Hot Deformation Behavior and Microstructure Evolution of High-Strength Al-Zn-Mg-Cu Alloy
Abstract
1. Introduction
2. Experimental Methods
3. Results and Discussion
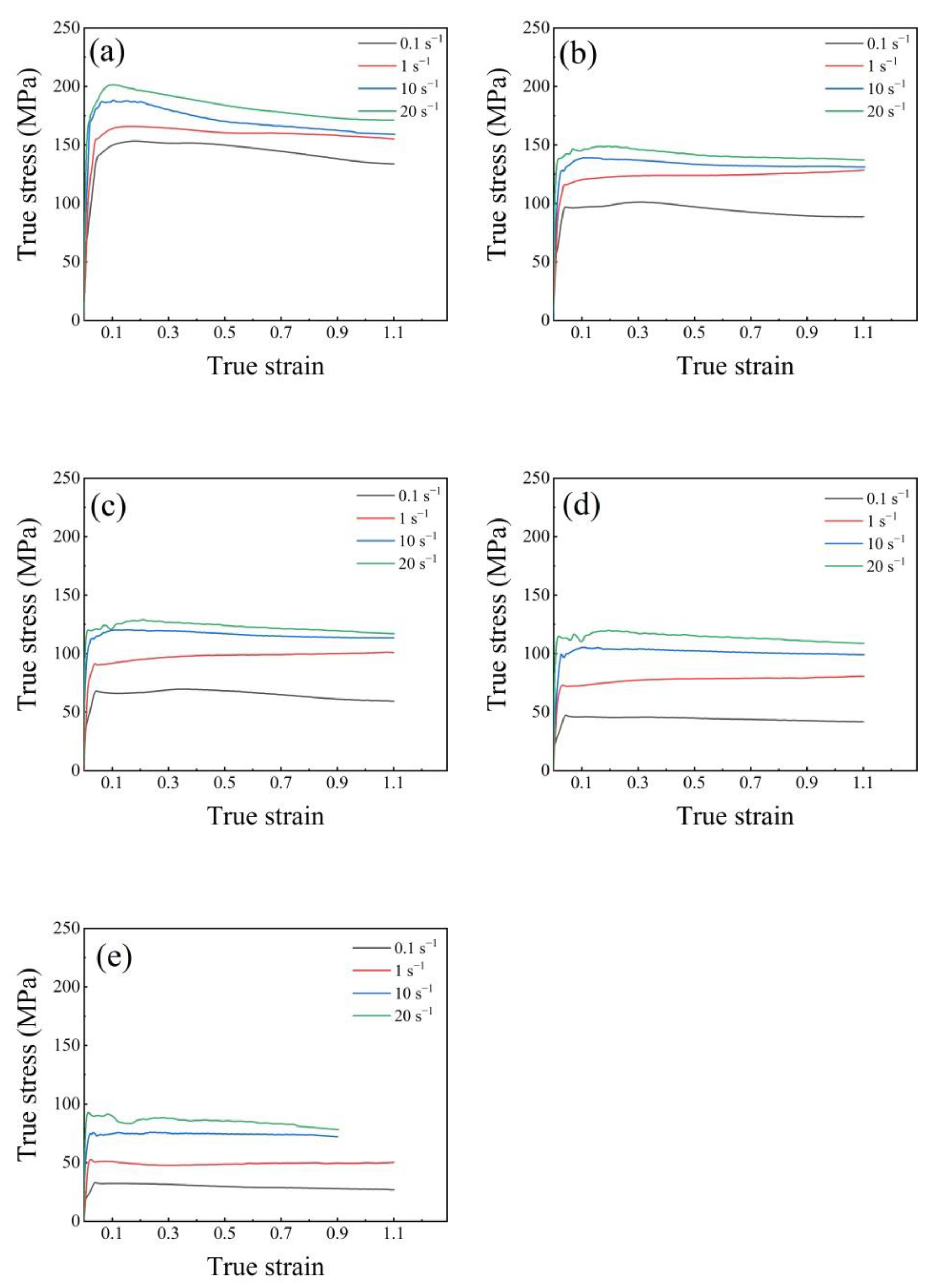
3.1. True Stress–Strain Curves
3.2. Orthogonal Analysis
3.3. Constitutive Equation
3.4. Processing Map and Instability Area
3.5. Microstructure Evolution
3.5.1. Effects of Temperature on Microstructure Evolution
3.5.2. Effects of Strain Rate on Microstructure Evolution
4. Conclusions
Author Contributions
Funding
Institutional Review Board Statement
Informed Consent Statement
Data Availability Statement
Acknowledgments
Conflicts of Interest
References
- Dursun, T.; Soutis, C. Recent developments in advanced aircraft aluminium alloys. Mater. Design 2014, 56, 862–871. [Google Scholar] [CrossRef]
- Wang, S.S.; Jiang, J.T.; Fan, G.H.; Panindre, A.M.; Frankel, G.S.; Zhen, L. Accelerated precipitation and growth of phases in an Al-Zn-Mg-Cu alloy processed by surface abrasion. Acta Mater. 2017, 131, 233–245. [Google Scholar]
- Gubicza, J.; Lábár, J.L.; Lendvai, J.; Chinh, N.Q. The influence of artificial aging on the microstructure and hardness of an Al–Zn–Mg–Zr alloy processed by equal-channel angular pressing. J. Mater. Sci. 2019, 54, 10918–10928. [Google Scholar] [CrossRef]
- Chamanfar, A.; Alamoudi, M.T.; Nanninga, N.E.; Misiolek, W.Z. Analysis of flow stress and microstructure during hot compression of 6099 aluminum alloy (AA6099). Mater. Sci. Eng. A 2019, 743, 684–696. [Google Scholar] [CrossRef]
- Ding, S.; Khan, S.A.; Yanagimoto, J. Constitutive descriptions and microstructure evolution of extruded A5083 aluminum alloy during hot compression. Mater. Sci. Eng. A 2018, 728, 133–143. [Google Scholar] [CrossRef]
- Mirzadeh, H. Constitutive Description of 7075 Aluminum Alloy During Hot Deformation by Apparent and Physically-Based Approaches. J. Mater. Eng. Perform. 2015, 24, 1095–1099. [Google Scholar] [CrossRef]
- Wang, S.; Hou, L.G.; Luo, J.R.; Zhang, J.S.; Zhuang, L.Z. Characterization of hot workability in AA 7050 aluminum alloy using activation energy and 3-D processing map. J. Mater. Process. Tech. 2015, 225, 110–121. [Google Scholar] [CrossRef]
- Ke, B.; Ye, L.; Tang, J.; Zhang, Y.; Liu, S.; Lin, H.; Dong, Y.; Liu, X. Hot deformation behavior and 3D processing maps of AA7020 aluminum alloy. J. Alloy. Compd. 2020, 845, 156113. [Google Scholar] [CrossRef]
- Park, S.Y.; Kim, W.J. Difference in the Hot Compressive Behavior and Processing Maps between the As-cast and Homogenized Al-Zn-Mg-Cu (7075) Alloys. J. Mater. Sci. Technol. 2016, 32, 660–670. [Google Scholar] [CrossRef]
