Next Article in Journal
Impact of Copper, Tin and Titanium Addition on Bending-Induced Damage of Intermetallic Phases in Hot Dip Galvanizing
Previous Article in Journal
Micro-Scale Flow Excitation under Imposition of Uniform Magnetic Field and Electrical Current
 
 
Font Type:
Arial Georgia Verdana
Font Size:
Aa Aa Aa
Line Spacing:
Column Width:
Background:
Article

Magnesium Oxide Nanoparticles (MgO-NPs) Alleviate Arsenic Toxicity in Soybean by Modulating Photosynthetic Function, Nutrient Uptake and Antioxidant Potential

by
Mohammad Faizan
1,†,
Javaid Akhtar Bhat
2,3,†,
Hamed A. El-Serehy
4,
Michael Moustakas
5,* and
Parvaiz Ahmad
6,*
1
Botany Section, School of Sciences, Maulana Azad National Urdu University, Hyderabad 500032, Andhra Pradesh, India
2
Zhejiang Lab., Hangzhou 311121, China
3
International Genome Center, Jiangsu University, Zhenjiang 212013, China
4
Department of Zoology, College of Science, King Saud University, Riyadh 1451, Saudi Arabia
5
Department of Botany, Aristotle University of Thessaloniki, 54124 Thessaloniki, Greece
6
Department of Botany, GDC Pulwama, Pulwama 192301, Jammu and Kashmir, India
*
Authors to whom correspondence should be addressed.
These authors contributed equally to this work.
Metals 2022, 12(12), 2030; https://doi.org/10.3390/met12122030
Submission received: 19 October 2022 / Revised: 16 November 2022 / Accepted: 17 November 2022 / Published: 26 November 2022

Abstract

The consequences of climate change, and the increased accumulation of metalloids, like arsenic (As), in the environment, are significantly affecting crop performance and yield. Arsenic interferes with various plant biochemical and physiological processes, which result in diminished plant growth and development. Magnesium oxide nanoparticles (MgO-NPs) can improve plant growth and contribute to plant tolerance of heavy metal/metalloid toxicity. During current research, the efficacy of MgO-NPs was assessed for lessening arsenic (As) toxicity in soybean plants. In our experiment As uptake, plant growth, antioxidant enzyme activity, nutrient content, photochemical efficiency and photosynthetic performance were evaluated with/without exogenous application of 500 mg L−1 MgO-NPs in the presence/absence of 150 µM As in soybean plants. Foliar application of MgO-NPs, in the presence of As, enhanced plant height and dry weight by 17% and 15% respectively, and improved net photosynthetic rate by 12.9%, stomatal conductance by 13.4%, intercellular CO2 concentration by 15.3% and transpiration rate by 14.7%, as well as nutrient uptake and photosystem II (PSII) efficiency. In contrast, it decreased As uptake and oxidative stress as evaluated with hydrogen peroxide (H2O2) and lipid peroxidation (MDA). Hence, field tests may be implemented to formulate MgO-NPs use in agriculture, in order to obtain sustainable crop production in arsenic-contaminated soils.

1. Introduction

The appearance of nanoparticles (NPs) in farming was established in the 21st century [1]. Nowadays, increased attention has been focused on the use of NPs to decrease the reliance on chemically synthesized fertilizers for feasible plant growth in order to meet the requirements of dietetic supplies of the speedily rising global population [2,3,4,5]. NPs extend the benefit of the efficient release of agro-chemicals because of their very high ratio of surface area to volume and quick mass relocation [6,7].
Magnesium (Mg) is a vital mineral nutrient for all living organisms and it is being considered as a non-toxic element in nature. In plants, the majority of Mg2+ is allied with proteins and chlorophyll molecules and works as a cofactor of enzymes participating in the photosynthetic fixation of carbon metabolism [8]. Mg deficiency directly influences the growth, physiology and metabolism of plants [9]. Magnesium oxide nanoparticles (MgO-NPs), which are non-toxic and cheaply available, can exert significant roles in the morpho-physiological functioning of the plants [10]. They have effective antibacterial, anticancer and antioxidative properties [11], offering plants stress resistance and increased plant growth [11]. Photosynthetic attributes along with chlorophyll content have been reported to increase significantly in plants treated with MgO-NPs [12]. Recent studies reported that MgO-NPs have been used for improving plant growth and development and preventing As toxicity, and that green MgO-NPs significantly improved seed germination rate and growth, contributing to agricultural sustainability [11,12,13].
Arsenic (As) is an environmental toxin that is found naturally in all soils, and its occurrence in the environment due to mining processes, As-based pesticides and irrigation with As contaminated ground water is hazardous, while its human accumulation through the food chain is a worldwide concern [14]. Arsenic is readily taken up by root cells and inside the cell it disrupts phosphate-dependent aspects of metabolism, alters nitrogen and sulfur assimilation pathways, affects numerous enzymes involved in the antioxidant defense network, and induces reactive oxygen species (ROS) generation [15]. At elevated amounts As triggers plant aging acceleration that leads to plant death [16]. Arsenic toxicity causes reduction of the photosynthesis rate [16,17], which might be attributed in part to metal-mediated decrease in water transport [18]. Arsenic accumulation in plants damages the chloroplast membranes and disorganizes membrane structure considerably [16,17], possibly due to the oxidative stress caused by ROS [19]. Plant transpiration is reduced by As and even low As concentration can repress the number of nitrogen-fixing root nodules in soybean [16]. The mechanisms underlying MgO-NPs offering plant stress resistance are not clearly elucidated, and have recently attracted increased attention [11].
In the present experiment, we aimed to assess the efficacy of foliar applied MgO-NPs in soybean under As stress. We mainly pay attention on how MgO-NPs alter the physiological responses of soybean under As exposure, by examining photosynthesis processes, nutrient uptake, oxidative stress and antioxidant enzyme activities.

2. Materials and Methods

2.1. Materials and Growth Conditions

Soybean (Glycine max) seeds were sterilized using sodium hypochlorite (0.5%, v/v) for 8 min, afterward soaked in double-distilled water (DDW) for 10 min, and germinated in Petri dishes. The seedlings at the 5-day stage were transferred into 20 pots (5 replicates of each treatment with each pot containing 4–5 seedlings) that were filled with soil and manure. Simple randomized block design was followed during the experiment. Twenty-one days after sowing (DASs), soybean seedlings were treated via soil with 150 µM As (supplied as sodium arsenite, NaAsO2). At the stage of 30 DASs, soybean plants were treated with MgO-NPs (500 mg L−1) via foliar spray, every 24 h for one week (30–36 DASs). Various parameters of plants were studied 45 DASs.

2.2. Determination of Growth Characteristics

Plant height was measured using a meter scale while dry weight was considered by drying the plants in an oven for 72 h at 72 °C.

2.3. SPAD Index Calculation

A SPAD chlorophyll meter (SPAD-502; Konica, Minolta Sensing, Inc., Sakai, Osaka, Japan) was used to measure the chlorophyll content (SPAD index).

