Research on Fatigue Life Prediction Method of Key Component of Turning Mechanism Based on Improved TCD
Abstract
1. Introduction
2. Materials and Methods
2.1. Theory of Critical Distances
- (1)
- Point Method (PM)
- (2)
- Line Method (LM)
2.2. Improved Theory of Critical Distances
2.2.1. Presentation of Novel Stress Function
2.2.2. Verification of the Validity of the Novel Function
2.2.3. Modification of the Critical Distance
3. Simulation and Experimental Validation
3.1. Prediction of Fatigue Strength of Notched Components with Regular Shape
3.2. Experimental Verification
3.2.1. Tensile Test of Standard Specimen
3.2.2. Fatigue Test of Notched Specimen
”, and if the number of cycles is less than the specified number of cycles, it is considered a “failure” event, indicated by “
”. Through the above analysis, the up-and-down diagram of the Q355 notched specimen is drawn, as shown in Figure 13.3.2.3. Results Analysis
4. Fatigue Life Prediction of the Rotating Arm Based on Improved TCD
4.1. Establishment of Finite Element Model and Stress Analysis
4.2. Calculation of the Rotating Arm Effective Stress
- (1)
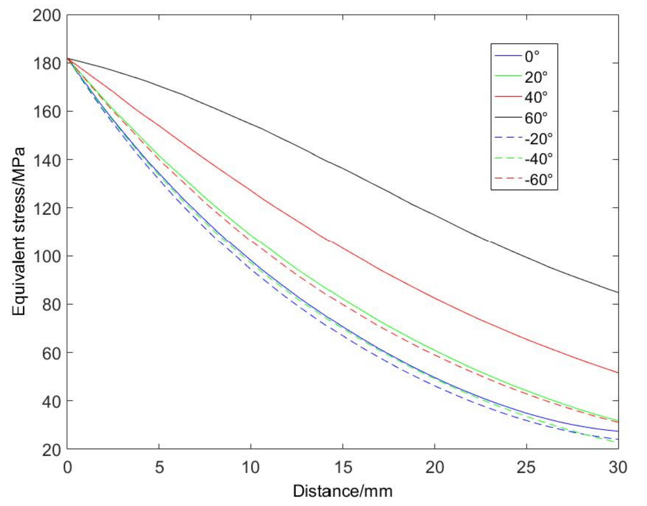
- Determine the coordinates of the point of maximum stress in the rotating arm, then draw a circle with that point as the center and a radius of 30 mm.
- (2)
- Select the directions 0°, 20°, 40°, 60°, −20°, −40°, and −60° in the circumferential direction and draw the corresponding stress–distance curves, as shown in Figure 17.
4.3. Establishment of S–N Curve
4.4. Analysis of Fatigue Life Prediction Results
5. Conclusions
- (1)
- The traditional theory of critical distances is improved in terms of both the stress function and the critical distance length. By analyzing the influence mechanism of the crucial dimensional parameters of the structure on the stress, a high-computational-efficiency and high-accuracy stress function is proposed by introducing the notch depth and net width into the traditional function. In addition, in this paper, we introduce a stress concentration factor to modify the critical distance length.
- (2)
- To verify the effectiveness of the improved TCD, a notched component with regular shape is selected for fatigue strength prediction. In addition, fatigue a test is carried out on the notched component. The error between the predicted and tested value is found to be 3.5%, indicating that the improved TCD in this paper is accurate and applicable to the fatigue study of notched components with regular shapes.
- (3)
- To accurately predict the fatigue life of key components of turning mechanisms with irregular shapes, the improved TCD method is used for fatigue life analysis. In comparison with existing test results, it is found that the improved TCD method has a higher prediction accuracy than the nominal stress method. This shows that the improved TCD can be used for fatigue life prediction of key components of turning mechanisms and provide a theoretical basis for fatigue life study of other notched components with irregular shapes in engineering.
