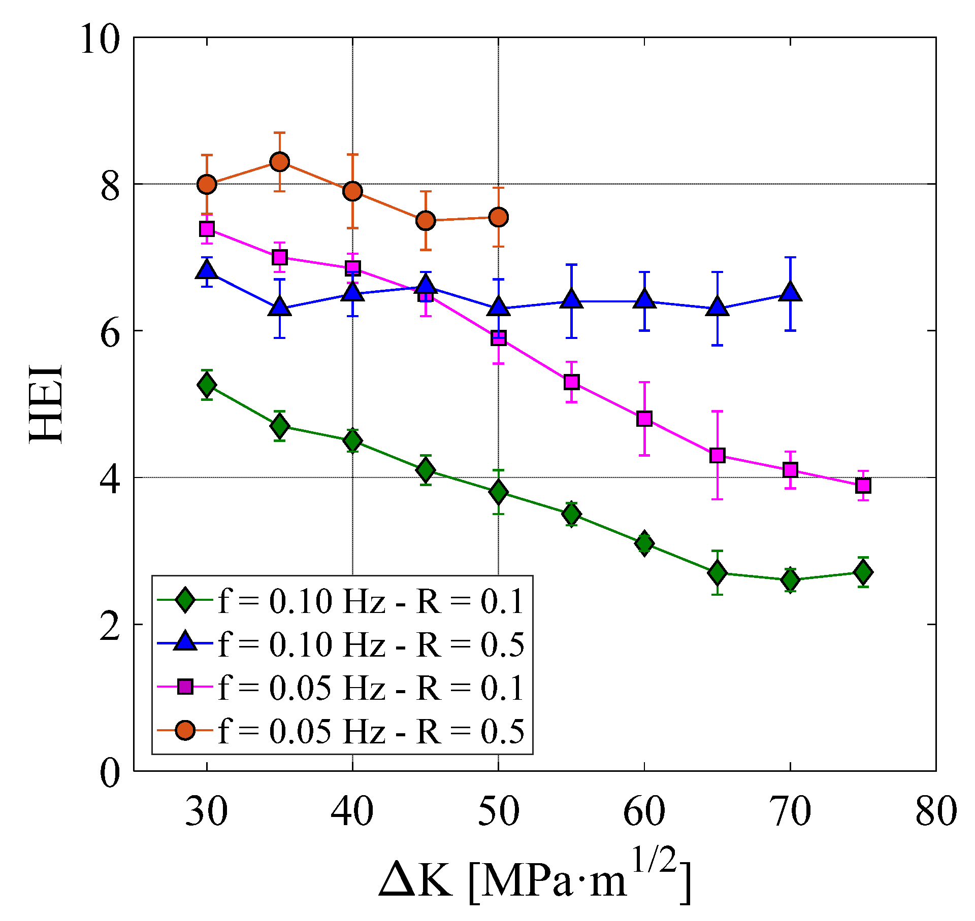
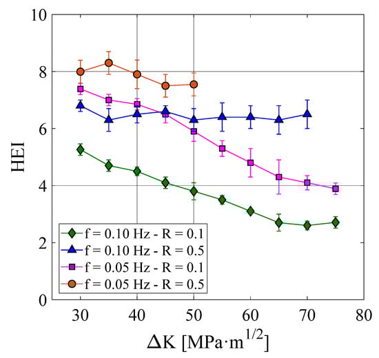
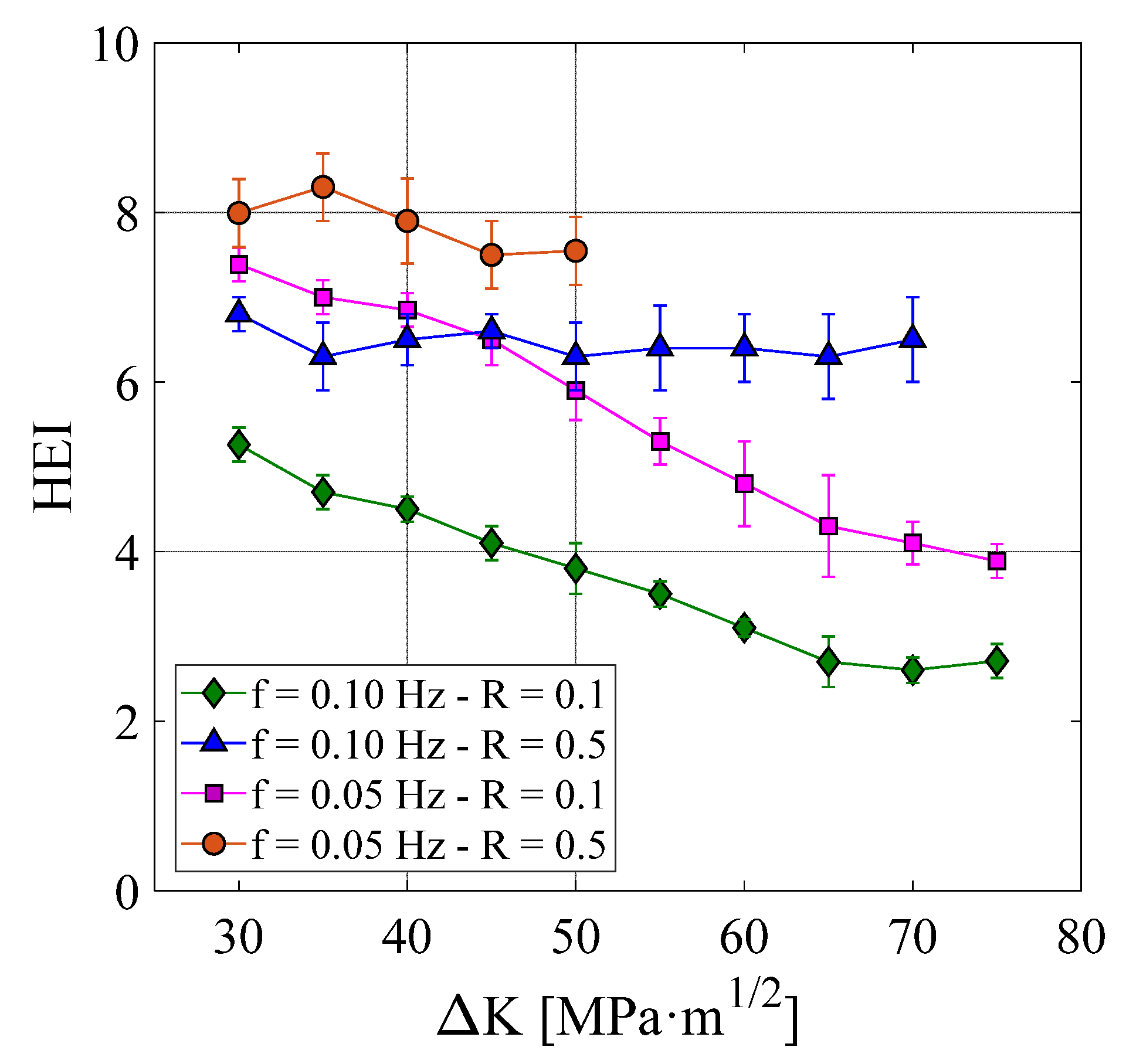
3. Results
4. Discussion
5. Conclusions
Author Contributions
Funding
Institutional Review Board Statement
Informed Consent Statement
Data Availability Statement
Acknowledgments
Conflicts of Interest
References
- AbouSeada, N.; Hatem, T.M. Climate action: Prospects of green hydrogen in Africa. Energy Rep. 2022, 8, 3873–3890. [Google Scholar] [CrossRef]
- Laureys, A.; Depraetere, R.; Cauwels, M.; Depover, T.; Hertelé, S.; Verbeken, K. Use of existing steel pipeline infrastructure for gaseous hydrogen storage and transport: A review of factors affecting hydrogen induced degradation. J. Nat. Gas Sci. Eng. 2022, 101, 104534. [Google Scholar] [CrossRef]
- Chapman, A.; Itaoka, K.; Farabi-Asl, H.; Fujii, Y. Nakahara, Societal penetration of hydrogen into the future energy system: Impacts of policy, technology and carbon targets. Int. J. Hydrogen Energy 2020, 45, 3883–3898. [Google Scholar] [CrossRef]
- Nykyforchyn, H.; Zvirko, O.; Hredil, M.; Krechkovska, H.; Tsyrulnyk, O.; Student, O.; Unigovskyi, L. Methodology of hydrogen embrittlement study of long-term operated natural gas distribution pipeline steels caused by hydrogen transport. Frat. Ed Integrita Strutt. 2022, 16, 396–404. [Google Scholar] [CrossRef]
- Peral, L.B.; Zafra, A.; Blasón, S.; Rodríguez, C.; Belzunce, J. Effect of hydrogen on the fatigue crack growth rate of quenched and tempered CrMo and CrMoV steels. Int. J. Fatigue 2019, 120, 201–214. [Google Scholar] [CrossRef]
- Alvaro, A.; Wan, D.; Olden, V.; Barnoush, A. Hydrogen enhanced fatigue crack growth rates in a ferritic Fe-3 wt%Si alloy and a X70 pipeline steel. Eng. Fract. Mech. 2019, 219, 106641. [Google Scholar] [CrossRef]
- Pallaspuro, S.; Yu, H.; Kisko, A.; Porter, D.; Zhang, Z. Fracture toughness of hydrogen charged as-quenched ultra-high-strength steels at low temperatures. Mater. Sci. Eng. A 2017, 688, 190–201. [Google Scholar] [CrossRef] [Green Version]