- Yan, J.; Pan, Q.L.; Li, B.; Huang, Z.Q.; Liu, Z.M.; Yin, Z.M. Research on the hot deformation behavior of Al–6.2Zn–0.70Mg–0.3Mn–0.17Zr alloy using processing map. J. Alloy. Compd. 2015, 632, 549–557. [Google Scholar] [CrossRef]
- Prasad, Y.V.R.K.; Gegel, H.L.; Doraivelu, S.M.; Malas, J.C.; Morgan, J.T.; Lark, K.A.; Barker, D.R. Modeling of dynamic material behavior in hot deformation: Forging of Ti-6242. Metall. Trans. A 1984, 15, 1883–1892. [Google Scholar] [CrossRef]
- Sun, Z.C.; Wu, H.L.; Cao, J.; Yin, Z.K. Modeling of continuous dynamic recrystallization of Al-Zn-Cu-Mg alloy during hot deformation based on the internal-state-variable (ISV) method. Int. J. Plasticity 2018, 106, 73–87. [Google Scholar] [CrossRef]
- Tang, J.; Jiang, F.; Luo, C.; Bo, G.; Chen, K.; Teng, J.; Fu, D.; Zhang, H. Integrated physically based modeling for the multiple static softening mechanisms following multi-stage hot deformation in Al-Zn-Mg-Cu alloys. Int. J. Plasticity 2020, 134, 102809. [Google Scholar] [CrossRef]
- Luo, L.; Liu, Z.; Bai, S.; Zhao, J.; Zeng, D.; Wang, J.; Hu, Y. Hot deformation behavior considering strain effects and recrystallization mechanism of an Al-Zn-Mg-Cu Alloy. Materials 2020, 13, 1743. [Google Scholar] [CrossRef]
- Liu, W.; Zhao, H.; Li, D.; Zhang, Z.; Huang, G.; Liu, Q. Hot deformation behavior of AA7085 aluminum alloy during isothermal compression at elevated temperature. Mater. Sci. Eng. A 2014, 596, 176–182. [Google Scholar] [CrossRef]
- Du, C.; Pan, Q.; Chen, S.; Tian, S. Effect of rolling on the microstructure and mechanical properties of 6061-T6 DS-FSW plate. Mater. Sci. Eng. A 2020, 772, 138692. [Google Scholar] [CrossRef]
- Gray, G.T., III. High-strain-rate deformation: Mechanical behavior and deformation substructures induced. Annu. Rev. Mater. Res. 2012, 42, 285–303. [Google Scholar] [CrossRef]
- Lin, Y.C.; Li, L.T.; Xia, Y.C.; Jiang, Y.Q. Hot deformation and processing map of a typical Al–Zn–Mg–Cu alloy. J. Alloy. Compd. 2013, 550, 438–445. [Google Scholar] [CrossRef]
- Ning, Y.; Xie, B.; Li, H.; Fu, M.W. Dynamic Recrystallization of Wrought-Solidified-Wrought Complex Structure in Ni-Based Superalloys: Dynamic Recrystallization of Wrought-Solidified-Wrought. Adv. Eng. Mater. 2015, 17, 648–655. [Google Scholar] [CrossRef]
- Cassell, A.M.; Robson, J.D.; Race, C.P.; Eggeman, A.; Hashimoto, T.; Besel, M. Dispersoid composition in zirconium containing Al-Zn-Mg-Cu (AA7010) aluminium alloy. Acta Mater. 2019, 169, 135–146. [Google Scholar] [CrossRef]
- Ding, S.; Khan, S.A.; Yanagimoto, J. Flow behavior and dynamic recrystallization mechanism of A5083 aluminum alloys with different initial microstructures during hot compression. Mater. Sci. Eng. A 2020, 787, 139522. [Google Scholar] [CrossRef]