Author Contributions
Funding
Institutional Review Board Statement
Informed Consent Statement
Data Availability Statement
Conflicts of Interest
References
- Kim, J.-S. Fatigue assessment of tilting bogie frame for Korean tilting train: Analysis and static tests. Eng. Fail. Anal. 2006, 13, 1326–1337. [Google Scholar] [CrossRef]
- Baek, S.H.; Cho, S.S.; Joo, W.S. Fatigue life prediction based on the rainflow cycle counting method for the end beam of a freight car bogie. Int. J. Automot. Technol. 2008, 9, 95–101. [Google Scholar] [CrossRef]
- Yang, B.; Duan, H.; Wu, S.; Kang, G. Damage Tolerance Assessment of a Brake Unit Bracket for High-Speed Railway Welded Bogie Frames. Chin. J. Mech. Eng. 2019, 32, 58. [Google Scholar] [CrossRef]
- Ge, X. Fatigue Life Analysis of Lifting Mechanism Based on Finite Element and Multi-Body Dynamics. Master’s Thesis, Qingdao University, Shandong, China, 2014. [Google Scholar]
- Qian, Z. Design and Research of the Executing Mechanism of Side Packed Compression Garbage Truck. Master’s Thesis, Shandong University of Science and Technology, Shandong, China, 2017. [Google Scholar]
- Neuber, H. Theory of Notch Stresses: Principles for Exact Calculation of Strength with Reference to Structural Form and Material, 2nd ed.; Springer: Berlin/Heidelberg, Germany, 1958. [Google Scholar]
- Peterson, R.E. Notch sensitivity. In Metal Fatigue; McGraw Hill: New York, NY, USA, 1959; pp. 293–306. [Google Scholar]
- Clegg, R.; Duan, K.; McLeod, A.J. The theory of critical distances and fatigue from notches in aluminium 6061. Fatigue Fract. Eng. Mater. Struct. 2012, 35, 13–21. [Google Scholar] [CrossRef]
- Louks, R.; Susmel, L. The linear-elastic Theory of Critical Distances to estimate high-cycle fatigue strength of notched metallic materials at elevated temperatures. Fatigue Fract. Eng. Mater. Struct. 2015, 38, 629–640. [Google Scholar] [CrossRef]
- Cheng, Z.; Liao, R.; Lu, W.; Wang, D. Fatigue notch factors prediction of rough specimen by the theory of critical distance. Int. J. Fatigue 2017, 104, 195–205. [Google Scholar] [CrossRef]
- Spaggiari, A.; Castagnetti, D.; Dragoni, E.; Bulleri, S. Fatigue life prediction of notched components: A comparison between the theory of critical distance and the classical stress-gradient approach. Procedia Eng. 2011, 10, 2755–2767. [Google Scholar] [CrossRef]
- Zamzami, A.l.; Susmel, L. On the accuracy of nominal, structural, and local stress based approaches in designing aluminium welded joints against fatigue. Int. J. Fatigue 2017, 101, 137–158. [Google Scholar] [CrossRef]
- Zheng, H.; Filippo, B.; Youshi, H. Comparison of TCD and SED methods in fatigue lifetime assessment. Int. J. Fatigue 2019, 123, 105–134. [Google Scholar]
- Glinka, G.; Newport, A. Universal features of elastic notch-tip stress fields. Int. J. Fatigue 1987, 9, 143–150. [Google Scholar] [CrossRef]
- Kujawski, D.; Shin, C. On the elastic longitudinal stress estimation in the neighbourhood of notches. Eng. Fract. Mech. 1997, 56, 137–138. [Google Scholar] [CrossRef]
- Filippi, S.; Lazzarin, P.; Tovo, R. Developments of some explicit formulas useful to describe elastic stress fields ahead of notches in plates. Int. J. Solids Struct. 2002, 39, 4543–4565. [Google Scholar] [CrossRef]
