Research on Microstructure Characteristics of Welded Joint by Magneto-Optical Imaging Method
Abstract
:1. Introduction
2. Magnetic Optical Imaging and Materials
2.1. Magneto-Optical Imaging
2.2. Magnetic Domain Theory
2.3. Material and Laser Welding Parameters
3. Experimental Set-Up
Magnetic Dipole Model of Welded Joint
4. Result and Discussion
4.1. Characteristics of Mo Images of Welded Joint
4.2. Comparison of MO Microstructure and SEM Images of Welded Joint
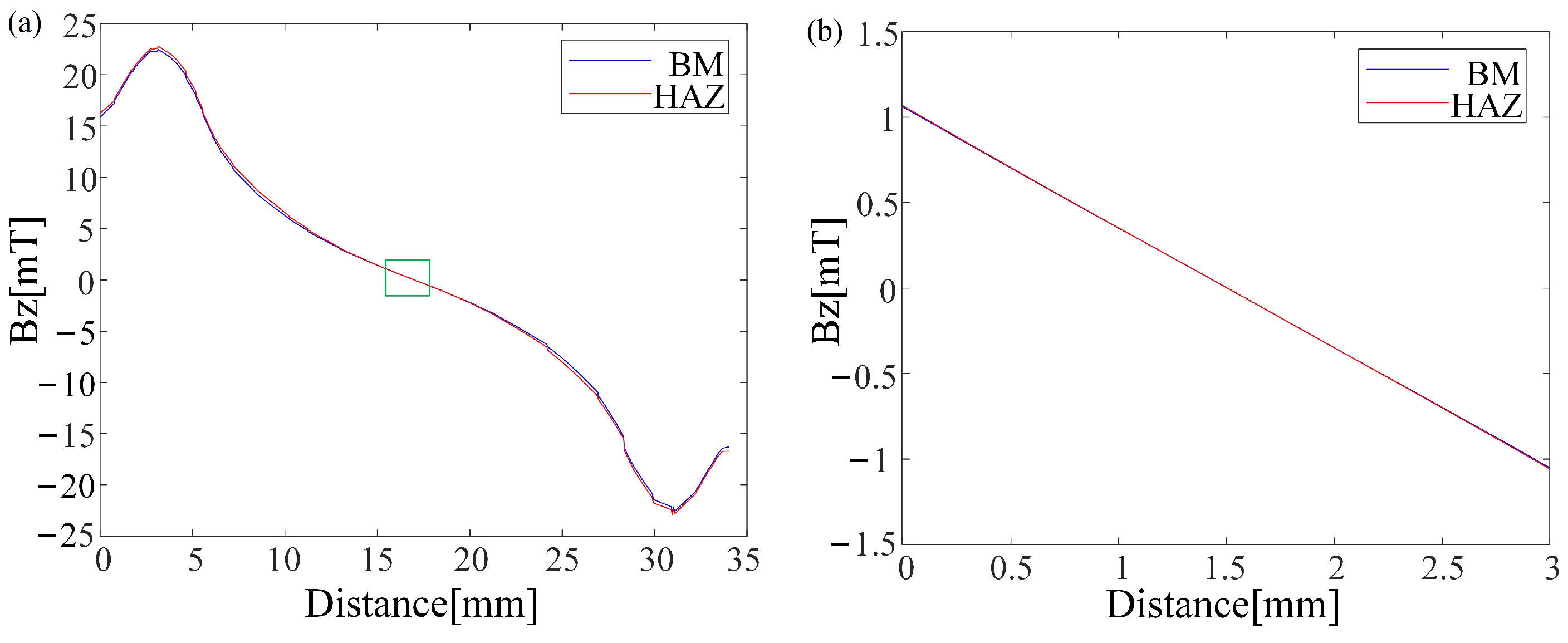
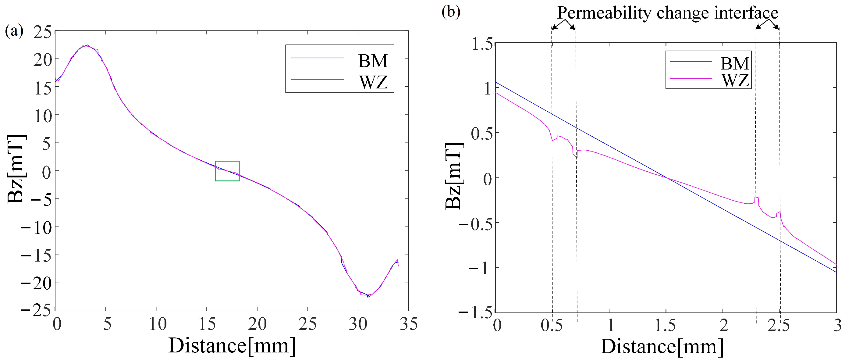
4.3. Magnetic Field Intensity Distribution of Welded Joint Simulation Model
5. Conclusions
Author Contributions
Funding
Institutional Review Board Statement
Informed Consent Statement
Data Availability Statement
Conflicts of Interest
References
- Zhang, Y.; You, D.; Gao, X.; Katayama, S. Online monitoring of welding status based on a DBN model during laser welding. Engineering 2019, 5, 671–678. [Google Scholar] [CrossRef]
- Gao, X.; Sun, Y.; Katayama, S. Neural network of plume and spatter for monitoring high-power disk laser welding. Int. J. Precis. Eng. Manuf.-Green Technol. 2014, 1, 293–298. [Google Scholar] [CrossRef]
- Riofrío, P.G.; Ferreira, J.A.; Capela, C.A. Imperfections and modelling of the weld bead profile of laser butt joints in HSLA steel thin plate. Metals 2021, 11, 151. [Google Scholar] [CrossRef]
- Oliveira, J.P.; Shen, J.; Zeng, Z.; Park, J.M.; Choi, Y.T.; Schell, N.; Maawad, E.; Zhou, N.; Kim, H.S. Dissimilar laser welding of a CoCrFeMnNi high entropy alloy to 316 stainless steel. Scr. Mater. 2022, 206, 114219. [Google Scholar] [CrossRef]
- Oliveira, J.; Schell, N.; Zhou, N.; Wood, L.; Benafan, O. Laser welding of precipitation strengthened Ni-rich NiTiHf high temperature shape memory alloys: Microstructure and mechanical properties. Mater. Des. 2019, 162, 229–234. [Google Scholar] [CrossRef]
- Oliveira, J.P.; Shen, J.; Escobar, J.; Salvador, C.; Schell, N.; Zhou, N.; Benafan, O. Laser welding of H-phase strengthened Ni-rich NiTi-20Zr high temperature shape memory alloy. Mater. Des. 2021, 202, 109533. [Google Scholar] [CrossRef]
- Zou, P.; Zhang, H.; Lei, M.; Cheng, D.; Huang, S.; Yang, F. Interfacial Microstructure and Formation of Direct Laser Welded CFRP/Ti-6Al-4V Joint. Metals 2021, 11, 1398. [Google Scholar] [CrossRef]