- Martínez-Pañeda, E.; Harris, Z.D.; Fuentes-Alonso, S.; Scully, J.R.; Burns, J.T. On the suitability of slow strain rate tensile testing for assessing hydrogen embrittlement susceptibility. Corros. Sci. 2019, 163, 108291. [Google Scholar] [CrossRef] [Green Version]
- Álvarez, G.; Peral, L.B.; Rodríguez, C.; García, T.E.; Belzunce, F.J. Hydrogen embrittlement of structural steels: Effect of the displacement rate on the fracture toughness of high-pressure hydrogen pre-charged samples. Int. J. Hydrogen Energy 2019, 44, 15634–15643. [Google Scholar] [CrossRef]
- Zafra, A.; Álvarez, G.; Belzunce, J.; Rodríguez, C. Influence of tempering time on the fracture toughness of hydrogen pre-charged 42CrMo4 steel. Theor. Appl. Fract. Mech. 2022, 117, 103197. [Google Scholar] [CrossRef]
- Shinko, T.; Hénaff, G.; Halm, D.; Benoit, G.; Bilotta, G.; Arzaghi, M. Hydrogen-affected fatigue crack propagation at various loading frequencies and gaseous hydrogen pressures in commercially pure iron. Int. J. Fatigue 2019, 121, 197–207. [Google Scholar] [CrossRef]
- Álvarez, G.; Zafra, A.; Belzunce, F.J.; Rodríguez, C. Hydrogen embrittlement analysis in a CrMoV steel by means of sent specimens, Theor. Appl. Fract. Mech. 2020, 106, 102450. [Google Scholar] [CrossRef]
- Álvarez, G.; Zafra, A.; Belzunce, F.J.; Rodríguez, C. Hydrogen embrittlement testing procedure for the analysis of structural steels with Small Punch Tests using notched specimens. Eng. Fract. Mech. 2021, 253, 107906. [Google Scholar] [CrossRef]
- Zafra, A.; Peral, L.B.; Belzunce, J.; Rodríguez, C. Effect of hydrogen on the tensile properties of 42CrMo4 steel quenched and tempered at different temperatures. Int. J. Hydrogen Energy 2018, 43, 9068–9082. [Google Scholar] [CrossRef]
- Colombo, C.; Fumagalli, G.; Bolzoni, F.; Gobbi, G. Fatigue behavior of hydrogen pre-charged low alloy Cr–Mo steel. Int. J. Fatigue 2016, 83, 2–9. [Google Scholar] [CrossRef]
- Lee, S.G.; Kim, I.S. Effect of pre-charged hydrogen on fatigue crack growth of low alloy steel at 288 °C. Mater. Sci. Eng. A 2006, 420, 279–285. [Google Scholar] [CrossRef]
