Determination of Location-Specific Solidification Cracking Susceptibility for a Mixed Dissimilar Alloy Processed by Wire-Arc Additive Manufacturing
Abstract
:1. Introduction
2. Materials and Methods
3. Results
3.1. Characterization of Cracks
3.2. Evaluation of Location-Specific Solidification Cracking Susceptibility
4. Discussion
5. Conclusions
- The total entropy calculated using the CALPHAD method and the configurational entropy was the highest for 26 wt.% P91 alloy amongst the mixed compositions between P91 steel and 740H superalloy. It was fabricated using WAAM with a twin-wire feeder for maintaining the required composition and the interpass temperature was maintained to be 175 °C. This alloy was designed to act as a potential interlayer for joining P91 steel and 740H superalloy using AM.
- The 26 wt.% P91 alloy has a single-phase FCC structure with intergranular cracks of varying lengths in the top and middle portions of the build and no cracks in the bottom region. The extent of segregation of minor alloying elements such as Nb and Cu were different within/around the cracks in the top and middle portions of the sample.
- The cooling rate decreased and the SDAS increased from the top to bottom portion of the build. The solidification cracking susceptibility deduced using the Kou criterion coupled with DICTRA simulations was the highest for the top, and lowest for the bottom region. The calculated solidus temperatures using DICTRA from different regions were intermediate between the Scheil and equilibrium calculations.
- The enrichment of Cu (~87 wt.%) and Nb (~27 to 56 wt.%) was more pronounced in the top and middle regions in comparison with the bottom part of the sample, leading to suppression of the solidus temperature and an increase in the solidification range which, in turn, increased the solidification cracking susceptibility.
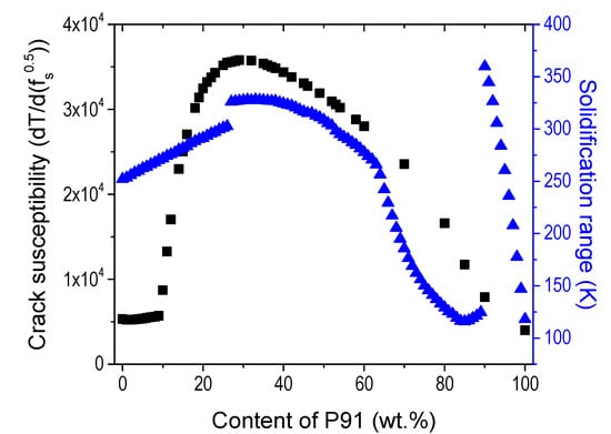
- The overall solidification cracking susceptibility was highest for the 26 wt.% P91 amongst the mixed composition between P91 steel and 740H superalloy and an abrupt increase in freezing range was observed at that composition. In order to mitigate solidification cracking, a different alloy with a lower freezing range as well as solidification cracking susceptibility needs to be chosen and the printing strategy needs to be altered by increasing the interpass temperature to decrease the cooling rate. The choice of alloy composition, as well as the deposition strategy, is important for achieving a crack-free build using WAAM.