2.4. Determination of Photosynthetic Efficiency

A saturation-pulse fluorometer PAM-2000 (Walz, Effeltrich, Germany) was utilized to measure chlorophyll fluorescence parameters for photosynthetic performance evaluation. The maximum efficiency of photosystem II (PSII) photochemistry (Fv/Fm) and the effective quantum yield of PSII photochemistry (ΦPSII) were calculated.
Net photosynthetic rate (PN), stomatal conductance (gs), intercellular CO2 concentration (Ci) and transpiration rate (E) of soybean was measured using a portable infra-red gas analyzer (Li-COR 6200, Portable Photosynthesis System, Lincoln, NA, USA).

2.5. Enzymatic Activity Assays

For the estimation of antioxidant enzymes, the leaf tissue (0.5 g) was homogenized in a 50 mM phosphate buffer (pH 7.0) containing 1% polyvinylpyrrolidone. The mixture was centrifuged at 15,000× g for 10 min at 4 °C, and the resulting supernatant was used as a source for estimating the enzyme activities of catalase (CAT, 1.11.1.6), peroxidase (POD, EC 1.11.1.7) and superoxide dismutase (SOD, EC 1.15.1.1). For the estimation of POD activity, the enzyme extract (0.1 mL) was added in the reaction mixture of pyrogallol, phosphate buffer (pH 6.8) and 1% H2O2. The change in the absorbance was read at every 20 s for 2 min at 420 nm [20]. A control mixture was prepared by adding double distilled water (DDW) instead of enzyme extract. The reaction mixture for CAT consisted of phosphate buffer (pH 6.8), 0.1 M H2O2 and enzyme extract (0.10 mL). Sulfuric acid (H2SO4) was added to the reaction mixture, and after its incubation for 1 min at 25 °C, it was titrated against potassium permanganate solution (KMnO4) [20]. The activity of SOD was assayed by measuring its ability to inhibit the photochemical reduction of nitroblue tetrazolium (NBT) following the method of Beauchamp and Fridovich [21]. The reaction mixture consisted of 50 mM phosphate buffer (pH 7.8), 20 μM riboflavin, 75 mM NBT, 13 mM methionine and 0.1 mM ethylene diamine tetra acetic acid (EDTA). The mixture was illuminated with two fluorescent light tubes (40 μmol m−2 s−1) for 10 min. The absorbance was measured at 560 nm with a UV–visible spectrophotometer. Blank and controls were also run in the same manner but without illumination and enzyme, respectively. The amount of SOD activity that gave half-maximal inhibition of NBT reduction was defined as one unit of SOD activity.

2.6. Lipid Peroxidation (MDA) and Hydrogen Peroxide (H2O2) Determination

Malondialdehyde (MDA) content, representing the degree of lipid peroxidation, and hydrogen peroxide (H2O2) generation were estimated as described by Faizan et al. [5]. For lipid peroxidation, fresh leaves were homogenized in 0.1% trichloroacetic acid (TCA) and centrifuged at 10,000× g for 15 min. A 20% TCA solution containing 0.5% thiobarbituric acid (TBA) was added to the supernatant. The resulting mixture was heated at 95 °C for 30 min. After cooling, it was centrifuged at 1000× g for 15 min at 4 °C. The absorbance of the supernatant was read at 532 nm. For estimation of H2O2 content, leaf tissues (0.5 g) were homogenized in 10 mL cold acetone using a mortar and pestle. The homogenate was centrifuged at 5000× g for 15 min and the supernatant was kept. Residue was again extracted with acetone. One mL of the supernatant was taken in the test tube and two mL of 17 M ammonia and two mL of 20% titanium chloride (prepared in conc. HCl) were added. The supernatant was again extracted with acetone, and 10 mL of 2 N H2SO4 was added to the precipitate. The reaction mixture was again centrifuged to remove the undissolved inputs. The optical density was measured at 410 nm on a spectrophotometer against blank. The content of H2O2 in the plant samples was assessed in relation to the standard curve adopted from the known concentration of H2O2 and was formulated as μmole g−1 fresh weight.

2.7. Estimation of Arsenic and Protein Content

The procedure of Bradford [22] was employed for the assessment of protein content in soybean leaves. For the estimation, fresh leaves (1 g) were homogenized in a buffer consisting of 40 mM tris-HCl (pH 7.5), 0.07% β-mercaptoethanol, 2% polyvinylpyrrolidone, 0.5% Triton X-100, 1 mM phenyl methane sulfonyl fluoride (PMSF) and 1 mM EDTA, and the mixture was centrifuged at 20,000× g for 10 min. The supernatant was collected, and Bradford [22] reagent was added for color development. Absorbance was read in a spectrophotometer, and protein content was expressed as mg g−1 (FW).
Arsenic (As) concentration in roots was calculated by drying the samples for 48 h at 80 °C to constant weight. The powder was digested with HNO3/HClO4 (3:1, v/v). Arsenic was calculated in samples via an atomic absorption spectrophotometer (GBC, 92 plus, GBC Scientific Instruments, Braeside, Australia).

2.8. Mineral Nutrient Analysis

Leaf and root samples, before and after 500 mg L−1 MgO-NPs application in soybean plants, stressed or not with 150 µM As, were dried (after they have been washed with DDW) at 80 °C for 48 h to constant biomass. After digestion, an absorption spectrophotometer was used to analyze zinc (Zn), copper (Cu), potassium (K), calcium (Ca), magnesium (Mg), sulfur (S) and manganese (Mn) content in leaf and root samples.

2.9. Statistical Analysis

Analysis of variance (ANOVA) was conducted followed by Tukey’s test for post hoc analysis, using SPSS v18.0 for Windows (IBM Corporation, New York, NY, USA) at a p < 0.05 level.

3. Results

3.1. MgO-NPs Impact on Growth

Arsenic supplementation in the soil reduced soybean’s height and dry weight by 46% and 42%, respectively (Figure 1A,B). Foliar fertigation of MgO-NPs significantly increased the above parameters in the presence/absence of As. In the presence of As, foliar application of MgO-NPs increased plant height and dry weight by 17% and 15% respectively, compared to control plants (Figure 1A,B).

3.2. Effect of MgO-NPs on Chlorophyll Content (SPAD Index)

Chlorophyll content, measured as a SPAD index, significantly decreased in the presence of As, while foliar fertigation of MgO-NPs considerably increased the SPAD index in the presence/absence of As (Figure 1C). Sprayed soybean plants with MgO-NPs displayed an increase in the SPAD index by 33% over the control plants (Figure 1C).

3.3. Effect of MgO-NPs on Photosynthesis

Arsenic treatment decreased considerably both the maximum efficiency of PSII photochemistry (Fv/Fm) and the effective quantum yield of PSII photochemistry (ΦPSII) by 36% and 40%, respectively, compared to controls (Figure 1D,E). However, application of MgO-NPs in arsenic-stressed soybean enhanced Fv/Fm and ΦPSII by 72.97% and 91.66%, respectively (Figure 1D,E).
Arsenic toxicity decreased net photosynthesis (PN), stomatal conductance (gs), intercellular CO2 concentration (Ci) and transpiration rate (E) by 42.6%, 45.1%, 43.5% and 40.4%, respectively, in reference to control (Figure 2A–D). The application of MgO-NPs in As-stressed plants enhanced PN, gs, Ci and E by 12.9%, 13.4%, 15.3% and 14.7%, respectively, compared to control plants (Figure 2A–D).

