Evaluation of Microstructural and Mechanical Behavior of AHSS CP780 Steel Welded by GMAW-Pulsed and GMAW-Pulsed-Brazing Processes
Abstract
:1. Introduction
2. Materials and Methods
2.1. Microstructural Characterization
2.2. Mechanical Evaluation
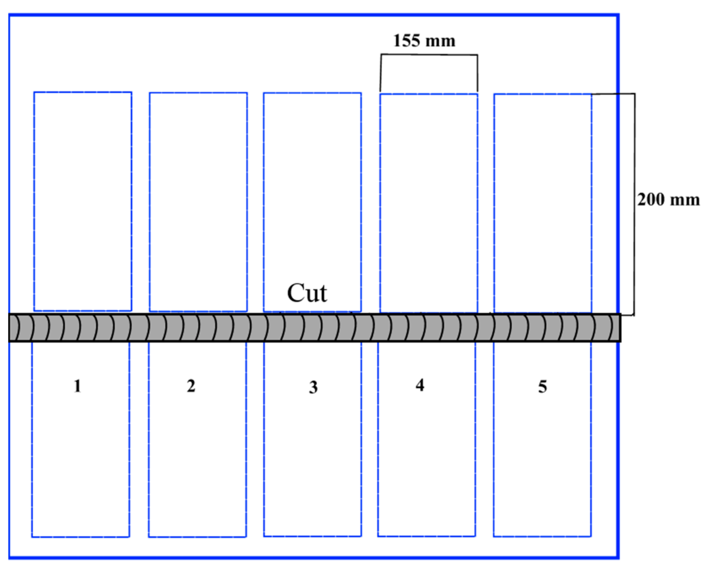
2.3. Free Fall Impact Tests
- m is the mass applied during the test (kg).
- g is the gravitational constant.
- h is the height where the mass was free leaving.
- v is the velocity of the mass reached during the test.
3. Results and Discussion
3.1. Microstructural Characterization of Base Metal
3.2. Microstructural Characterization of Lap Weldments
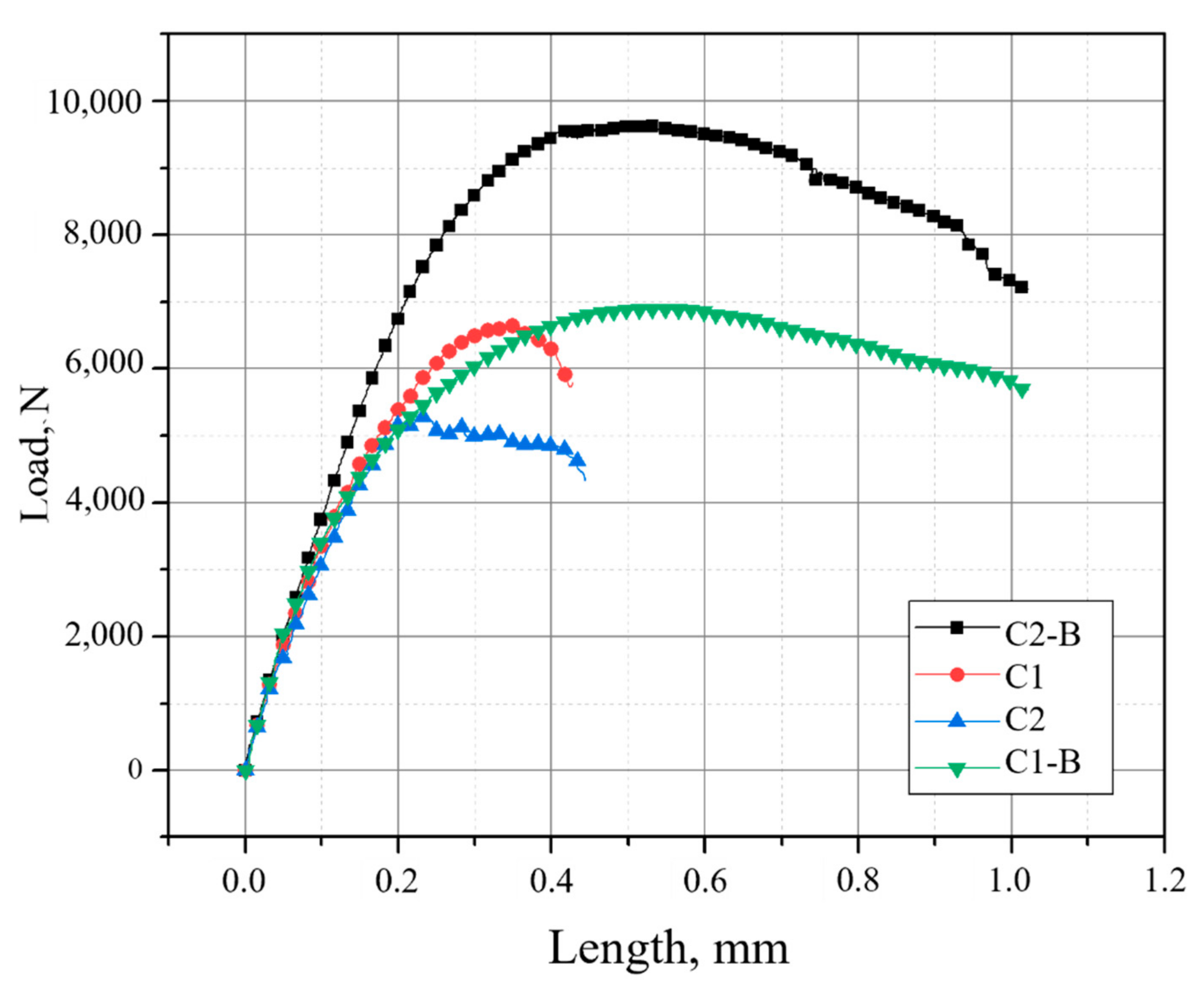
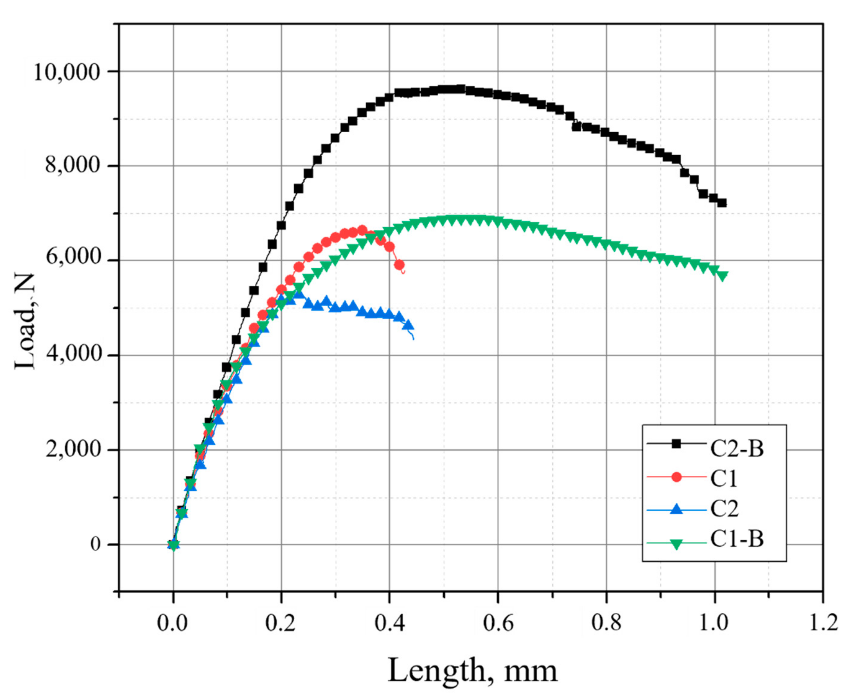
3.3. Mechanical Testing
3.4. Free Fall Testing
4. Conclusions
Author Contributions
Funding
Institutional Review Board Statement
Informed Consent Statement
Data Availability Statement
Acknowledgments
Conflicts of Interest
References