- Sun, Z.; Benoit, G.; Moriconi, C.; Hamon, F.; Halm, D.; Hamon, G.F. Hénaff, Fatigue crack propagation under gaseous hydrogen in a precipitation-hardened martensitic stainless steel. Int. J. Hydrogen Energy 2011, 36, 8641–8644. [Google Scholar] [CrossRef]
- Meng, B.; Gu, C.; Zhang, L.; Zhou, C.; Li, X.; Zhao, Y.; Zheng, J.; Chen, X.; Han, Y. Hydrogen effects on X80 pipeline steel in high-pressure natural gas/hydrogen mixtures. Int. J. Hydrogen Energy 2017, 42, 7404–7412. [Google Scholar] [CrossRef]
- Macadre, A.; Artamonov, M.; Matsuoka, S.; Furtado, J. Effects of hydrogen pressure and test frequency on fatigue crack growth properties of Ni–Cr–Mo steel candidate for a storage cylinder of a 70 MPa hydrogen filling station. Eng. Fract. Mech. 2011, 78, 3196–3211. [Google Scholar] [CrossRef]
- Slifka, A.J.; Drexler, E.S.; Nanninga, N.E.; Levy, Y.S.; McColskey, J.D.; Amaro, R.L.; Stevenson, A.E. Fatigue crack growth of two pipeline steels in a pressurized hydrogen environment. Corros. Sci. 2014, 78, 313–321. [Google Scholar] [CrossRef]
- Yamabe, J.; Matsunaga, H.; Furuya, Y.; Hamada, S.; Itoga, H.; Yoshikawa, M.; Takeuchi, E.; Matsuoka, S. Qualification of chromium–molybdenum steel based on the safety factor multiplier method in CHMC1-2014. Int. J. Hydrogen Energy 2015, 40, 719–728. [Google Scholar] [CrossRef]
- Briottet, L.; Moro, I.; Escot, M.; Furtado, J.; Bortot, P.; Tamponi, G.M.; Solin, J.; Odemer, G.; Blanc, C.; Andrieu, E. Fatigue crack initiation and growth in a CrMo steel under hydrogen pressure. Int. J. Hydrogen Energy 2015, 40, 17021–17030. [Google Scholar] [CrossRef] [Green Version]
- Saxena, A.; Nibur, K.; Prakash, A. Applications of fracture mechanics in assessing integrity of hydrogen storage systems. Eng. Fract. Mech. 2018, 187, 368–380. [Google Scholar] [CrossRef]
- Zhao, W.; Yang, M.; Zhang, T.; Deng, Q.; Jiang, W.; Jiang, W. Study on hydrogen enrichment in X80 steel spiral welded pipe. Corros. Sci. 2018, 133, 251–260. [Google Scholar] [CrossRef]