- Lin, Y.C.; He, D.G.; Chen, M.S.; Chen, X.M.; Zhao, C.Y.; Ma, X.; Long, Z.L. EBSD analysis of evolution of dynamic recrystallization grains and δ phase in a nickel-based superalloy during hot compressive deformation. Mater. Design 2016, 97, 13–24. [Google Scholar] [CrossRef]
- Lin, Y.C.; Chen, M.S.; Zhong, J. Microstructural evolution in 42CrMo steel during compression at elevated temperatures. Mater. Lett. 2008, 62, 2132–2135. [Google Scholar] [CrossRef]
- Khomutov, M.G.; Pozdniakov, A.V.; Churyumov, A.Y.; Barkov, R.Y.; Solonin, A.N.; Glavatskikh, M.V. Flow stress modelling and 3D processing maps of Al4.5Zn4.5Mg1Cu0.12Zr alloy with different scandium contents. Appl. Sci. 2021, 11, 4587. [Google Scholar] [CrossRef]
- Wang, H.; Zhang, Z.; Zhai, R.; Ma, R.; Zhao, J. New method to develop High temperature constitutive model of metal based on the Arrhenius-type model. Mater. Today Commun. 2020, 24, 101000. [Google Scholar] [CrossRef]
- Cai, J.; Zhang, X.; Wang, K.; Miao, C. Physics-Based Constitutive Model to Predict Dynamic Recovery Behavior of BFe10-1-2 Cupronickel Alloy during Hot Working. High Temp. Mat. Processes 2016, 35, 1037–1045. [Google Scholar]
- Zhao, Q.; Liu, Z.; Bai, S.; Li, S.; Hu, Y.; Xia, P. Coincidence site lattice boundary mechanism for the preferred growth of Goss and Cube grains during annealing in an Al-Cu-Mg alloy. Mater. Charact. 2018, 141, 193–211. [Google Scholar] [CrossRef]
- Wu, W.; Song, Y.; Zhou, P.; Yu, Y.; Xie, L.; Hua, L. Mechanical properties improvement of pre-deformed Al–Zn–Mg–Cu alloys by electroshocking treatment based on the non-equilibrium scattering of electron-dislocation. J. Alloy. Compd. 2021, 861, 157987. [Google Scholar] [CrossRef]
- Gu, K.; Wang, K.; Chen, L.; Guo, J.; Cui, C.; Wang, J. Micro-plastic deformation behavior of Al-Zn-Mg-Cu alloy subjected to cryo-cycling treatment. Mater. Sci. Eng. A 2019, 742, 672–679. [Google Scholar] [CrossRef]
- Ud Din, S.; Kamran, J.; Tariq, N.H.; Hasan, B.A.; Petrov, R.H.; Bliznuk, V.; Uz Zuha, S. The synergistic effect of Li addition on microstructure, texture and mechanical properties of extruded Al–Mg–Si alloys. Mater. Chem. Phys. 2016, 174, 11–22. [Google Scholar] [CrossRef]
- Zhong, L.; Gao, W.; Feng, Z.; Lu, Z.; Zhu, C. Hot deformation characterization of as-homogenized Al-Cu-Li X2A66 alloy through processing maps and microstructural evolution. J. Mater. Sci. Technol. 2019, 35, 2409–2421. [Google Scholar] [CrossRef]
- Wu, Y.; Liu, C.; Liao, H.; Jiang, J.; Ma, A. Joint effect of micro-sized Si particles and nano-sized dispersoids on the flow behavior and dynamic recrystallization of near-eutectic Al–Si based alloys during hot compression. J. Alloy. Compd. 2021, 856, 158072. [Google Scholar] [CrossRef]