- Liang, X.; Wang, Y.; Chen, Y.; Deng, S. Advances in Emission Regulations and Emission Control Technologies for Internal Combustion Engines. SAE J. STEEP 2021, 2, 101–119. [Google Scholar] [CrossRef]
- Gould, J.; Khurana, S.; Li, T. Predictions of microstructures when welding automotive advanced high-strength steels. Weld. J. 2006, 85, 111. [Google Scholar]
- Shaw, J.; Engl, B.; Espina, C.; Oren, E.C.; Kawamoto, Y. ULSAB-advanced vehicle concepts–materials. SAE Tech. Paper 2002, 111, 21–29. [Google Scholar]
- Lopez-Cortez, V.; Reyes-Valdes, F.J.W.J. Understanding resistance spot welding of advanced high-strength steels. Weld. J. 2008, 87, 36–40. [Google Scholar]
- Cortez, V.H.L. Soldabilidad de Aceros Avanzados de Alta Resistencia AHSS Tipo Martensíticos Mediante Soldadura de Puntos Por Resistencia RSW en Componentes Automotrices. Ph.D. Thesis, COMIMSA, Saltillo, México, 30 January 2009. Available online: http://comimsa.repositorioinstitucional.mx/jspui/handle/1022/162 (accessed on 1 February 2022).