- Cheng, X.; Cheng, X.; Jiang, C.; Zhang, X.; Wen, Q. Hydrogen diffusion and trapping in V-microalloyed mooring chain steels. Mater. Lett. 2018, 213, 118–121. [Google Scholar] [CrossRef]
- Guedes, D.; Malheiros, L.C.; Oudriss, A.; Cohendoz, S.; Bouhattate, J.; Creus, J.; Thébault, F.; Piette, M.; Feaugas, X. The role of plasticity and hydrogen flux in the fracture of a tempered martensitic steel: A new design of mechanical test until fracture to separate the influence of mobile from deeply trapped hydrogen. Acta Mater. 2020, 186, 133–148. [Google Scholar] [CrossRef]
- Álvarez, G.; Zafra, A.; Rodríguez, C.; Belzunce, F.J.; Cuesta, I.I. SPT analysis of hydrogen embrittlement in CrMoV welds. Theor. Appl. Fract. Mech. 2020, 110, 102813. [Google Scholar] [CrossRef]
- Parvathavarthini, N.; Saroja, S.; Dayal, R.K.; Khatak, H.S. Studies on hydrogen permeability of 2.25% Cr–1% Mo ferritic steel: Correlation with microstructure. J. Nucl. Mater. 2001, 288, 187–196. [Google Scholar] [CrossRef]
- Zafra, A.; Álvarez, G.; Belzunce, J.; Alegre, J.M.; Rodríguez, C. Fracture toughness of coarse-grain heat affected zone of quenched and tempered CrMo steels with internal hydrogen: Fracture micromechanisms. Eng. Fract. Mech. 2021, 241, 107433. [Google Scholar] [CrossRef]
- Devanathan, M.A.V.; Stachurski, Z. The Adsorption and Diffusion of Electrolytic Hydrogen in Palladium. Available online: https://royalsocietypublishing.org/ (accessed on 26 March 2022).
- ASTM G148; Standard Practice for Evaluation of Hydrogen Uptake, Permeation, and Transport in Metals by an Electrochemical Technique. ASTM: West Conshohocken, PA, USA, 2011. [CrossRef]
- Zafra, A.; Peral, L.B.; Belzunce, J. Hydrogen diffusion and trapping in A 42CrMo4 quenched and tempered steel: Influence of tempering temperature. Int. J. Hydrogen Energy. 2020, 45, 31225–31242. [Google Scholar] [CrossRef]
- ASTM E647; Standard Test Method for Measurement of Fatigue Crack Growth Rates. ASTM: West Conshohocken, PA, USA, 2016.