Author Contributions
Funding
Institutional Review Board Statement
Informed Consent Statement
Data Availability Statement
Acknowledgments
Conflicts of Interest
References
- Abd El-Azim, M.E.; Ibrahim, O.H.; El-Desoky, O.E. Long term creep behaviour of welded joints of P91 steel at 650 °C. Mater. Sci. Eng. A 2013, 560, 678–684. [Google Scholar] [CrossRef]
- De Barbadillo, J.J.; Baker, B.A.; Virginia, W. Microstructure stability of Alloy 740H and its effect on material properties. In Proceedings of the ASME Symposium on Elevated Temperature Application of Materials for Fossil, Nuclear and Petrochemical Industries, Seattle, WA, USA, 25–27 March 2014; pp. 1–13. [Google Scholar]
- George, E.P.; Raabe, D.; Ritchie, R.O. High-entropy alloys. Nat. Rev. Mater. 2019, 4, 515–534. [Google Scholar] [CrossRef]
- Tsai, M.-H.; Yeh, J.-W. High-Entropy Alloys: A Critical Review. Mater. Res. Lett. 2014, 2, 107–123. [Google Scholar] [CrossRef]
- Miracle, D.B.; Senkov, O.N. A critical review of high entropy alloys and related concepts. Acta Mater. 2017, 122, 448–511. [Google Scholar] [CrossRef] [Green Version]
- Zhang, Y.; Zuo, T.T.; Tang, Z.; Gao, M.C.; Dahmen, K.A.; Liaw, P.K.; Lu, Z.P. Microstructures and properties of high-entropy alloys. Prog. Mater. Sci. 2014, 61, 1–93. [Google Scholar] [CrossRef]
- Gorsse, S.; Hutchinson, C.; Gouné, M.; Banerjee, R. Additive manufacturing of metals: A brief review of the characteristic microstructures and properties of steels, Ti-6Al-4V and high-entropy alloys. Sci. Technol. Adv. Mater. 2017, 18, 584–610. [Google Scholar] [CrossRef] [Green Version]
- Imran, M.K.; Masood, S.H.; Brandt, M.; Bhattacharya, S.; Mazumder, J. Direct metal deposition (DMD) of H13 tool steel on copper alloy substrate: Evaluation of mechanical properties. Mater. Sci. Eng. A 2011, 528, 3342–3349. [Google Scholar] [CrossRef]
- Domack, M.S.; Baughman, J.M. Development of nickel-titanium graded composition components. Rapid Prototyp. J. 2005, 11, 41–51. [Google Scholar] [CrossRef]
- Sahasrabudhe, H.; Harrison, R.; Carpenter, C.; Bandyopadhyay, A. Stainless steel to titanium bimetallic structure using LENSTM. Addit. Manuf. 2015, 5, 1–8. [Google Scholar] [CrossRef]
- Zhou, X.; Tian, Q.; Du, Y.; Zhang, Y.; Bai, X.; Zhang, Y.; Zhang, H.; Zhang, C.; Yuan, Y. Investigation of the effect of torch tilt and external magnetic field on arc during overlapping deposition of wire arc additive manufacturing. Rapid Prototyp. J. 2021, 27, 24–36. [Google Scholar] [CrossRef]
- Tang, S.; Wang, G.; Song, H.; Li, R.; Zhang, H. A novel method of bead modeling and control for wire and arc additive manufacturing. Rapid Prototyp. J. 2021, 27, 311–320. [Google Scholar] [CrossRef]
- Fang, X.; Ren, C.; Zhang, L.; Wang, C.; Huang, K.; Lu, B. A model of bead size based on the dynamic response of CMT-based wire and arc additive manufacturing process parameters. Rapid Prototyp. J. 2021, 27, 741–753. [Google Scholar] [CrossRef]
- Kulkarni, J.D.; Goka, S.B.; Parchuri, P.K.; Yamamoto, H.; Ito, K.; Simhambhatla, S. Microstructure evolution along build direction for thin-wall components fabricated with wire-direct energy deposition. Rapid Prototyp. J. 2021, 27, 1289–1301. [Google Scholar] [CrossRef]
- Chen, X.; Fu, Y.; Kong, F.; Li, R.; Xiao, Y.; Hu, J.; Zhang, H. An in-process multi-feature data fusion nondestructive testing approach for wire arc additive manufacturing. Rapid Prototyp. J. 2021. ahead-of-print. [Google Scholar] [CrossRef]