- Huang, N. Research on Fatigue Life Prediction Methods for Large-Scale Components. Master’s Thesis, Central South University, Changsha, China, 2013. [Google Scholar]
- Sun, D.; Hu, Z. Research of the Size Factor of Fatigue Strength Base on TCD Theory. Chin. Quart. Mech. 2015, 36, 288–295. [Google Scholar]
- Lanning, D.B.; Nicholas, T.; Haritos, G.K. On the use of critical distance theories for the prediction of the high cycle fatigue limit stress in notched Ti-6Al-4V. Int. J. Fatigue 2005, 27, 45–57. [Google Scholar] [CrossRef]
- Yamashita, Y.; Ueda, Y.; Kuroki, H.; Shinozaki, M. Fatigue life prediction of small notched Ti–6Al–4V specimens using critical distance. Eng. Fract. Mech. 2010, 77, 1439–1453. [Google Scholar] [CrossRef]
- Taddesse, A.T.; Zhu, S.-P.; Liao, D.; Huang, H.-Z. Cyclic plastic zone modified critical distance theory for notch fatigue analysis of metals. Eng. Fail. Anal. 2021, 121, 105163. [Google Scholar] [CrossRef]
- Yang, X.; Wang, J.; Liu, J. High temperature LCF life prediction of notched DS Ni-based superalloy using critical distance concept. Int. J. Fatigue 2011, 33, 1470–1476. [Google Scholar] [CrossRef]
- Wang, R.; Li, D.; Hu, D.; Meng, F.; Liu, H.; Ma, Q. A combined critical distance and highly-stressed-volume model to evaluate the statistical size effect of the stress concentrator on low cycle fatigue of TA19 plate. Int. J. Fatigue 2017, 95, 8–17. [Google Scholar] [CrossRef]
- Sun, S.; Yu, X.; Liu, Z.; Chen, X. Component HCF Research Based on the Theory of Critical Distance and a Relative Stress Gradient Modification. PLoS ONE 2016, 11, e0167722. [Google Scholar] [CrossRef]
- Moritz, B.; André, M.M.; Aleksandar-Saša, M. Requirements for stress gradient-based fatigue assessment of notched structures according to theory of critical distances. Fatigue Fract. Eng. Mater. Struct. 2020, 7, 1541–1554. [Google Scholar]
- Shen, J.; Fan, H.; Wang, J.; Yu, C.; Huang, Z. A fatigue life evaluation method for notched geometries considered the stress gradient concept. Int. J. Fract. 2021, 1–16. [Google Scholar] [CrossRef]
- Wang, R.; Liu, H.; Hu, D.; Li, D.; Mao, J. Evaluation of notch size effect on LCF life of TA19 specimens based on the stress gradient modified critical distance method. Fatigue Fract. Eng. Mater. Struct. 2018, 41, 1794–1809. [Google Scholar] [CrossRef]
- Li, Z.; Shi, D.; Li, S.; Yang, X.; Miao, G. A systematical weight function modified critical distance method to estimate the creep-fatigue life of geometrically different structures. Int. J. Fatigue 2019, 126, 6–19. [Google Scholar] [CrossRef]
- Susmel, L.; Taylor, D. A simplified approach to apply the theory of critical distances to notched components under torsional fatigue loading. Int. J. Fatigue 2006, 28, 417–430. [Google Scholar] [CrossRef]
- Susmel, L.; Taylor, D. A critical distance/plane method to estimate finite life of notched components under variable amplitude uniaxial/multiaxial fatigue loading. Int. J. Fatigue 2012, 38, 7–24. [Google Scholar] [CrossRef]
- Liu, B.; Yan, X. An extension research on the theory of critical distances for multiaxial notch fatigue finite life prediction. Int. J. Fatigue 2018, 117, 217–229. [Google Scholar] [CrossRef]