- Barsom, J.M.; Rolfe, S.T. Fracture and Fatigue Control in Structures: Applications of Fracture Mechanics; ASTM: West Conshohocken, PA, USA, 1999. [Google Scholar]
- Murakami, Y.; Matsuoka, S. Effect of hydrogen on fatigue crack growth of metals. Eng. Fract. Mech. 2010, 77, 1926–1940. [Google Scholar] [CrossRef] [Green Version]
- Oriani, R. The diffusion and trapping of hydrogen in steel. Acta Metall. 1970, 18, 147–157. [Google Scholar] [CrossRef]
- Sofronis, P.; McMeeking, R.M. Numerical analysis of hydrogen transport near a blunting crack tip. J. Mech. Phys. Solids 1989, 37, 317–350. [Google Scholar] [CrossRef]
- Anderson, T.L. Fracture mechanics Fundamentals and Applications, Angew. Chemie Int. Ed. 2001. [Google Scholar] [CrossRef]
- Djukic, M.B.; Bakic, G.M.; Zeravcic, V.S.; Sedmak, A.; Rajicic, B. The synergistic action and interplay of hydrogen embrittlement mechanisms in steels and iron: Localized plasticity and decohesion. Eng. Fract. Mech. 2019, 216, 106528. [Google Scholar] [CrossRef]
- Novak, P.; Yuan, R.; Somerday, B.P.; Sofronis, P.; Ritchie, R.O. A statistical, physical-based, micro-mechanical model of hydrogen-induced intergranular fracture in steel. J. Mech. Phys. Solids 2010, 58, 206–226. [Google Scholar] [CrossRef]









| %C | %Mn | %Si | %P | %S | %Cr | %Mo | %Ni |
|---|---|---|---|---|---|---|---|
| 0.14 | 0.56 | 0.16 | 0.005 | 0.002 | 2.23 | 1.00 | 0.09 |
| Material | σYS (MPa) | σu (MPa) | E (%) | Z (%) | HV30 (-) | Grain Size (μm) | Deff (m2/s) | C0 (ppm) | Cdiff (ppm) |
|---|---|---|---|---|---|---|---|---|---|
| Base Metal | 761 | 895 | 21 | 71 | 298 | 21 | 3.4 × 10−11 | 1.27 | 0.67 |
| CGHAZ-simulated | 931 | 1036 | 16 | 72 | 321 | 242 | 2.3 × 10−11 | 1.42 | 0.45 |
| Material | Fatigue Parameters | Fracture Micromechanisms | ||
|---|---|---|---|---|
| Condition | R | f (Hz) | ||
| BM | Air | 0.1 | 10.00 | Striations |
| CGHAZ-simulated | Air | 0.1 | 10.00 | Striations |
| Hydrogen | 0.1 | 0.10 | BLD + IG | |
| 0.1 | 0.05 | BLD + IG | ||
| 0.5 | 0.10 | IG + BLD | ||
| 0.5 | 0.05 | IG + BLD | ||
Publisher’s Note: MDPI stays neutral with regard to jurisdictional claims in published maps and institutional affiliations. |
© 2022 by the authors. Licensee MDPI, Basel, Switzerland. This article is an open access article distributed under the terms and conditions of the Creative Commons Attribution (CC BY) license (https://creativecommons.org/licenses/by/4.0/).
Share and Cite
Álvarez, G.; Zafra, A.; Belzunce, F.J.; Rodríguez, C. Effect of Internal Hydrogen on the Fatigue Crack Growth Rate in the Coarse-Grain Heat-Affected Zone of a CrMo Steel. Metals 2022, 12, 673. https://doi.org/10.3390/met12040673
Álvarez G, Zafra A, Belzunce FJ, Rodríguez C. Effect of Internal Hydrogen on the Fatigue Crack Growth Rate in the Coarse-Grain Heat-Affected Zone of a CrMo Steel. Metals. 2022; 12(4):673. https://doi.org/10.3390/met12040673
Chicago/Turabian StyleÁlvarez, Guillermo, Alfredo Zafra, Francisco Javier Belzunce, and Cristina Rodríguez. 2022. "Effect of Internal Hydrogen on the Fatigue Crack Growth Rate in the Coarse-Grain Heat-Affected Zone of a CrMo Steel" Metals 12, no. 4: 673. https://doi.org/10.3390/met12040673
APA StyleÁlvarez, G., Zafra, A., Belzunce, F. J., & Rodríguez, C. (2022). Effect of Internal Hydrogen on the Fatigue Crack Growth Rate in the Coarse-Grain Heat-Affected Zone of a CrMo Steel. Metals, 12(4), 673. https://doi.org/10.3390/met12040673