3.4. Impact of MgO-NPs on Lipid Peroxidation (MDA) and Hydrogen Peroxide (H2O2) Content

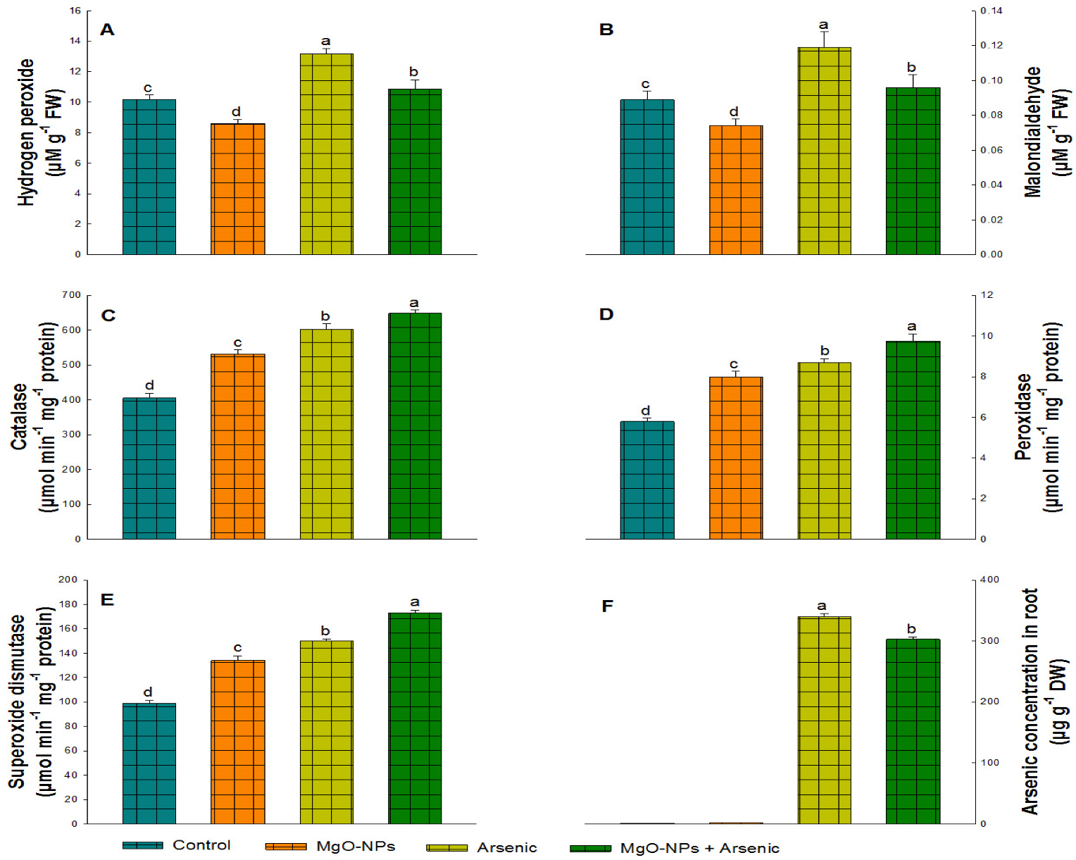
Arsenic toxicity enhanced malondialdehyde (MDA) content, representing the degree of lipid peroxidation, and hydrogen peroxide (H2O2) generation by 34.6% and 29.7%, respectively, compared to controls (Figure 3A,B). However, foliar application of MgO-NPs in As stressed soybeans reduced both MDA and H2O2 compared to As stressed soybeans (Figure 3A,B).

3.5. Impacts of MgO-NPs on Antioxidant Enzymes

Antioxidant enzyme activities, as stress markers, increased in plants containing As by 48.6% (CAT), 51% (POD) and 52.1% (SOD) in reference to control plants (Figure 3C–E). However, foliar exposure of MgO-NPs in arsenic-contaminated plants further boosted the activities of CAT, POD and SOD by 60.1%, 68.4% and 75.1% respectively, compared to controls (Figure 3C–E).

3.6. MgO-NPs Impact on Protein and Arsenic Content

Exogenous exposure of MgO-NPs in soybean plants significantly enhanced the protein content (17%), whereas arsenic stress reduced protein content by 46% (Figure 2E). Application of MgO-NPs in arsenic-stressed plants reduced As toxicity and increased the protein content by 5% over control (Figure 2E).
Arsenic content considerably increased in plants treated with 150 µM As. However, application of MgO-NPs in soybean plants reduced As content significantly (Figure 3F).

3.7. Effect of Arsenic on Mineral Nutrient Contents

Our data show that As-mediated stress modified the mineral content of soybean roots and leaves. In As-stressed soybean plants the content of Zn, Cu, K, Ca, S and Mn in leaves and roots decreased compared to controls, while Mg content decreased in leaves but increased in roots, and N content increased in both leaves and roots. Foliar spray with MgO-NPs enhanced the content of Zn, Cu, K, Ca, Mg, S, N and Mn in roots and leaves in the presence/absence of arsenic (Figure 4 and Figure 5). The MgO-NPs treatment increased the content of Zn by 22%, Cu by 16%, K by 12%, Ca by 10%, Mg by 58%, S by 33%, N by 10% and Mn by 17% in the roots of soybean plants compared to As-stressed plants (Figure 4A–H). Yet, an increase in Zn, Cu, K, Ca, Mg, S, N and Mn by 11, 14, 7, 9, 50, 21, 6 and 14%, respectively, was observed in the leaves of soybeans, over As-stressed plants (Figure 5A–H).