- Benedetti, M.; Fontanari, V.; Allahkarami, M.; Hanan, J.; Bandini, M. On the combination of the critical distance theory with a multiaxial fatigue criterion for predicting the fatigue strength of notched and plain shot-peened parts. Int. J. Fatigue 2016, 93, 133–147. [Google Scholar] [CrossRef]
- Nicholas, G.; Fatemi, A. Multiaxial variable amplitude fatigue life analysis including notch effects. Int. J. Fatigue 2016, 91, 337–351. [Google Scholar]
- Liu, Z.; Correia, J.; Carvalho, H. Global-local fatigue assessment of an ancient riveted metallic bridge based on submodelling of the critical detail. Fatigue Fract. Eng. Mater. Struct. 2019, 42, 546–560. [Google Scholar] [CrossRef]
- Horas, C.S.; Correia, J.; Jesus, A.D. Application of Modal Superposition Technique in the Fatigue Analysis Using Local Approaches. Procedia Eng. 2016, 160, 45–52. [Google Scholar] [CrossRef][Green Version]
- Liu, Y.; Deng, C.; Gong, B. Discussion on equivalence of the theory of critical distances and the coupled stress and energy criterion for fatigue strength prediction of notched specimens. Int. J. Fatigue 2020, 131, 105326. [Google Scholar] [CrossRef]
- Xu, R.X.; Thompson, J.C.; Topper, T.H. Practical stress expressions for stress concentration regions. Fatigue Fract. Eng. Mater. Struct. 1995, 18, 885–895. [Google Scholar] [CrossRef]
- Sánchez, M.; Cicero, S.; Arroyo, B.; Álvarez, J.A. Coupling Finite Element Analysis and the Theory of Critical Distances to Estimate Critical Loads in Al6060-T66 Tubular Beams Containing Notches. Metals 2020, 10, 1395. [Google Scholar] [CrossRef]
- Wang, J.; Yang, X. HCF strength estimation of notched Ti–6Al–4V specimens considering the critical distance size effect. Int. J. Fatigue 2012, 40, 97–104. [Google Scholar] [CrossRef]
- Wen, B. Mechanical Design Manual: Fatigue Strength and Reliability Design; China Machine Press: Beijing, China, 2015. [Google Scholar]
- ISO 6892-1: 2009; Metallic Materials—Tensile Test Method—Part 1: Method of Test at Room Temperature. ISO: Geneva, Switzerland, 2009.
- Zhang, C.; Jin, H.; Zhu, L. Experimental research on fatigue properties of Q345 steel after natural cooling down from high temperature. J. Build. Struct. 2020, 41, 78–85. [Google Scholar]
- He, X.; Xie, W. Several Test Methods of Fatigue Limits of Metalic Materials. Phys. Tes Anal. 2015, 51, 388–393. [Google Scholar]
- ISO 1099: 2017; Metallic Materials—Fatigue Testing—Axial Force-Controlled Method. ISO: Geneva, Switzerland, 2017.
- Kai, L.; Jiang, Q.; Wang, F. Cause of error in average and standard deviation of fatigue strength measured by up-and-down method. Phys. Tes Anal. 2021, 57, 7–13. [Google Scholar]
- Gao, Z. Fatigue Applied Statistics; National Defense Industry Press: Beijing, China, 1986. [Google Scholar]
- Li, R. Test study on fatigue property of thin steel sheet for automobile. Master’s Thesis, Dalian University of Technology, Dalian, China, 2012. [Google Scholar]
- Jia, D.; Liao, X.; Cui, J. Experimental Study on High Cycle Fatigue Behavior and γ-P-S-N Curves of Bridge Steel Q345qD. J. TJ. Univer. 2016, 49, 122–128. [Google Scholar]
- Yong, L.; An, Z.; Bo, L. Fatigue life prediction for wind turbine main shaft bearings. In Proceedings of the International Conference on Quality, Reliability, Risk, Maintenance, and Safety Engineering (QR2MSE), Chengdu, China, 15–17 July 2013. [Google Scholar]




















