Kinetics of Low-Grade Scheelite Leaching with a Mixture of Sodium Phosphate and Sodium Fluoride
Abstract
:1. Introduction
2. Materials and Methods
2.1. Materials and Reagents
2.2. Experimental Procedure
3. Results
3.1. Kinetic Model of Leaching Low-Grade Scheelite
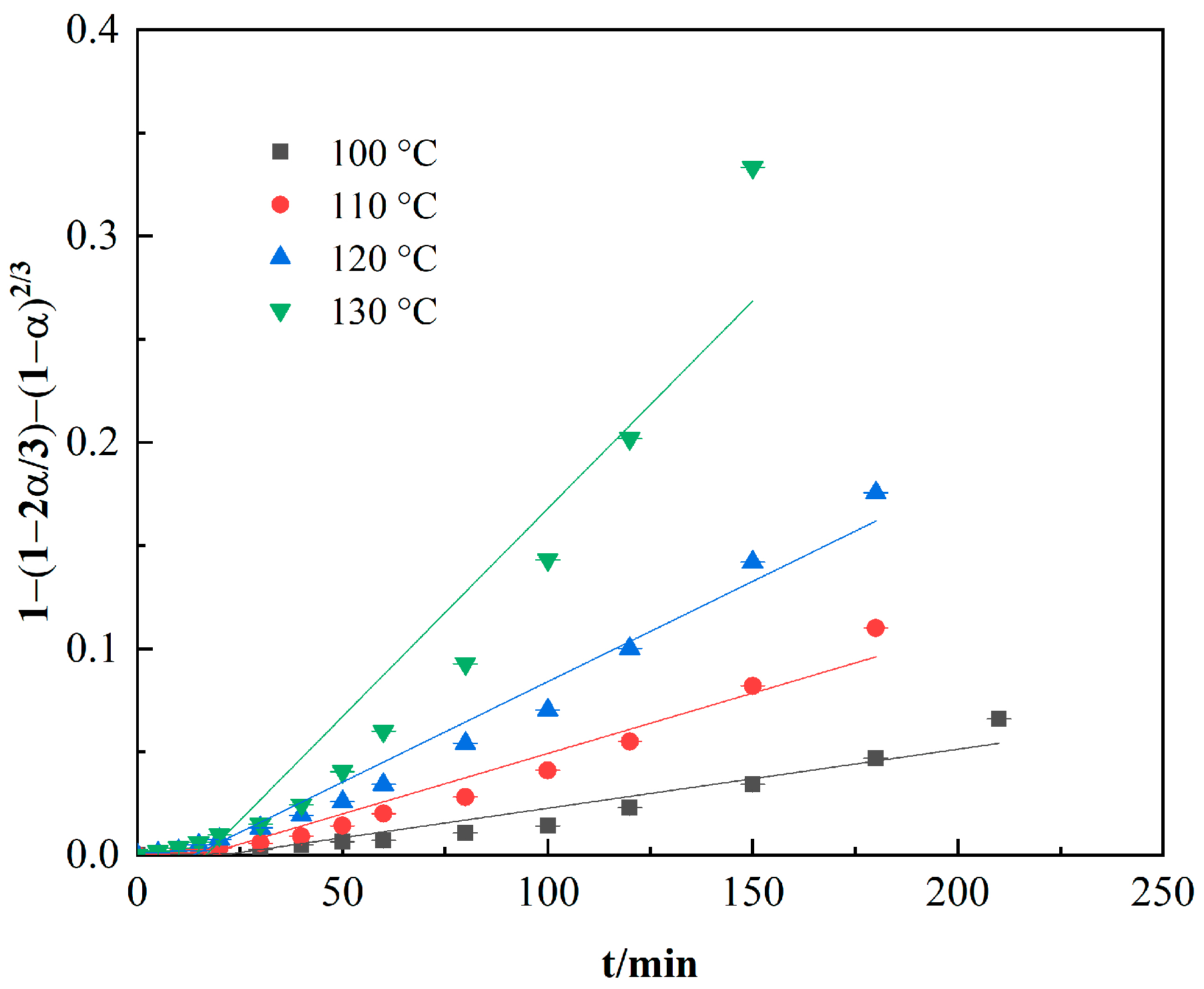
3.2. Influence of Temperature on the Leaching of Low-Grade Scheelite
3.3. Influence of Phosphate Concentration on Leaching of Low-Grade Scheelite
3.4. Influence of Fluoride Ion Concentration on the Leaching of Low-Grade Scheelite
3.5. Influence of Mineral Particle Size on the Leaching of Low-Grade Scheelite
3.6. Establishment of Kinetic Equation
3.7. Analysis of Leaching Residue of Low-Grade Scheelite
4. Conclusions
Author Contributions
Funding
Institutional Review Board Statement
Informed Consent Statement
Data Availability Statement
Conflicts of Interest
References
- Bozdag, A.A.; Kaynar, A.D.D.; Dogu, T.; Sezgi, N.A. Development of ceria and tungsten promoted nickel/alumina catalysts for steam reforming of diesel. Chem. Eng. J. 2019, 377, 120274. [Google Scholar] [CrossRef]
- Bohlouli, A.; Afshar, M.R.; Aboutalebi, M.R.; Seyedein, S.H. Optimization of tungsten leaching from low manganese wolframite concentrate using response surface methodology (RSM). Int. J. Refract Met. Hard Mater. 2016, 61, 107–114. [Google Scholar] [CrossRef]
- Shen, L.; Li, X.; Lindberg, D.; Taskinen, P. Tungsten extractive metallurgy: A review of processes and their challenges for sustainability. Miner. Eng. 2019, 142, 105934. [Google Scholar] [CrossRef]
- Dong, L.Y.; Jiao, F.; Qin, W.Q.; Liu, W. Selective flotation of scheelite from calcite using xanthan gum as depressant. Miner. Eng. 2019, 138, 14–23. [Google Scholar] [CrossRef]
- Process of removing phosphorus and molybdenum from complex scheelite concentrates with high phosphorus and molybdenum. Nonferrous Met. Sci. Eng. 2020, 11, 25–31. (In Chinese)
- Li, X.; Xu, X.; Zhou, Q.; Qi, T.; Liu, G.; Peng, Z.; Cui, Y.; Li, J. Ca3WO6 prepared by roasting tungsten-containing materials and its leaching performance. Int. J. Refract Met. Hard Mater. 2015, 52, 151–158. [Google Scholar] [CrossRef]
- Kang, J.H.; Hu, Y.H.; Sun, W.; Liu, R.Q.; Yin, Z.G.; Tang, H.H.; Meng, X.S.; Zhang, Q.P.; Liu, H. A significant improvement of scheelite flotation efficiency with etidronic acid. J. Clean. Prod. 2018, 180, 858–865. [Google Scholar] [CrossRef]