4. Discussion

Arsenic stress has been reported to significantly reduce plant growth and development in different plants [23,24]. In the present study, As stress diminished plant height and dry weight (Figure 1A,B). The toxicity effects of As on plants are due to the interaction of As with the thiol groups of enzymes, with an outcome of inhibition of metabolism. Arsenic’s reduction of the growth indices of soybean results also from the inhibition of DNA synthesis and the cell cycle dysfunction and repair mechanism of DNA [25].
Magnesium is involved in a number of plant physio-biochemical reactions that mainly participate in photosynthesis and transportation of photo-assimilates [26]. Excess Mg significantly increases crop productivity of several plant species in the field [27,28,29], while a reduced shoot biomass is an early response symptom to Mg deficiency due to the accumulation of carbohydrates in plant leaves [30]. The enhancement of plant growth with foliar application of MgO-NPs (Figure 1A,B) clearly indicates that NPs function as stimulators of soybean plant growth. These data are supported by earlier studies in which application of MgO-NPs increased growth indices in crop plants [31].
Chlorophyll content, estimated by the SPAD index, is considered as a pivotal measure of photosynthesis action [32]. Alongside photosynthesis, there are some other features, such as growth factors, light intensity and other environmental issues that significantly influence plant growth and development [33]. Under Mg deficiency, the decreased chlorophyll content results in reduced light energy absorption. Therefore, the increased Mg content after foliar spray of soybean plants with MgO-NPs (Figure 5E) enhanced light absorption and photosynthetic function, as revealed by the improved maximum efficiency of photosystem II (PSII) photochemistry (Fv/Fm) (Figure 1D) and the effective quantum yield of PSII photochemistry (ΦPSII) (Figure 1E). In accordance to this, Juhel et al. [34] reported that the light reactions of photosynthesis were enhanced by NPs in Lemna minor while Krishnaraj et al. [35] reported that silver NPs may interact with the proteins associated with photosystems. Our data corroborate the view that MgO-NPs promote light use efficiency (Figure 1D,E) and thus enhance photosynthesis along with growth [36,37].
Magnesium is reported to have beneficial impact on net CO2 assimilation in several plant species [38,39] and to ameliorate heavy metal/metalloids’ harmful impacts on plants [38,39,40]. To mitigate the toxicity effect in heavy-metal-stressed plants that is usually exerted by the generation of reactive oxygen species (ROS) [19], antioxidative protective mechanisms are activated that include the antioxidant enzymes CAT, POD and SOD. The concerted action of these enzymes may reduce the toxicity generated by ROS that is expressed as membrane lipid peroxidation [5]. The malondialdehyde (MDA) content is the pivotal product of lipid peroxidation and it may be employed to calculate the level of cell membrane injury. In our experiments we observed that As-stressed plants possessed higher activities of CAT, POD and SOD along with MDA content. Most probably the increased CAT, POD and SOD activities were due to the induction of the antioxidant defense mechanism [41,42]. CAT, POD and SOD, together with other enzymes, promote the scavenging of ROS to keep a ROS homeostasis in cells [43]. Nevertheless, the increased enzymatic activities in As-stressed plants (Figure 3C–E) were not sufficient to keep the ROS homeostasis, as judged from the increased MDA content in cells (Figure 3B). Still, exogenous application of MgO-NPs further enhanced the antioxidant enzyme activities (Figure 3C–E), reducing MDA content, but not to the level of the control plants (Figure 3B).
ROS levels in cells must be controlled and well adjusted, allowing only a basal ROS level to employ its beneficial function [44,45]. The antioxidant enzymes do not completely eliminate all ROS, but rather achieve an equilibrium between creation and removal [46,47,48]. Although ROS were predominantly considered to be toxic by-products, it is now accepted that a basal level of ROS is essential to sustain life [44,45,49]. ROS production in the process of light absorption and energy use in photosynthesis confers an important function in plant growth and development and in redox signaling [50]. Today it is widely accepted that ROS do not create only oxidative stress [49,50,51,52], which is enhanced under heavy metal toxicity [53,54], but are needed for optimal plant growth and development [46,49,55]. Thus, a low level of ROS is desirable for optimal plant growth, while a slightly amplified level of ROS is beneficial for triggering stress defense responses, but a high level of ROS out of the limits is considered harmful to plants [46,55]. We can postulate that the increased MDA content with the application of MgO-NPs in arsenic-stressed plants (Figure 3B) was due to the amplified level of ROS that is regarded to be beneficial for triggering stress defense responses [46,55]. This defense response that is triggered by ROS contributed to the enhancement of Fv/Fm and ΦPSII with application of MgO-NPs in arsenic-stressed soybeans (Figure 1D,E). A hormetic stress response mechanism of PS II photochemistry has also been reported in response to Cd exposure in clary sage [56]. The hormetic responses of clary sage [56] and corn [57] to Cd exposure were found to be induced by hydrogen peroxide [56,57]. A similar hormetic response of PSII photochemistry in arsenic-stressed soybeans after application of MgO-NPs was observed (Figure 1D,E) together with an increase in H2O2 (Figure 3A). The physiological and biochemical responses observed in As-stressed soybeans after foliar spray with MgO-NPs are summarized in Figure 6.
Arsenic toxicity inhibits nutrient uptake in soybean plants, but MgO-NPs application restores, to a point, the mineral nutrient content (Figure 4 and Figure 5). Our data show also that protein content decreased in As-stressed soybean plants (Figure 2E) whereas MgO-NPs increased the protein content. Magnesium is vital for conformational stabilization of macromolecules such as proteins [58]. In plants, Mg2+ has valuable presence for protein synthesis and chlorophylls [59]. It is well documented that Mg is very important for photosynthesis since it is the principal component of the tetrapyrrole ring of the chlorophyll molecule [60,61,62], and the increased Mg content in leaves with foliar application of MgO-NPs in As-stressed soybean plants (Figure 5E) contributed to increased chlorophyll content (Figure 1C). Chlorophyll molecules are the main pigments in absorbing light quanta and transferring the energy to reaction centers for the electron transport chain [63]. Plants with higher chlorophyll content have larger antenna size and can capture and absorb more light energy [64,65]. Thus, the increased chlorophyll content, with the application of MgO-NPs in As-stressed soybeans (Figure 1C), resulted in larger antenna size and in the absorbance of more light energy that enhanced PSII photochemistry (Figure 1D,E). Roots are usually the first tissue to be exposed to As, where the metalloid inhibits root extension and proliferation. Upon translocation to the shoot, As can severely inhibit plant growth by slowing or arresting expansion and biomass accumulation, as well as compromising plant reproductive capacity through losses in fertility, yield and fruit production [17,66]. Arsenic uptake by plants is controlled by various physiological tolerance mechanisms occurring under As stress [67,68]. A reduced As uptake mediated by methyl jasmonate (MeJ) application was suggested to occur as the result of MeJ modulating the expression of As transporters [69,70,71]. In our experiment, the mechanism of reduced As uptake by soybeans with the foliar application of MgO-NPs remains to be elucidated.
Crop production is constantly exposed to various biotic and abiotic stresses and new and effective strategies are needed to improve agricultural productivity and overcome the stresses faced. Lately, many studies testified that NPs can enhance plant growth and development under different stress and non-stress conditions, contributing to agricultural sustainability [2,72,73,74]. Different studies indicated that NPs improve nutrient uptake, regulate antioxidant defense and reduce oxidative damage under various environmental stresses [72]. Foliar application of NPs in the field can have beneficial or harmful effects on agricultural production [72]. The effects of NPs on plants can be favorable or destructive not only depending on the plant species and the developmental stage, but also on the kind of NPs used, their concentration and the mode of application [7,73,75].

5. Conclusions

Our data implies that foliar application of MgO-NPs ameliorated the detrimental effects of As on soybean. The alleviation may be attributed to increased antioxidant capacity, improved photosynthetic function and nutrient uptake and decreased As uptake and lipid peroxidation. These positive changes in the physio-biochemical characteristics of soybean resulted in increased plant height and biomass. This study extends our knowledge for the future use of MgO-NPs in improving As stress tolerance of crop plants. However, more experiments and field tests must be implemented to formulate the use of MgO-NPs in agriculture in order to obtain sustainable crop production in As contaminated soils.

Author Contributions

Conceptualization, P.A. and J.A.B.; methodology, M.F.; investigation, M.F., H.A.E.-S. and J.A.B.; resources, H.A.E.-S., M.M. and P.A.; writing—original draft preparation, J.A.B. and H.A.E.-S.; writing—review and editing, J.A.B., M.M. and P.A.; project administration, P.A. All authors have read and agreed to the published version of the manuscript.

Funding

The authors did not receive any external funding for this project.

Data Availability Statement

The data supporting the conclusions of this article are included within the article. Any queries regarding these data may be directed to the corresponding author.

Acknowledgments

The authors would like to extend their sincere appreciation to the Researchers Project Number (RSP-2021/19), King Saud University, Riyadh, Saudi Arabia.