- Jin, Y.; Li, Y.L.; Zhang, H. Microstructure and mechanical properties of pulsed laser welded Al/steel dissimilar joint. Trans. Nonferrous Met. Soc. China 2016, 26, 994–1002. [Google Scholar]
- Maziarz, W.; Czaja, P.; Chulist, R.; Wójcik, A.; Żrodowski, Ł.; Morończyk, B.; Wróblewski, R.; Kowalczyk, M. Microstructure and Magnetic Properties of Selected Laser Melted Ni-Mn-Ga and Ni-Mn-Ga-Fe Powders Derived from as Melt-Spun Ribbons Precursors. Metals 2021, 11, 903. [Google Scholar] [CrossRef]
- Nykyforchyn, H.; Student, O.; Markov, A. Abnormal manifestation of the high-temperature degradation of the weld metal of a low-alloy steel welded joint. Mater. Sci. 2007, 43, 77–84. [Google Scholar] [CrossRef]
- Xiong, J.; Yang, X.; Lin, W.; Liu, K. Effects of welding parameters on microstructure and mechanical properties of underwater wet friction taper plug welded pipeline steel. Weld. World 2019, 63, 11–22. [Google Scholar] [CrossRef]
- Wu, S.; Han, B.; Zhao, D.; Ji, Y.; Shao, L. Effect of post weld heat treatment on microstructure and fracture toughness of friction welded joint. J. Wuhan Univ. Technol.-Mater. Sci. Ed. 2016, 31, 1347–1351. [Google Scholar] [CrossRef]
- Huaming, W.; Dong, L. Microstructure and mechanical properties of AF1410 ultra-high strength steel using laser additive manufacture technique. Chin. J. Lasers 2016, 43, 59–65. [Google Scholar]
- Kozhevnikov, V.Y.; Kharazov, V. Metallographic analysis of the welded joint in automatic argon-shielded non-consumable electrode welding. Weld. Int. 2017, 31, 951–953. [Google Scholar] [CrossRef]
- Zhang, H.; Li, J.; Guan, Z.; Liu, Y.; Qi, D.; Wang, Q. Electron beam welding of Nimonic 80A: Integrity and microstructure evaluation. Vacuum 2018, 151, 266–274. [Google Scholar] [CrossRef]
- Alam, F.; Ahmad, M.; Zafar, M.; Shinwari, M.I.; Luqman, M.; Novruz, N.E.; Sultana, S.; Ullah, F.; Ahmad, M. Intraspecific variation in spermoderm pattern of tribe Acacieae (Mimosoideae) using scanning electron microscopy techniques. Microsc. Res. Tech. 2019, 82, 114–121. [Google Scholar] [CrossRef] [PubMed]
- Dangwei, Z.; Jingwen, Z.; Xun, H. X-ray diffraction from self-originized quantum-dots. Acta Photonica Sin. 2002, 31, 837. [Google Scholar]
- Chapman, M.; Callahan, P.; De Graef, M. Determination of sample surface topography using electron back-scatter diffraction patterns. Scr. Mater. 2016, 120, 23–26. [Google Scholar] [CrossRef]