- Huang, Z.; Kuang, J.; Zhu, L.; Yuan, W.; Zou, Z. Effect of ultrasonication on the separation kinetics of scheelite and calcite. Miner. Eng. 2021, 163, 106762. [Google Scholar] [CrossRef]
- Zhang, Z.; Cao, Y.; Sun, L.; Ma, Z.; Liao, Y. Interaction forces between scheelite and fluorite in calcium solution measured by atomic force microscopy. Appl. Surf. Sci. 2019, 486, 323–336. [Google Scholar] [CrossRef]
- Pan, Z.; Wang, Y.; Wei, Q.; Chen, X.; Jiao, F.; Qin, W. Effect of sodium pyrophosphate on the flotation separation of calcite from apatite. Sep. Purif. Technol. 2020, 242, 116408. [Google Scholar] [CrossRef]
- Fang, Q. Decomposition of scheelite with NaOH in autoclaving. China Tungsten Ind. 2001, 16, 80–81. (In Chinese) [Google Scholar]
- Gong, D.; Zhou, K.; Peng, C.; Li, J.; Chen, W. Sequential extraction of tungsten from scheelite through roasting and alkaline leaching. Miner. Eng. 2019, 132, 238–244. [Google Scholar] [CrossRef]
- Wang, Y.L.; Yang, S.H.; Li, H. Studies on the leaching of tungsten from composite Barite-scheelite concentrate. Int. J. Refract. Met. Hard Mater. 2016, 54, 284–288. [Google Scholar] [CrossRef]
- Zhao, Z.W.; Li, J.T.; Chen, X.Y.; Liu, X.H. Technology status and development of scheelite metallurgy in China. Nonferr. Met. Sci. Eng. 2013, 4, 11–14. (In Chinese) [Google Scholar]
- Li, H.G.; Yang, J.G.; Li, K. Tungsten Metallurgy; Central South University Press: Changsha, China, 2010; pp. 256–263. (In Chinese) [Google Scholar]
- Zhao, Z.W.; Yang, J.H. Discussion on soda autoclaving process for treatment of tungsten ore. Rare Met. Cem. Carbides 2002, 30, 1–3. (In Chinese) [Google Scholar]
- He, G.X.; He, L.H.; Cao, C.F.; Zhao, Z.W.; Chen, X.Y.; Chen, A.L.; Liu, X.H.; He, Y.H. Thermodynamic analysis on decomposition of scheelite using sodium hydroxide. Mater. Sci. Eng. Powder Metall. 2013, 18, 368–372. [Google Scholar]
- Li, J.T.; Zhao, Z.W. Kinetics of scheelite concentrate digestion with sulfuric acid in the presence of phosphoric acid. Hydrometallurgy 2016, 163, 55–60. [Google Scholar] [CrossRef]
- Zhang, W.J.; Li, J.T.; Zhao, Z.W.; Huang, S.B.; Chen, X.Y.; Hu, K.L. Recovery and separation of W and Mo from high-molybdenum synthetic scheelite in HCl solutions containing H2O2. Hydrometallurgy 2015, 155, 1–5. [Google Scholar] [CrossRef]
- Li, T.T.; Shen, Y.B.; Zhao, S.K.; Yin, Y.Y.; Lu, R.; Gao, S.L.; Han, C.; Wei, D.Z. Leaching kinetics of scheelite concentrate with sodium hydroxide in the presence of phosphate. Trans. Nonferrous Met. Soc. China 2019, 29, 634–640. [Google Scholar] [CrossRef]