- Zhao, Y.; Li, K.; Gargani, M.; Xiong, W. A comparative analysis of Inconel 718 made by additive manufacturing and suction casting: Microstructure evolution in homogenization. Addit. Manuf. 2020, 36, 101404. [Google Scholar] [CrossRef]
- Sargent, N.; Jones, M.; Otis, R.; Shapiro, A.A.; Delplanque, J.-P.; Xiong, W. Integration of Processing and Microstructure Models for Non-Equilibrium Solidification in Additive Manufacturing. Metals 2021, 11, 570. [Google Scholar] [CrossRef]
- Jimenez, X.; Dong, W.; Paul, S.; Klecka, M.A.; To, A.C. Residual Stress Modeling with Phase Transformation for Wire Arc Additive Manufacturing of B91 Steel. JOM 2020, 72, 4178–4186. [Google Scholar] [CrossRef]
- Kou, S. A criterion for cracking during solidification. Acta Mater. 2015, 88, 366–374. [Google Scholar] [CrossRef]
- Kou, S. Solidification and liquation cracking issues in welding. JOM 2003, 55, 37–42. [Google Scholar] [CrossRef]
- Eskin, D.G.; Suyitno; Katgerman, L. Mechanical properties in the semi-solid state and hot tearing of aluminium alloys. Prog. Mater. Sci. 2004, 49, 629–711. [Google Scholar] [CrossRef]
- Prokhorov, N.N. Resistance to hot tearing of cast metals during solidification. Russ. Cast. Prod. 1962, 2, 172–175. [Google Scholar]
- Feurer, U. Mathematical model by the hot cracking tendency of binary aluminum alloys. Giessereiforschung 1976, 28, 75–80. [Google Scholar] [CrossRef]
- Nasresfahani, M.R.; Niroumand, B. A New Criterion for Prediction of Hot Tearing Susceptibility of Cast Alloys. Metall. Mater. Trans. A 2014, 45, 3699–3702. [Google Scholar] [CrossRef]
- Rappaz, M.; Drezet, J.-M.; Gremaud, M. A new hot-tearing criterion. Metall. Mater. Trans. A 1999, 30, 449–455. [Google Scholar] [CrossRef]
- Ploshikhin, V.; Prikhodovsky, A.; Makhutin, M.; Ilin, A.; Zoch, H.-W. Integrated Mechanical-Metallurgical Approach to Modeling of Solidification Cracking in Welds. In Hot Cracking Phenomena in Welds; Böllinghaus, T., Herold, H., Eds.; Springer: Berlin/Heidelberg, Germany, 2005; pp. 223–244. ISBN 978-3-540-27460-5. [Google Scholar]
- Malekshahi Beiranvand, Z.; Malek Ghaini, F.; Naffakh Moosavy, H.; Sheikhi, M.; Torkamany, M.J. An Analytical Model for Prediction of Solidification Cracking Susceptibility in Aluminum Alloys Taking into Account the Effect of Solidification Rate. Metall. Mater. Trans. A 2019, 50, 2835–2846. [Google Scholar] [CrossRef]
- Kou, S. A Simple Index for Predicting the Susceptibility to Solidification Cracking. Weld. J. 2015, 94, 374–388. [Google Scholar]
- Chen, Q.; Sundman, B. Computation of Partial Equilibrium Solidification with Complete Interstitial and Negligible Substitutional Solute Back Diffusion. Mater. Trans. 2002, 43, 551–559. [Google Scholar] [CrossRef] [Green Version]
- Giorjao, R.; Sutton, B.; Ramirez, A. New Composition Based Technique for Solidification Cracking Resistance Evaluation. Metall. Mater. Trans. A 2021, 52, 2512–2521. [Google Scholar] [CrossRef]
- Cao, Y.; Wei, H.L.; Yang, T.; Liu, T.T.; Liao, W.H. Printability assessment with porosity and solidification cracking susceptibilities for a high strength aluminum alloy during laser powder bed fusion. Addit. Manuf. 2021, 46, 102103. [Google Scholar] [CrossRef]
- Hyer, H.; Zhou, L.; Mehta, A.; Park, S.; Huynh, T.; Song, S.; Bai, Y.; Cho, K.; McWilliams, B.; Sohn, Y. Composition-dependent solidification cracking of aluminum-silicon alloys during laser powder bed fusion. Acta Mater. 2021, 208, 116698. [Google Scholar] [CrossRef]
- Dovgyy, B.; Simonelli, M.; Pham, M.-S. Alloy design against the solidification cracking in fusion additive manufacturing: An application to a FeCrAl alloy. Mater. Res. Lett. 2021, 9, 350–357. [Google Scholar] [CrossRef]