- Cao, X.; Zhu, P.; Ding, X.; Lu, Y.; Shoji, T. An investigation on microstructure and mechanical property of thermally aged stainless steel weld overlay cladding. J. Nucl. Mater. 2017, 486, 172–182. [Google Scholar] [CrossRef]
- Bulgarevich, D.S.; Tsukamoto, S.; Kasuya, T.; Demura, M.; Watanabe, M. Pattern recognition with machine learning on optical microscopy images of typical metallurgical microstructures. Sci. Rep. 2018, 8, 2078. [Google Scholar] [CrossRef]
- Winiczenko, R.; Kaczorowski, M. Friction welding of ductile cast iron using interlayers. Mater. Des. 2012, 34, 444–451. [Google Scholar] [CrossRef]
- Winiczenko, R.; Kaczorowski, M.; Skibicki, A. The microstructures, mechanical properties, and temperature distributions in nodular cast iron friction-welded joint. J. Braz. Soc. Mech. Sci. Eng. 2018, 40, 347. [Google Scholar] [CrossRef] [Green Version]
- Wanrong, G.; Chunkan, T.; Xiaochun, Y. Relationship between the two dimensional resolution and signal-to-noise ratio of laser confocal microscopy. Acta Photonica Sin. 2002, 31, 730. [Google Scholar]
- Ma, G.; Wu, D.; Niu, F.; Zou, H. Microstructure evolution and mechanical property of pulsed laser welded Ni-based superalloy. Opt. Lasers Eng. 2015, 72, 39–46. [Google Scholar] [CrossRef]
- Gao, X.; Mo, L.; Xiao, Z.; Chen, X.; Katayama, S. Seam tracking based on Kalman filtering of micro-gap weld using magneto-optical image. Int. J. Adv. Manuf. Technol. 2016, 83, 21–32. [Google Scholar] [CrossRef]
- Gao, X.; Du, L.; Ma, N.; Zhou, X.; Wang, C.; Gao, P.P. Magneto-optical imaging characteristics of weld defects under alternating and rotating magnetic field excitation. Opt. Laser Technol. 2019, 112, 188–197. [Google Scholar] [CrossRef]
- Gao, X.; Ma, N.; Du, L. Magneto-optical imaging characteristics of weld defects under alternating magnetic field excitation. Opt. Express 2018, 26, 9972–9983. [Google Scholar] [CrossRef]
- Gao, X.; Ding, D.; Bai, T.; Katayama, S. Weld-pool image centroid algorithm for seam-tracking vision model in arc-welding process. IET Image Process. 2011, 5, 410–419. [Google Scholar] [CrossRef]
- Xie, Z.; Gao, X. Edge detection of weld image based on Canny operator. Trans.-China Weld. Inst. 2006, 27, 29. [Google Scholar]
- Gao, X.; Zhen, R.; Xiao, Z.; Katayama, S. Modeling for detecting micro-gap weld based on magneto-optical imaging. J. Manuf. Syst. 2015, 37, 193–200. [Google Scholar] [CrossRef]