Conflicts of Interest

The authors declare no conflict of interest.

References

  1. Fraceto, L.F.; Grillo, R.; de Medeiros, G.A.; Scognamiglio, V.; Rea, G.; Bartolucci, C. Nanotechnology in agriculture: Which innovation potential does it have? Front. Environ. Sci. 2016, 4, 20. [Google Scholar] [CrossRef]
  2. Faizan, M.; Bhat, J.A.; Noureldeen, A.; Ahmad, P.; Yu, F. Zinc oxide nanoparticles and 24-epibrassinolide alleviates Cu toxicity in tomato by regulating ROS scavenging, stomatal movement and photosynthesis. Ecotoxicol. Environ. Saf. 2021, 218, 112293. [Google Scholar] [CrossRef]
  3. Servin, A.D.; White, J.C. Nanotechnology in agriculture: Next steps for understanding engineered nanoparticle exposure and risk. NanoImpact 2016, 1, 9–12. [Google Scholar] [CrossRef]
  4. Usman, M.; Farooq, M.; Wakeel, A.; Nawaz, A.; Cheema, S.A.; ur Rehman, H.; Ashraf, I.; Sanaullah, M. Nanotechnology in agriculture: Current status, challenges and future opportunities. Sci. Total Environ. 2020, 721, 137778. [Google Scholar] [CrossRef] [PubMed]
  5. Faizan, M.; Faraz, A.; Mir, A.R.; Hayat, S. Role of zinc oxide nanoparticles in countering negative effects generated by cadmium in Lycopersicon esculentum. J. Plant Growth Regul. 2020, 40, 101–115. [Google Scholar] [CrossRef]
  6. Faizan, M.; Faraz, A.; Hayat, S. Effective use of zinc oxide nanoparticles through root dipping on the performance of growth, quality, photosynthesis and antioxidant system in tomato. J. Plant Biochem. Biotechnol. 2019, 29, 553–567. [Google Scholar] [CrossRef]
  7. Faizan, M.; Faraz, A.; Yusuf, M.; Khan, S.; Hayat, S. Zinc oxide nanoparticle-mediated changes in photosynthetic efficiency and antioxidant system of tomato plants. Photosynthetica 2018, 56, 678–686. [Google Scholar] [CrossRef]
  8. Cai, L.; Chen, J.; Liu, Z.; Wang, H.; Yang, H.; Ding, W. Magnesium oxide nanoparticles: Effective agricultural antibacterial agent against Ralstonia solanacearum. Front. Microbiol. 2018, 9, 790. [Google Scholar] [CrossRef]
  9. Verbruggen, N.; Hermans, C. Physiological and molecular responses to magnesium nutritional imbalance in plants. Plant Soil 2013, 368, 87–99. [Google Scholar] [CrossRef]
  10. Shen, Y.; He, L.; Yang, Z.; Xiong, Y. Corrosion behavior of different coatings prepared on the surface of AZ80 magnesium alloy in simulated body fluid. J. Mater. Eng. Perform. 2020, 29, 1609–1621. [Google Scholar] [CrossRef]
  11. Pugazhendhi, A.; Prabhu, R.; Muruganantham, K.; Shanmuganathan, R.; Natarajan, S. Anticancer, antimicrobial and photocatalytic activities of green synthesized magnesium oxide nanoparticles (MgONPs) using aqueous extract of Sargassum wightii. J. Photochem. Photobiol. B Biol. 2019, 190, 86–97. [Google Scholar] [CrossRef]
  12. Raliya, R.; Tarafdar, J.; Singh, S.; Gautam, R.; Choudhary, K.; Maurino, V.G.; Saharan, V. MgO nanoparticles biosynthesis and its effect on chlorophyll contents in the leaves of clusterbean (Cyamopsis tetragonoloba L.). Adv. Sci. Eng. Med. 2014, 6, 538–545. [Google Scholar] [CrossRef]
  13. Kanjana, D. Foliar application of magnesium oxide nanoparticles on nutrient element concentrations, growth, physiological, and yield parameters of cotton. J. Plant Nutr. 2020, 43, 3035–3049. [Google Scholar] [CrossRef]
  14. Palma-Lara, I.; Martínez-Castillo, M.; Quintana-Pérez, J.; Arellano-Mendoza, M.; Tamay-Cach, F.; Valenzuela-Limón, O.; García-Montalvo, E.; Hernández-Zavala, A. Arsenic exposure: A public health problem leading to several cancers. Regul. Toxicol. Pharmacol. 2020, 110, 104539. [Google Scholar] [CrossRef]
  15. Finnegan, P.M.; Chen, W. Arsenic toxicity: The effects on plant metabolism. Front. Physiol. 2012, 3, 182. [Google Scholar] [CrossRef]
  16. Stoeva, N.; Berova, M.; Zlatev, Z. Effect of arsenic on some physiological parameters in bean plants. Biol. Plant. 2005, 49, 293–296. [Google Scholar] [CrossRef]
  17. Garg, N.; Singla, P. Arsenic toxicity in crop plants: Physiological effects and tolerance mechanisms. Environ. Chem. Lett. 2011, 9, 303–321. [Google Scholar] [CrossRef]
  18. Verbruggen, N.; Hermans, C.; Schat, H. Mechanisms to cope with arsenic or cadmium excess in plants. Curr. Opin. Plant Biol. 2009, 12, 364–372. [Google Scholar] [CrossRef]
  19. Ahmad, P.; Ahanger, M.A.; Alyemeni, M.N.; Wijaya, L.; Alam, P. Exogenous application of nitric oxide modulates osmolyte metabolism, antioxidants, enzymes of ascorbate-glutathione cycle and promotes growth under cadmium stress in tomato. Protoplasma 2018, 255, 79–93. [Google Scholar] [CrossRef]
  20. Maehly, A.C.; Chance, B. The assay of catalases and peroxidases. Methods Biochem. Anal. 1954, 1, 357–424. [Google Scholar]
  21. Beauchamp, C.; Fridovich, I. Superoxide dismutase: Improved assays and an assay applicable to acrylamide gels. Anal. Biochem. 1971, 44, 276–287. [Google Scholar] [CrossRef] [PubMed]
  22. Bradford, M.M. A rapid and sensitive method for the quantitation of microgram quantities of protein utilizing the principle of protein-dye binding. Anal. Biochem. 1976, 72, 248–254. [Google Scholar] [CrossRef] [PubMed]
  23. Jung, H.-I.; Lee, J.; Chae, M.-J.; Kong, M.-S.; Lee, C.-H.; Kang, S.-S.; Kim, Y.-H. Growth-inhibition patterns and transfer-factor profiles in arsenic-stressed rice (Oryza sativa L.). Environ. Monit. Assess. 2017, 189, 1–11. [Google Scholar] [CrossRef] [PubMed]
  24. Abedin, M.J.; Feldmann, J.; Meharg, A.A. Uptake kinetics of arsenic species in rice plants. Plant Physiol. 2002, 128, 1120–1128. [Google Scholar] [CrossRef] [PubMed]
  25. Ghiani, A.; Fumagalli, P.; Nguyen Van, T.; Gentili, R.; Citterio, S. The combined toxic and genotoxic effects of Cd and As to plant bioindicator Trifolium repens L. PLoS ONE 2014, 9, e99239. [Google Scholar] [CrossRef]
  26. Tränkner, M.; Tavakol, E.; Jákli, B. Functioning of potassium and magnesium in photosynthesis, photosynthate translocation and photoprotection. Physiol. Plant. 2018, 163, 414–431. [Google Scholar] [CrossRef]
  27. Babaeian, M.; Esmaeilian, Y.; Tavassoli, A.; Asgharzade, A. Efficacy of different iron, zinc and magnesium fertilizers on yield and yield components of barley. Afr. J. Microbiol. Res. 2012, 6, 5754–5756. [Google Scholar]
  28. Kashinath, B.; Murthy, A.G.; Senthivel, T.; Pitchai, G.J.; Sadashiva, A. Effect of applied magnesium on yield and quality of tomato in Alfisols of Karnataka. J. Hortic. Sci. 2013, 8, 55–59. [Google Scholar]
  29. Ozenc, N.; Ozenc, D.B. Effect of magnesium fertilization on some plant nutrient interactions and nut quality properties in Turkish hazelnut (Corylus avellana L.). Sci. Res. Essays 2015, 10, 465–470. [Google Scholar]
  30. Farhat, N.; Elkhouni, A.; Zorrig, W.; Smaoui, A.; Abdelly, C.; Rabhi, M. Effects of magnesium deficiency on photosynthesis and carbohydrate partitioning. Acta Physiol. Plant. 2016, 38, 1–10. [Google Scholar] [CrossRef]
  31. Faiz, S.; Yasin, N.A.; Khan, W.U.; Shah, A.A.; Akram, W.; Ahmad, A.; Ali, A.; Naveed, N.H.; Riaz, L. Role of magnesium oxide nanoparticles in the mitigation of lead-induced stress in Daucus carota: Modulation in polyamines and antioxidant enzymes. Int. J. Phytoremediation 2022, 24, 364–372. [Google Scholar] [CrossRef]