- Shuai, L.F.; Huang, T.L.; Wu, G.L.; Huang, X.; Mishin, O.V. Development of Goss texture in Al–0.3%Cu annealed after heavy rolling. J. Alloy. Compd. 2018, 749, 399–405. [Google Scholar] [CrossRef]
- Li, L.; Wei, L.; Xu, Y.; Mao, L.; Wu, S. Study on the optimizing mechanisms of superior comprehensive properties of a hot spray formed Al-Zn-Mg-Cu alloy. Mater. Sci. Eng. A 2019, 742, 102–108. [Google Scholar] [CrossRef]
- Liu, L.; Jia, Y.Y.; Jiang, J.T.; Zhang, B.; Li, G.A.; Shao, W.Z.; Zhen, L. The effect of Cu and Sc on the localized corrosion resistance of Al-Zn-Mg-X alloys. J. Alloy. Compd. 2019, 799, 1–14. [Google Scholar] [CrossRef]
- Li, X.; Liu, C.; Luo, K.; Ma, M.; Liu, R. Hot deformation behaviour of SiC/AA6061 composites prepared by spark plasma sintering. J. Mater. Sci. Tech. 2016, 32, 291–297. [Google Scholar] [CrossRef]
- Wang, L.; Wang, X.; Zhu, X.; Xu, X.; Cui, J.; Liao, B.; Wu, X. Role of Vanadium Addition on Hot Deformation Behavior of Aluminum Alloy 5083. Metals 2019, 9, 766. [Google Scholar] [CrossRef]
- Lin, Y.C.; Dong, W.Y.; Zhou, M.; Wen, D.X.; Chen, D.D. A unified constitutive model based on dislocation density for an Al-Zn-Mg-Cu alloy at time-variant hot deformation conditions. Mater. Sci. Eng. A 2018, 718, 165–172. [Google Scholar] [CrossRef]
- Lu, Z.; Pan, Q.; Liu, X.; Qin, Y.; He, Y.; Cao, S. Artificial neural network prediction to the hot compressive deformation behavior of Al–Cu–Mg–Ag heat-resistant aluminum alloy. Mech. Res. Commun. 2011, 38, 192–197. [Google Scholar] [CrossRef]
- Li, B.; Pan, Q.; Zhang, Z.; Zhou, J. Research on the hot deformation behavior of Al-Zn-Mg-Sc-Zr alloy during compression at elevated temperature. J. mater. Eng. Perform. 2013, 22, 536–540. [Google Scholar] [CrossRef]















| No. | Factors | ||
|---|---|---|---|
| A | B | C | |
| Strain | Deformation Temperature/K | Strain Rate/s−1 | |
| 1 | 0.1 | 573 | 0.1 |
| 2 | 0.3 | 623 | 1 |
| 3 | 0.6 | 673 | 10 |
| 4 | 0.9 | 723 | 20 |
| 5 | 1.1 | 773 | 20 |
| No. | Factors | Stress (MPa) | ||
|---|---|---|---|---|
| A | B | C | ||
| 1 | 1 | 1 | 1 | 150.8 |
| 2 | 1 | 2 | 2 | 120.3 |
| 3 | 1 | 3 | 3 | 120.1 |
| 4 | 1 | 4 | 4 | 111.8 |
| 5 | 1 | 5 | 4 | 90.5 |
| 6 | 2 | 1 | 2 | 164 |
| 7 | 2 | 2 | 3 | 137.1 |
| 8 | 2 | 3 | 4 | 126.6 |
| 9 | 2 | 4 | 4 | 117.3 |
| 10 | 2 | 5 | 1 | 31.5 |
| 11 | 3 | 1 | 3 | 180.3 |
| 12 | 3 | 2 | 4 | 140.2 |
| 13 | 3 | 3 | 4 | 121.9 |
| 14 | 3 | 4 | 1 | 45.2 |
| 15 | 3 | 5 | 2 | 42.3 |
| 16 | 4 | 1 | 4 | 162.4 |
| 17 | 4 | 2 | 4 | 138.7 |
| 18 | 4 | 3 | 1 | 61.0 |
| 19 | 4 | 4 | 2 | 79.5 |
| 20 | 4 | 5 | 3 | 68.8 |
| 21 | 5 | 1 | 4 | 157.4 |