- Wang, J.; Ma, N.; Murakawa, H.; Teng, B.; Yuan, S. Prediction and measurement of welding distortion of a spherical structure assembled from multi thin plates. Mater. Des. 2011, 32, 4728–4737. [Google Scholar] [CrossRef]
- Ducharne, B.; Le, M.Q.; Sebald, G.; Cottinet, P.; Guyomar, D.; Hebrard, Y. Characterization and modeling of magnetic domain wall dynamics using reconstituted hysteresis loops from Barkhausen noise. J. Magn. Magn. Mater. 2017, 432, 231–238. [Google Scholar] [CrossRef] [Green Version]
- Ke, W.; Bu, X.; Oliveira, J.; Xu, W.; Wang, Z.; Zeng, Z. Modeling and numerical study of keyhole-induced porosity formation in laser beam oscillating welding of 5A06 aluminum alloy. Opt. Laser Technol. 2021, 133, 106540. [Google Scholar] [CrossRef]












| C | Si | Mn | P | S | Nb | B |
|---|---|---|---|---|---|---|
| 14 | 19 | 55 | 2.8 | 2.0 | Remainder | |
| Peak Power | Speed | Defocusing | Average Power | Pulse Duration |
|---|---|---|---|---|
| (kW) | (m/min) | (mm) | (W) | (ms) |
| 1.5 | 5 | 1 | 114.5 | 6 |
Publisher’s Note: MDPI stays neutral with regard to jurisdictional claims in published maps and institutional affiliations. |
© 2022 by the authors. Licensee MDPI, Basel, Switzerland. This article is an open access article distributed under the terms and conditions of the Creative Commons Attribution (CC BY) license (https://creativecommons.org/licenses/by/4.0/).
Share and Cite
Wang, C.; Wang, C.; Gao, X.; Tian, M.; Zhang, Y. Research on Microstructure Characteristics of Welded Joint by Magneto-Optical Imaging Method. Metals 2022, 12, 258. https://doi.org/10.3390/met12020258
Wang C, Wang C, Gao X, Tian M, Zhang Y. Research on Microstructure Characteristics of Welded Joint by Magneto-Optical Imaging Method. Metals. 2022; 12(2):258. https://doi.org/10.3390/met12020258
Chicago/Turabian StyleWang, Congyi, Chuncao Wang, Xiangdong Gao, Meng Tian, and Yanxi Zhang. 2022. "Research on Microstructure Characteristics of Welded Joint by Magneto-Optical Imaging Method" Metals 12, no. 2: 258. https://doi.org/10.3390/met12020258
APA StyleWang, C., Wang, C., Gao, X., Tian, M., & Zhang, Y. (2022). Research on Microstructure Characteristics of Welded Joint by Magneto-Optical Imaging Method. Metals, 12(2), 258. https://doi.org/10.3390/met12020258