  32. Faizan, M.; Rajput, V.D.; Al-Khuraif, A.A.; Arshad, M.; Minkina, T.; Sushkova, S.; Yu, F. Effect of foliar fertigation of chitosan nanoparticles on cadmium accumulation and toxicity in Solanum lycopersicum. Biology 2021, 10, 666. [Google Scholar] [CrossRef]
  33. Jhansi, K.; Jayarambabu, N.; Reddy, K.P.; Reddy, N.M.; Suvarna, R.P.; Rao, K.V.; Kumar, V.R.; Rajendar, V. Biosynthesis of MgO nanoparticles using mushroom extract: Effect on peanut (Arachis hypogaea L.) seed germination. 3 Biotech 2017, 7, 263. [Google Scholar] [CrossRef]
  34. Juhel, G.; Batisse, E.; Hugues, Q.; Daly, D.; van Pelt, F.N.; O’Halloran, J.; Jansen, M.A. Alumina nanoparticles enhance growth of Lemna minor. Aquat. Toxicol. 2011, 105, 328–336. [Google Scholar] [CrossRef]
  35. Krishnaraj, C.; Jagan, E.; Ramachandran, R.; Abirami, S.; Mohan, N.; Kalaichelvan, P. Effect of biologically synthesized silver nanoparticles on Bacopa monnieri (Linn.) Wettst. plant growth metabolism. Process Biochem. 2012, 47, 651–658. [Google Scholar] [CrossRef]
  36. Adhikari, T. Magnesium oxide nano particles effects on utilization of soil phosphorus by maize (Zea mays L.) plant. Int. J. Curr. Microbiol. Appl. Sci. 2019, 8, 410–419. [Google Scholar] [CrossRef]
  37. Xiao, L.; Wang, S.; Yang, D.; Zou, Z.; Li, J. Physiological effects of MgO and ZnO nanoparticles on the Citrus maxima. J. Wuhan Univ. Technol.-Mater. Sci. Ed. 2019, 34, 243–253. [Google Scholar] [CrossRef]
  38. Samborska, I.A.; Kalaji, H.M.; Sieczko, L.; Goltsev, V.; Borucki, W.; Jajoo, A. Structural and functional disorder in the photosynthetic apparatus of radish plants under magnesium deficiency. Funct. Plant Biol. 2018, 45, 668–679. [Google Scholar] [CrossRef]
  39. Tränkner, M.; Jákli, B.; Tavakol, E.; Geilfus, C.-M.; Cakmak, I.; Dittert, K.; Senbayram, M. Magnesium deficiency decreases biomass water-use efficiency and increases leaf water-use efficiency and oxidative stress in barley plants. Plant Soil 2016, 406, 409–423. [Google Scholar] [CrossRef]
  40. Faizan, M.; Yu, F.; Chen, C.; Faraz, A.; Hayat, S. Zinc oxide nanoparticles help to enhance plant growth and alleviate abiotic stress: A review. Curr. Protein Pept. Sci. 2020, 22, 362–375. [Google Scholar] [CrossRef]
  41. Jin, M.; Xiao, X.; Qin, L.; Geng, W.; Gao, Y.; Li, L.; Xue, J. Physiological and morphological responses and tolerance mechanisms of Isochrysis galbana to Cr (VI) stress. Bioresour. Technol. 2020, 302, 122860. [Google Scholar] [CrossRef] [PubMed]
  42. Ahmad, P.; Alam, P.; Balawi, T.H.; Altalayan, F.H.; Ahanger, M.A.; Ashraf, M. Sodium nitroprusside (SNP) improves tolerance to arsenic (As) toxicity in Vicia faba through the modifications of biochemical attributes, antioxidants, ascorbate-glutathione cycle and glyoxalase cycle. Chemosphere 2020, 244, 125480. [Google Scholar] [CrossRef] [PubMed]
  43. Faizan, M.; Bhat, J.A.; Hessini, K.; Yu, F.; Ahmad, P. Zinc oxide nanoparticles alleviates the adverse effects of cadmium stress on Oryza sativa via modulation of the photosynthesis and antioxidant defense system. Ecotoxicol. Environ. Saf. 2021, 220, 112401. [Google Scholar] [CrossRef] [PubMed]
  44. Inupakutika, M.A.; Sengupta, S.; Devireddy, A.R.; Azad, R.K.; Mittler, R. The evolution of reactive oxygen species metabolism. J. Exp. Bot. 2016, 67, 5933–5943. [Google Scholar] [CrossRef] [PubMed]
  45. Mittler, R.; Vanderauwera, S.; Gollery, M.; Van Breusegem, F. Reactive oxygen gene network of plants. Trends Plant Sci. 2004, 9, 490–498. [Google Scholar] [CrossRef]
  46. Adamakis, I.D.S.; Sperdouli, I.; Eleftheriou, E.P.; Moustakas, M. Hydrogen peroxide production by the spot-like mode action of bisphenol A. Front. Plant Sci. 2020, 11, 1196. [Google Scholar] [CrossRef]
  47. Foyer, C.H. Reactive oxygen species, oxidative signaling and the regulation of photosynthesis. Environ. Exp. Bot. 2018, 154, 134–142. [Google Scholar] [CrossRef]
  48. Sperdouli, I.; Andreadis, S.; Moustaka, J.; Panteris, E.; Tsaballa, A.; Moustakas, M. Changes in light energy utilization in photosystem II and reactive oxygen species generation in potato leaves by the pinworm Tuta absoluta. Molecules 2021, 26, 2984. [Google Scholar] [CrossRef]
  49. Mittler, R. ROS are good. Trends Plant Sci. 2017, 22, 11–19. [Google Scholar] [CrossRef]
  50. Moustakas, M. Plant photochemistry, reactive oxygen species, and photoprotection. Photochem 2022, 2, 5–8. [Google Scholar] [CrossRef]
  51. Romero-Puertas, M.C.; Terrón-Camero, L.C.; Peláez-Vico, M.Á.; Molina-Moya, E.; Sandalio, L.M. An update on redox signals in plant responses to biotic and abiotic stress crosstalk: Insights from cadmium and fungal pathogen interactions. J. Exp. Bot. 2021, 72, 5857–5875. [Google Scholar] [CrossRef]
  52. Foyer, C.H.; Noctor, G. Redox signaling in plants. Antioxid. Redox Signal. 2013, 18, 2087–2090. [Google Scholar] [CrossRef]
  53. Moustakas, M. The role of metal ions in biology, biochemistry and medicine. Materials 2021, 14, 549. [Google Scholar] [CrossRef]
  54. Sperdouli, I.; Adamakis, I.D.S.; Dobrikova, A.; Apostolova, E.; Hanć, A.; Moustakas, M. Excess zinc supply reduces cadmium uptake and mitigates cadmium toxicity effects on chloroplast structure, oxidative stress, and photosystem II photochemical efficiency in Salvia sclarea plants. Toxics 2022, 10, 36. [Google Scholar] [CrossRef]
  55. Moustakas, M.; Moustaka, J.; Sperdouli, I. Hormesis in photosystem II: A mechanistic approach. Curr. Opin. Toxicol. 2022, 29, 57–64. [Google Scholar] [CrossRef]
  56. Adamakis, I.-D.S.; Sperdouli, I.; Hanć, A.; Dobrikova, A.; Apostolova, E.; Moustakas, M. Rapid hormetic responses of photosystem II photochemistry of clary sage to cadmium exposure. Int. J. Mol. Sci. 2021, 22, 41. [Google Scholar] [CrossRef]
  57. Małkowski, E.; Sitko, K.; Szopiński, M.; Gieroń, Z.; Pogrzeba, M.; Kalaji, H.M.; Zieléznik-Rusinowska, P. Hormesis in plants: The role of oxidative stress, auxins and photosynthesis in corn treated with Cd or Pb. Int. J. Mol. Sci. 2020, 21, 2099. [Google Scholar] [CrossRef]
  58. Marschner, P. Mineral Nutrition of Higher Plants, 3rd ed.; Academic Press: London, UK, 2012. [Google Scholar]
  59. White, P.J.; Broadley, M.R. Biofortification of crops with seven mineral elements often lacking in human diets–iron, zinc, copper, calcium, magnesium, selenium and iodine. New Phytol. 2009, 182, 49–84. [Google Scholar] [CrossRef]
  60. Beale, S.I. Enzymes of chlorophyll biosynthesis. Photosynth. Res. 1999, 60, 43–73. [Google Scholar] [CrossRef]
  61. Cakmak, I.; Yazici, A.M. Magnesium: A forgotten element in crop production. Better Crops 2010, 94, 23–25. [Google Scholar]
  62. Moustakas, M.; Dobrikova, A.; Sperdouli, I.; Hanć, A.; Adamakis, I.-D.S.; Moustaka, J.; Apostolova, E. A hormetic spatiotemporal photosystem II response mechanism of Salvia to excess zinc exposure. Int. J. Mol. Sci. 2022, 23, 11232. [Google Scholar] [CrossRef] [PubMed]
  63. Müller, P.; Li, X.P.; Niyogi, K.K. Non-photochemical quenching. A response to excess light energy. Plant Physiol. 2001, 125, 1558–1566. [Google Scholar] [CrossRef] [PubMed]
  64. Wang, G.; Zeng, F.; Song, P.; Sun, B.; Wang, Q.; Wang, J. Effects of reduced chlorophyll content on photosystem functions and photosynthetic electron transport rate in rice leaves. J. Plant Physiol. 2022, 272, 153669. [Google Scholar] [CrossRef] [PubMed]