- DeRuntz, B.D. Assessing the benefits of surface tension transfer welding to industry. J. Ind. Technol. 2003, 19, 2–8. [Google Scholar]
- ESAB. ESAB Aristo Superpulse Expands Pulse MIG/MAG. Available online: http://www.esab.ch/global/en/news/ESAB-Aristo-SuperPulseexpands-pulse-MIGMAG.cfm (accessed on 1 February 2022).
- Kah, P.; Suoranta, R.; Martikainen, J. Advanced gas metal arc welding processes. Int. J. Adv. Manuf. Tech. 2013, 67, 655–674. [Google Scholar] [CrossRef]
- Kim, Y.; Park, K.; Kwak, S. A review of arc brazing process and its application in automotive. Int. J. Mech. Eng. Robot. Res. 2016, 5, 246. [Google Scholar] [CrossRef]
- Li, J.; Li, H.; Wei, H.; Ni, Y. Effect of pulse on pulse frequency on welding process and welding quality of pulse on pulse MIG welding-brazing of aluminum alloys to stainless steel. Int. J. Adv. Manuf. Tech. 2016, 87, 51–63. [Google Scholar] [CrossRef]
- Shome, M. Metal Inert Gas (MIG) brazing and friction stir spot welding of advanced high-strength steels (AHSS). In Welding and Joining of Advanced High Strength Steels (AHSS); Elsevier: Amsterdam, The Netherlands, 2015; pp. 137–165. [Google Scholar]
- Berczeli, M.; Weltsch, Z. Experimental Studies of Different Strength Steels MIG Brazed Joints. Period. Polytech. Trans. Eng. 2019, 47, 13. [Google Scholar] [CrossRef]
- Singh, J.; Arora, K.S.; Shajan, N.; Shukla, D.K.; Shome, M. Role of bead shape and dispersed intermetallic phases in determining the strength of CMT brazed DP780 lap joints. J. Manuf. Process. 2019, 44, 207–215. [Google Scholar] [CrossRef]
- Varol, F.; Ferik, E.; Ozsarac, U.; Aslanlar, S. Influence of current intensity and heat input in Metal Inert Gas-brazed joints of TRIP 800 thin zinc coated steel plates. Mater. Design 2013, 52, 1099–1105. [Google Scholar] [CrossRef]
- E407-07; Standard Practice for Microetching Metals and Alloys. ASTM: West Conshohocken, PA, USA, 2015.
- E384-17; Standard Test Method for Microindentation Hardness of Materials. ASTM: West Conshohocken, PA, USA, 2017.
- E208-06; Standard Test Methods for Conducting Drop-Weight Test to Determine Nil-Ductility Transition Temperature of Ferritic Steels. ASTM: West Conshohocken, PA, USA, 2012.
- Jewett, J.W.; Serway, R.J.V. Physics for Scientists and Engineers with Modern Physics, 9th ed.; Brooks/Cole: Boston, MA, USA, 2012. [Google Scholar]
- E-112; Standard Test Methods for Determining Average Grain Size. ASTM: West Conshohocken, PA, USA, 2013.