| Function | Semicircular Notch | V-Notch | U-Notch |
|---|---|---|---|
| Function (3) | 0.9850 | 0.8502 | 0.8444 |
| Function (4) | 0.9160 | 0.9225 | 0.9261 |
| Function (5) | 0.9200 | 0.9175 | 0.9140 |
| Function (6) | 0.9967 | 0.9732 | 0.9739 |
| Function (7) | 0.9992 | 0.9994 | 0.9995 |
| Function (8) | 0.9996 | 0.9998 | 0.9999 |
| Material | (MPa·m1/2) | |||||
|---|---|---|---|---|---|---|
| Q355 | 500 | 425 | −1 | 6.36 | 252 | 0.203 |
| Node Number | Distance of the Extracted Point (mm) | Maximum Principal Stress (MPa) |
|---|---|---|
| 1 | 0 | 79.55 |
| 2 | 0.20 | 63.12 |
| 3 | 0.40 | 52.12 |
| 4 | 0.60 | 46.76 |
| 5 | 0.80 | 42.73 |
| 6 | 1.00 | 40.08 |
| 7 | 1.20 | 38.21 |
| 8 | 1.40 | 36.84 |
| 9 | 1.60 | 35.92 |
| 10 | 1.80 | 35.19 |
| 11 | 2.00 | 34.62 |
| 12 | 2.20 | 34.25 |
| 13 | 2.40 | 33.89 |
| 14 | 2.60 | 33.71 |
| 15 | 2.80 | 33.52 |
| 16 | 3.00 | 33.40 |
| 17 | 3.20 | 33.31 |
| 18 | 3.40 | 33.24 |
| 19 | 3.60 | 33.20 |
| 20 | 3.80 | 33.17 |
| 21 | 4.00 | 33.17 |
| 0.2775 | −0.1477 | 1.1768 | −0.3068 |
| Element | C | Si | Mn | P | S | Cr | Ni |
|---|---|---|---|---|---|---|---|
| Content (%) | 0.14 | 0.25 | 0.33 | 0.021 | 0.007 | 0.04 | 0.01 |
| Specimen Number | (MPa) | (MPa) | (GPa) |
|---|---|---|---|
| 1 | 500 | 426 | 206 |
| 2 | 497 | 422 | 212 |
| 3 | 503 | 426 | 211 |
| Mean value | 500 | 425 | 210 |
| (MPa) | ||||
|---|---|---|---|---|
| 165.00 | 3 | 1 | 3 | 9 |
| 151.25 | 2 | 4 | 8 | 16 |
| 137.50 | 1 | 1 | 1 | 1 |
| Sum | - | 6 | 12 | 26 |
| Experimental Mean Value | Classic TCD | Improved TCD | |||
|---|---|---|---|---|---|
| Only Improved Stress Function | Only Improved Critical Distance Value | Both | |||
| Fatigue Strength (MPa) | 172 | 154.60 | 154.27 | 179.05 | 178 |
| Error | - | 10% | 10% | 4% | 3.5% |
| Experimental Life | Nominal Stress Method | Improved TCD | |
|---|---|---|---|
| Fatigue life (cycle) | 240,000 | 167,850 | 282,580 |
| Error | - | 30% | 18% |
Publisher’s Note: MDPI stays neutral with regard to jurisdictional claims in published maps and institutional affiliations. |
© 2022 by the authors. Licensee MDPI, Basel, Switzerland. This article is an open access article distributed under the terms and conditions of the Creative Commons Attribution (CC BY) license (https://creativecommons.org/licenses/by/4.0/).
Share and Cite
Wang, T.; Zhang, H.; Duan, Y.; Wang, M.; Qin, D. Research on Fatigue Life Prediction Method of Key Component of Turning Mechanism Based on Improved TCD. Metals 2022, 12, 506. https://doi.org/10.3390/met12030506
Wang T, Zhang H, Duan Y, Wang M, Qin D. Research on Fatigue Life Prediction Method of Key Component of Turning Mechanism Based on Improved TCD. Metals. 2022; 12(3):506. https://doi.org/10.3390/met12030506
Chicago/Turabian StyleWang, Tingting, Han Zhang, Yuechen Duan, Mengjian Wang, and Dongchen Qin. 2022. "Research on Fatigue Life Prediction Method of Key Component of Turning Mechanism Based on Improved TCD" Metals 12, no. 3: 506. https://doi.org/10.3390/met12030506
APA StyleWang, T., Zhang, H., Duan, Y., Wang, M., & Qin, D. (2022). Research on Fatigue Life Prediction Method of Key Component of Turning Mechanism Based on Improved TCD. Metals, 12(3), 506. https://doi.org/10.3390/met12030506