  65. Moustakas, M.; Sperdouli, I.; Adamakis, I.-D.S.; Moustaka, J.; İşgören, S.; Şaş, B. Harnessing the role of foliar applied salicylic acid in decreasing chlorophyll content to reassess photosystem II photoprotection in crop plants. Int. J. Mol. Sci. 2022, 23, 7038. [Google Scholar] [CrossRef] [PubMed]
  66. Elsheery, N.I.; Helaly, M.N.; El-Hefnawy, S.F.; Elhamahmy, M.M.; Abdelrazik, E.M.; Sardarov, Y.B.; Ahmad, P.; Zivcak, M.; Brestic, M.; Allakhverdiev, S.I. 5-Aminolevulinic acid (ALA) reduces arsenic toxicity stress in wheat (Triticum aestivum L.). J. Plant Growth Regul. 2022. [Google Scholar] [CrossRef]
  67. Khalid, S.; Shahid, M.; Niazi, N.K.; Rafiq, M.; Bakhat, H.F.; Imran, M.; Abbas, T.; Bibi, I.; Dumat, C. Arsenic behavior in soil plant system: Biochemical reactions, chemical special ion influences. In Enhancing Cleanup of Environmental Pollutants; Springer: Berlin/Heidelberg, Germany, 2017; pp. 97–140. [Google Scholar]
  68. Poddar, R.; Acharjee, P.U.; Bhattacharyya, K.; Patra, S.K. Mitigation of arsenic in broccoli through consumptive use of ground water and pond water as sources for irrigation. Arch. Agron. Soil Sci. 2022. [Google Scholar] [CrossRef]
  69. Verma, G.; Srivastava, D.; Narayan, S.; Shirke, P.A.; Chakrabarty, D. Exogenous application of methyl jasmonate alleviates arsenic toxicity by modulating its uptake and translocation in rice (Oryza sativa L.). Ecotoxicol. Environ. Saf. 2020, 201, 110735. [Google Scholar] [CrossRef]
  70. Mousavi, S.R.; Niknejad, Y.; Fallah, H.; Tari, D.B. Methyl jasmonate alleviates arsenic toxicity in rice. Plant Cell Rep. 2020, 39, 1041–1060. [Google Scholar] [CrossRef]
  71. Ghorbani, A.; Pishkar, L.; Roodbari, N.; Tavakoli, S.A.; Jahromi, M.E.; Wu, C. Nitrate reductase is needed for methyl jasmonate-mediated arsenic toxicity tolerance of rice by modulating the antioxidant defense system, glyoxalase system and arsenic sequestration mechanism. J. Plant Growth Regul. 2022; ahead of print. [Google Scholar] [CrossRef]
  72. Rhaman, M.S.; Tania, S.S.; Imran, S.; Rauf, F.; Kibria, M.G.; Ye, W.; Hasanuzzaman, M.; Murata, Y. Seed priming with nanoparticles: An emerging technique for improving plant growth, development, and abiotic stress tolerance. J. Soil Sci. Plant Nutr. 2022; ahead of print. [Google Scholar] [CrossRef]
  73. Antonoglou, O.; Moustaka, J.; Adamakis, I.D.; Sperdouli, I.; Pantazaki, A.; Moustakas, M.; Dendrinou-Samara, C. Nanobrass CuZn nanoparticles as foliar spray non phytotoxic fungicides. ACS Appl. Mater. Interfaces 2018, 10, 4450–4461. [Google Scholar] [CrossRef]
  74. Sperdouli, I.; Moustaka, J.; Antonoglou, O.; Adamakis, I.-D.S.; Dendrinou-Samara, C.; Moustakas, M. Leaf age-dependent effects of foliar-sprayed CuZn nanoparticles on photosynthetic efficiency and ROS generation in Arabidopsis thaliana. Materials 2019, 12, 2498. [Google Scholar] [CrossRef]
  75. Castiglione, M.R.; Cremonini, R. Nanoparticles and higher plants. Caryologia 2009, 62, 161–165. [Google Scholar]
Figure 1. Plant height (A), plant dry weight (B), chlorophyll content measured as SPAD index (C), maximum efficiency of PSII photochemistry (Fv/Fm) (D) and effective quantum yield of PSII photochemistry (ΦPSII) (E) of soybean plants before and after foliar spray with MgO-NPs in the presence/absence (control) of As. Error bars represent standard deviation and different letters indicate significant differences at p < 0.05.
Figure 1. Plant height (A), plant dry weight (B), chlorophyll content measured as SPAD index (C), maximum efficiency of PSII photochemistry (Fv/Fm) (D) and effective quantum yield of PSII photochemistry (ΦPSII) (E) of soybean plants before and after foliar spray with MgO-NPs in the presence/absence (control) of As. Error bars represent standard deviation and different letters indicate significant differences at p < 0.05.
Metals 12 02030 g001
Figure 2. Net photosynthetic rate (PN) (A), stomatal conductance (gs) (B), internal CO2 concentration (Ci) (C), transpiration rate (E) (D) and leaf protein content (E) of soybean plants before and after foliar spray with MgO-NPs in the presence/absence (control) of As. Error bars represent standard deviation and different letters indicate significant differences at p < 0.05.
Figure 2. Net photosynthetic rate (PN) (A), stomatal conductance (gs) (B), internal CO2 concentration (Ci) (C), transpiration rate (E) (D) and leaf protein content (E) of soybean plants before and after foliar spray with MgO-NPs in the presence/absence (control) of As. Error bars represent standard deviation and different letters indicate significant differences at p < 0.05.
Metals 12 02030 g002
Figure 3. Hydrogen peroxide (H2O2) (A), malondialdehyde (MDA (B), catalase (CAT) (C), peroxidase (POD) (D), superoxide dismutase (SOD) (E) and arsenic (As) content (F) of soybean plants before and after foliar spray with MgO-NPs in the presence/absence of As. Error bars represent standard deviation and different letters indicate significant differences at p < 0.05.
Figure 3. Hydrogen peroxide (H2O2) (A), malondialdehyde (MDA (B), catalase (CAT) (C), peroxidase (POD) (D), superoxide dismutase (SOD) (E) and arsenic (As) content (F) of soybean plants before and after foliar spray with MgO-NPs in the presence/absence of As. Error bars represent standard deviation and different letters indicate significant differences at p < 0.05.
Metals 12 02030 g003
Figure 4. Root content in zinc (Zn) (A), copper (Cu) (B), potassium (K) (C), calcium (Ca) (D), magnesium (Mg) (E), sulfur (S) (F), nitrogen (N) (G) and manganese (Mn) (H) of soybean plants before and after foliar spray of MgO-NPs in the presence/absence (control) of As. Error bars represent standard deviation and different letters indicate significant differences at p < 0.05.
Figure 4. Root content in zinc (Zn) (A), copper (Cu) (B), potassium (K) (C), calcium (Ca) (D), magnesium (Mg) (E), sulfur (S) (F), nitrogen (N) (G) and manganese (Mn) (H) of soybean plants before and after foliar spray of MgO-NPs in the presence/absence (control) of As. Error bars represent standard deviation and different letters indicate significant differences at p < 0.05.
Metals 12 02030 g004
Figure 5. Leaf content in zinc (Zn) (A), copper (Cu) (B), potassium (K) (C), calcium (Ca) (D), magnesium (Mg) (E), sulfur (S) (F), nitrogen (N) (G) and manganese (Mn) (H) of soybean plants before and after foliar spray of MgO-NPs in the presence/absence (control) of As. Error bars represent standard deviation and different letters indicate significant differences at p < 0.05.
Figure 5. Leaf content in zinc (Zn) (A), copper (Cu) (B), potassium (K) (C), calcium (Ca) (D), magnesium (Mg) (E), sulfur (S) (F), nitrogen (N) (G) and manganese (Mn) (H) of soybean plants before and after foliar spray of MgO-NPs in the presence/absence (control) of As. Error bars represent standard deviation and different letters indicate significant differences at p < 0.05.
Metals 12 02030 g005
Figure 6. A working model of the physiological and biochemical responses of soybeans growing in As contaminated soil and sprayed with MgO-NPs.
Figure 6. A working model of the physiological and biochemical responses of soybeans growing in As contaminated soil and sprayed with MgO-NPs.
Metals 12 02030 g006
Publisher’s Note: MDPI stays neutral with regard to jurisdictional claims in published maps and institutional affiliations.