- Poliak, E.; Pottore, N.; Skolly, R.; Umlauf, W.; Brannbacka, J. Thermomechanical processing of advanced high strength steels in production hot strip rolling. Metallurgia Italiana 2009. Available online: http://www.esis-ph.eu/index.php/aim/article/download/383/352 (accessed on 1 February 2022).
- E562-02; Standard Test Method for Determining Volume Fraction by Systematic Manual Point Count. ASTM: West Conshohocken, PA, USA, 2013.
- Li, X.; Ramazani, A.; Prahl, U.; Bleck, W. Quantification of complex-phase steel microstructure by using combined EBSD and EPMA measurements. Mater. Charact. 2018, 142, 179–186. [Google Scholar] [CrossRef]
- Guzman-Aguilera, J.J.; Martinez-Gonzalez, C.J.; Baltazar-Hernandez, V.H.; Basak, S.; Panda, S.; Razmpoosh, M.; Gerlich, A.; Zhou, Y. Influence of SC-HAZ microstructure on the mechanical behavior of Si-TRIP steel welds. Mater. Sci. Eng. A 2018, 718, 216–227. [Google Scholar] [CrossRef]
- De Bruycker, E.; De Cooman, B.; De Meyer, M. Galvanizability of complex phase high strength steel. Metal. Mater. Trans. A 2004, 75, 147–152. [Google Scholar] [CrossRef]
- Singh, J.; Arora, K.S.; Shukla, D. Dissimilar MIG-CMT weld-brazing of aluminium to steel: A review. J. Alloy. Compd. 2019, 783, 753–764. [Google Scholar] [CrossRef]
- Roncery, L.M.; Weber, S.; Theisen, W. Welding of twinning-induced plasticity steels. Scripta Mater. 2012, 66, 997–1001. [Google Scholar] [CrossRef]
- Marconi, C.; Consigli, C.; Castillo, M.J.; Svoboda, H. Efecto de los Parámetros de Proceso sobre las Propiedades Mecánicas de Uniones GMAW-Brazing de Acero DP 1000. Soldagem Inspeção 2020, 25. [Google Scholar] [CrossRef]
- Lewinsohn, C.A. Mechanical Behavior of Materials by Norman E. Dowling. Mater. Manuf. Processes 2000, 15, 775–776. [Google Scholar] [CrossRef]
- Bagnoli, D.L.; Rafael, K.B. Fractography Handbook; Woohead Publishing: Cambridge, UK, 1987; pp. 37–450. [Google Scholar]
- Vezzù, S.; Scappin, M.; Boaretto, D.; Timelli, G. On the Effect of slight variations of Si, Mn, and Ti on inclusions properties, microstructure, and mechanical properties of YS460 C-Mn steel welds. Metall. Microstr. Analysis 2019, 8, 292–306. [Google Scholar] [CrossRef]
- Saha, D.C.; Chang, I.; Park, Y. Heat-affected zone liquation crack on resistance spot welded TWIP steels. Mater. Charact. 2014, 93, 40–51. [Google Scholar] [CrossRef]
- Yu, J.; Kim, D. Effects of welding current and torch position parameters on minimizing the weld porosity of zinc-coated steel. Int. J. Adv. Manuf. Tech. 2018, 95, 551–567. [Google Scholar] [CrossRef]
- Lee, S.; Kim, J.-H.; Barlat, F. Multi-Coefficient Optimization of Homogeneous Anisotropic Hardening Model for Ahss. Proc. IOP Conf. Ser. Mater. Sci. Eng. 2019, 651, 012018. [Google Scholar] [CrossRef]
- Svensson, L.; Gretoft, B. Microstructure and impact toughness of C-Mn weld metals. Weld. J. 1990, 69, 454. [Google Scholar]
- Jones, N. Impact loading of ductile rectangular plates. WIT Trans. Built Env. 2010, 113, 71–81. [Google Scholar]