- Yang, L.; Zhang, X.Y.; Cao, C.F.; Xue, X.; Wan, L.S. A new process for the efficient decomposition of low-grade scheelite based on the formation of insoluble calcium fluorophosphates. Miner. Eng. 2022, 177, 107372. [Google Scholar] [CrossRef]
- Gong, D.D.; Zhang, Y.; Wan, L.S.; Qiu, T.S.; Chen, Y.N.; Ren, S.L. Efficient extraction of tungsten from scheelite with phosphate and fluoride. Process Saf. Environ. Prot. 2022, 159, 708–715. [Google Scholar] [CrossRef]
- Zhao, Z.W.; Liang, Y.; Li, H.G. Kinetics of sodium hydroxide leaching of scheelite. Int. J. Refract. Met. Hard Mater. 2011, 29, 289–291. [Google Scholar] [CrossRef]
- Mo, D.C. Metallurgical Kinetics; Central South University Press: Changsha, China, 1987; pp. 142–148. (In Chinese) [Google Scholar]
- Li, H.G. Metallurgical Principle; Science Press: Beijing, China, 2011; pp. 186–194. (In Chinese) [Google Scholar]

















| Element | WO3 | Sn | Mo | S | Ca | Fe | Mn | P | As | SiO2 |
|---|---|---|---|---|---|---|---|---|---|---|
| Content wt% | 37.52 | 0.69 | 0.14 | 1.13 | 12.26 | 1.81 | 0.34 | 0.13 | 0.32 | 2.31 |
| Relative error % | 0.68 | 1.23 | 1.41 | 0.81 | 0.42 | 1.72 | 1.43 | 1.52 | 2.11 | 0.45 |
Publisher’s Note: MDPI stays neutral with regard to jurisdictional claims in published maps and institutional affiliations. |
© 2022 by the authors. Licensee MDPI, Basel, Switzerland. This article is an open access article distributed under the terms and conditions of the Creative Commons Attribution (CC BY) license (https://creativecommons.org/licenses/by/4.0/).
Share and Cite
Yang, L.; Li, C.; Cao, C.; Xue, X.; Gong, D.; Wan, L. Kinetics of Low-Grade Scheelite Leaching with a Mixture of Sodium Phosphate and Sodium Fluoride. Metals 2022, 12, 1759. https://doi.org/10.3390/met12101759
Yang L, Li C, Cao C, Xue X, Gong D, Wan L. Kinetics of Low-Grade Scheelite Leaching with a Mixture of Sodium Phosphate and Sodium Fluoride. Metals. 2022; 12(10):1759. https://doi.org/10.3390/met12101759
Chicago/Turabian StyleYang, Liang, Chaoyang Li, Caifang Cao, Xiang Xue, Dandan Gong, and Linsheng Wan. 2022. "Kinetics of Low-Grade Scheelite Leaching with a Mixture of Sodium Phosphate and Sodium Fluoride" Metals 12, no. 10: 1759. https://doi.org/10.3390/met12101759
APA StyleYang, L., Li, C., Cao, C., Xue, X., Gong, D., & Wan, L. (2022). Kinetics of Low-Grade Scheelite Leaching with a Mixture of Sodium Phosphate and Sodium Fluoride. Metals, 12(10), 1759. https://doi.org/10.3390/met12101759