Share and Cite

MDPI and ACS Style

Faizan, M.; Bhat, J.A.; El-Serehy, H.A.; Moustakas, M.; Ahmad, P. Magnesium Oxide Nanoparticles (MgO-NPs) Alleviate Arsenic Toxicity in Soybean by Modulating Photosynthetic Function, Nutrient Uptake and Antioxidant Potential. Metals 2022, 12, 2030. https://doi.org/10.3390/met12122030

AMA Style

Faizan M, Bhat JA, El-Serehy HA, Moustakas M, Ahmad P. Magnesium Oxide Nanoparticles (MgO-NPs) Alleviate Arsenic Toxicity in Soybean by Modulating Photosynthetic Function, Nutrient Uptake and Antioxidant Potential. Metals. 2022; 12(12):2030. https://doi.org/10.3390/met12122030

Chicago/Turabian Style

Faizan, Mohammad, Javaid Akhtar Bhat, Hamed A. El-Serehy, Michael Moustakas, and Parvaiz Ahmad. 2022. "Magnesium Oxide Nanoparticles (MgO-NPs) Alleviate Arsenic Toxicity in Soybean by Modulating Photosynthetic Function, Nutrient Uptake and Antioxidant Potential" Metals 12, no. 12: 2030. https://doi.org/10.3390/met12122030

APA Style

Faizan, M., Bhat, J. A., El-Serehy, H. A., Moustakas, M., & Ahmad, P. (2022). Magnesium Oxide Nanoparticles (MgO-NPs) Alleviate Arsenic Toxicity in Soybean by Modulating Photosynthetic Function, Nutrient Uptake and Antioxidant Potential. Metals, 12(12), 2030. https://doi.org/10.3390/met12122030

Note that from the first issue of 2016, this journal uses article numbers instead of page numbers. See further details here.

Article Metrics

Back to TopTop