- Xu, W.; Wang, Q.; Pan, T.; Su, H.; Yang, C. Effect of welding heat input on simulated HAZ microstructure and toughness of a VN microalloyed steel. J. Iron Steel Res. Int. 2007, 14, 234–239. [Google Scholar] [CrossRef]















| CP 780 | C | Mn | Ti | P | Cr | S | Si | Nb | Al |
| 0.101 | 1.084 | 0.132 | 0.0040 | 0.927 | 0.0038 | 0.495 | 0.015 | 0.017 | |
| ER80S-D2 | C | Mn | Si | S | P | Ni | Mo | Cu | Fe |
| 0.12 | 2.10 | 0.80 | 0.025 | 0.025 | 0.15 | 0.60 | 0.5 | Bal. | |
| ERCuAl-2 | Al | Fe | Si | Sn | Pb | Ni | Mn | P | Cu |
| 9.13 | 0.92 | 0.0038 | 0.0038 | 0.0015 | 0.15 | 0.0044 | 0.0016 | Bal. |
| Welding Variables | GMAW-P | GMAW-P-Brazing | ||
|---|---|---|---|---|
| Electrode | ER80S-D2 | ERCuAl-A2 | ||
| Condition | C1 | C2 | C1 | C2 |
| Current (A) | 99 | 129 | 75 | 87 |
| Voltage (V) | 32.2 | 29 | 29.5 | 29.7 |
| Welding speed (mm/s) | 7.5 | 7.5 | 7.5 | 7.5 |
| Gas flow rate (L/mm) | 15 | 15 | 15 | 15 |
| Heat input (kJ/mm) | 0.361 | 0.423 | 0.250 | 0.292 |
| Stick-out (mm) | 12 | 12 | 12 | 12 |
| Wire feed speed (m/min) | 3.3 | 3.7 | 4.5 | 5 |
| Working angle (°) | 20 | 20 | 20 | 20 |
| Sample | Load to Failure (N) | Failure Zone |
|---|---|---|
| C1 | 6640.22 | Fusion zone |
| C2 | 5290.56 | Fusion zone |
| C1-B | 6901.80 | Fusion zone |
| C2-B | 9639.20 | Fusion zone |
Publisher’s Note: MDPI stays neutral with regard to jurisdictional claims in published maps and institutional affiliations. |
© 2022 by the authors. Licensee MDPI, Basel, Switzerland. This article is an open access article distributed under the terms and conditions of the Creative Commons Attribution (CC BY) license (https://creativecommons.org/licenses/by/4.0/).
Share and Cite
Romero-Orozco, A.J.; Taha-Tijerina, J.J.; De Luna-Alanís, R.; López-Morelos, V.H.; Ramírez-López, M.d.C.; Salazar-Martínez, M.; Curiel-López, F.F. Evaluation of Microstructural and Mechanical Behavior of AHSS CP780 Steel Welded by GMAW-Pulsed and GMAW-Pulsed-Brazing Processes. Metals 2022, 12, 530. https://doi.org/10.3390/met12030530
Romero-Orozco AJ, Taha-Tijerina JJ, De Luna-Alanís R, López-Morelos VH, Ramírez-López MdC, Salazar-Martínez M, Curiel-López FF. Evaluation of Microstructural and Mechanical Behavior of AHSS CP780 Steel Welded by GMAW-Pulsed and GMAW-Pulsed-Brazing Processes. Metals. 2022; 12(3):530. https://doi.org/10.3390/met12030530
Chicago/Turabian StyleRomero-Orozco, Alan Jadir, José Jaime Taha-Tijerina, Rene De Luna-Alanís, Victor Hugo López-Morelos, María del Carmen Ramírez-López, Melchor Salazar-Martínez, and Francisco Fernando Curiel-López. 2022. "Evaluation of Microstructural and Mechanical Behavior of AHSS CP780 Steel Welded by GMAW-Pulsed and GMAW-Pulsed-Brazing Processes" Metals 12, no. 3: 530. https://doi.org/10.3390/met12030530
APA StyleRomero-Orozco, A. J., Taha-Tijerina, J. J., De Luna-Alanís, R., López-Morelos, V. H., Ramírez-López, M. d. C., Salazar-Martínez, M., & Curiel-López, F. F. (2022). Evaluation of Microstructural and Mechanical Behavior of AHSS CP780 Steel Welded by GMAW-Pulsed and GMAW-Pulsed-Brazing Processes. Metals, 12(3), 530. https://doi.org/10.3390/met12030530