| 22 | 5 | 2 | 1 | 88.8 |
| 23 | 5 | 3 | 2 | 100.8 |
| 24 | 5 | 4 | 3 | 98.6 |
| 25 | 5 | 5 | 4 | 73.5 |
| K1 | 593.5 | 814.9 | 373.3 | T = 2729.4 |
| K2 | 576.5 | 625.1 | 506.9 | |
| K3 | 529.9 | 530.4 | 604.9 | |
| K4 | 510.4 | 452.4 | 1240.3 | |
| K5 | 519.1 | 306.8 | ||
| 118.7 | 163 | 75.46 | ||
| 115.3 | 125.02 | 101.38 | ||
| 106.0 | 106.08 | 120.98 | ||
| 102.1 | 90.48 | 124.03 | ||
| 103.8 | 61.36 | |||
| Sources of Variance | Sum of Deviation Squared S | Degrees of Freedom f | Sum of Squares of Mean Deviation MS | F Value | Significant |
|---|---|---|---|---|---|
| Strain | 1087.322 | 4 | 217.8304 | 2.179 | - |
| Deformation temperature | 29,000.66 | 4 | 7250.165 | 58.119 | ** |
| Strain rate | 8290.3366 | 3 | 2763.4455 | 22.152 | ** |
| Error | 1621.706 | 13 | 124.7466 | - | - |
| Total | 40,000.03 | 24 | - | - | - |
| ε | n | |||
|---|---|---|---|---|
| 0.1 | 10.42 | 0.00936 | 188.03 | 27.95 |
| 0.2 | 11.11 | 0.00814 | 202.86 | 28.35 |
| 0.3 | 11.72 | 0.00857 | 208.71 | 29.63 |
| 0.4 | 12.51 | 0.00884 | 217.32 | 30.24 |
| 0.5 | 12.72 | 0.00897 | 223.04 | 30.86 |
| 0.6 | 12.92 | 0.00899 | 219.21 | 31.04 |
| 0.7 | 12.51 | 0.00921 | 208.74 | 29.85 |
| 0.8 | 12.01 | 0.00940 | 201.89 | 29.33 |
| 0.9 | 9.23 | 0.01209 | 198.81 | 26.26 |
| 1.0 | 8.11 | 0.01301 | 196.72 | 24.13 |
| 1.1 | 7.21 | 0.01402 | 194.61 | 22.01 |
Publisher’s Note: MDPI stays neutral with regard to jurisdictional claims in published maps and institutional affiliations. |
© 2022 by the authors. Licensee MDPI, Basel, Switzerland. This article is an open access article distributed under the terms and conditions of the Creative Commons Attribution (CC BY) license (https://creativecommons.org/licenses/by/4.0/).
Share and Cite
Cai, J.; Chen, L.; Yang, J.; Wang, W.; Ding, B.; Yang, Q.; Qiao, K.; Wang, K. Hot Deformation Behavior and Microstructure Evolution of High-Strength Al-Zn-Mg-Cu Alloy. Metals 2022, 12, 1695. https://doi.org/10.3390/met12101695
Cai J, Chen L, Yang J, Wang W, Ding B, Yang Q, Qiao K, Wang K. Hot Deformation Behavior and Microstructure Evolution of High-Strength Al-Zn-Mg-Cu Alloy. Metals. 2022; 12(10):1695. https://doi.org/10.3390/met12101695
Chicago/Turabian StyleCai, Jun, Lin Chen, Juan Yang, Wen Wang, Ben Ding, Qingxiang Yang, Ke Qiao, and Kuaishe Wang. 2022. "Hot Deformation Behavior and Microstructure Evolution of High-Strength Al-Zn-Mg-Cu Alloy" Metals 12, no. 10: 1695. https://doi.org/10.3390/met12101695
APA StyleCai, J., Chen, L., Yang, J., Wang, W., Ding, B., Yang, Q., Qiao, K., & Wang, K. (2022). Hot Deformation Behavior and Microstructure Evolution of High-Strength Al-Zn-Mg-Cu Alloy. Metals, 12(10), 1695. https://doi.org/10.3390/met12101695