- Tinoco, J.; Fredriksson, H. Solidification of a Modified Inconel 625 Alloy under Different Cooling Rates. High Temp. Mater. Process. 2004, 23, 13–24. [Google Scholar] [CrossRef]
- Calcagnotto, M.; Ponge, D.; Demir, E.; Raabe, D. Orientation gradients and geometrically necessary dislocations in ultrafine grained dual-phase steels studied by 2D and 3D EBSD. Mater. Sci. Eng. A 2010, 527, 2738–2746. [Google Scholar] [CrossRef]
- Sridar, S.; Zhao, Y.; Xiong, W. Cyclic re-austenitization of copper-bearing high-strength low-alloy steels fabricated by laser powder bed fusion. Mater. Charact. 2020, 166, 110437. [Google Scholar] [CrossRef]
- Borland, J.; Younger, R. Some aspects of cracking in welded Cr-Ni austenitic steels. Br. Weld. J. 1960, 7, 22–59. [Google Scholar]
- Yan, F.; Yan, J.; Linder, D. Understanding Hot Cracking of Steels during Rapid Solidification: An ICME Approach. Mater. Proc. 2021, 3, 30. [Google Scholar] [CrossRef]
- Jena, A.K.; Chaturvedi, M.C. The role of alloying elements in the design of nickel-base superalloys. J. Mater. Sci. 1984, 19, 3121–3139. [Google Scholar] [CrossRef]
- Gokuldoss, P.K.; Kolla, S.; Eckert, J. Additive Manufacturing Processes: Selective Laser Melting, Electron Beam Melting and Binder Jetting—Selection Guidelines. Materials 2017, 10, 672. [Google Scholar] [CrossRef] [Green Version]









| Material | Composition (wt.%) | ||||||||||||
|---|---|---|---|---|---|---|---|---|---|---|---|---|---|
| Al | C | Co | Cr | Cu | Fe | Mn | Mo | Nb | Ni | Ti | Si | V | |
| P91 | 0.003 | 0.09 | - | 9.2 | 0.03 | Bal. | 0.45 | 0.91 | 0.052 | 0.4 | - | 0.26 | 0.21 |
| 740H | 1.4 | 0.03 | 20.3 | 24.6 | 0.02 | 0.2 | 0.24 | 0.5 | 1.49 | Bal. | 1.5 | 0.1 | - |
| 26 wt.% P91 | 1.037 | 0.046 | 15.02 | 20.6 | 0.023 | 23.13 | 0.29 | 0.61 | 1.12 | Bal. | 1.11 | 0.14 | 0.06 |
| Layer No. | Current (A) | Travel Speed (mm/s) |
|---|---|---|
| 26–58 | 162 | 5 |
| 6–25 | 166 | 5 |
| 5 | 175 | 5 |
| 4 | 195 | 5 |
| 3 | 205 | 5 |
| 2 | 215 | 4 |
| 1 | 255 | 3.5 |
Publisher’s Note: MDPI stays neutral with regard to jurisdictional claims in published maps and institutional affiliations. |
© 2022 by the authors. Licensee MDPI, Basel, Switzerland. This article is an open access article distributed under the terms and conditions of the Creative Commons Attribution (CC BY) license (https://creativecommons.org/licenses/by/4.0/).
Share and Cite
Sridar, S.; Sargent, N.; Wang, X.; Klecka, M.A.; Xiong, W. Determination of Location-Specific Solidification Cracking Susceptibility for a Mixed Dissimilar Alloy Processed by Wire-Arc Additive Manufacturing. Metals 2022, 12, 284. https://doi.org/10.3390/met12020284
Sridar S, Sargent N, Wang X, Klecka MA, Xiong W. Determination of Location-Specific Solidification Cracking Susceptibility for a Mixed Dissimilar Alloy Processed by Wire-Arc Additive Manufacturing. Metals. 2022; 12(2):284. https://doi.org/10.3390/met12020284
Chicago/Turabian StyleSridar, Soumya, Noah Sargent, Xin Wang, Michael A. Klecka, and Wei Xiong. 2022. "Determination of Location-Specific Solidification Cracking Susceptibility for a Mixed Dissimilar Alloy Processed by Wire-Arc Additive Manufacturing" Metals 12, no. 2: 284. https://doi.org/10.3390/met12020284
APA StyleSridar, S., Sargent, N., Wang, X., Klecka, M. A., & Xiong, W. (2022). Determination of Location-Specific Solidification Cracking Susceptibility for a Mixed Dissimilar Alloy Processed by Wire-Arc Additive Manufacturing. Metals, 12(2), 284. https://doi.org/10.3390/met12020284

