Investigation of High-Temperature Constitutive Behavior of Ti555211 Titanium Alloy Subjected to Plastic Deformation in the Different Phase Regions
Abstract
:1. Introduction
2. Materials and Methods
3. Results and Discussion
3.1. Deformation Behavior of Ti555211 Alloy at High Temperatures
3.2. Establishing Constitutive Equation of Ti555211 Alloy at High Temperatures
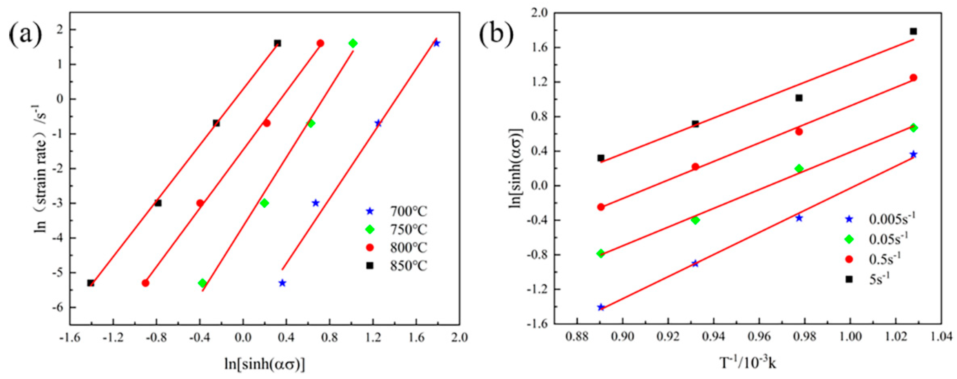
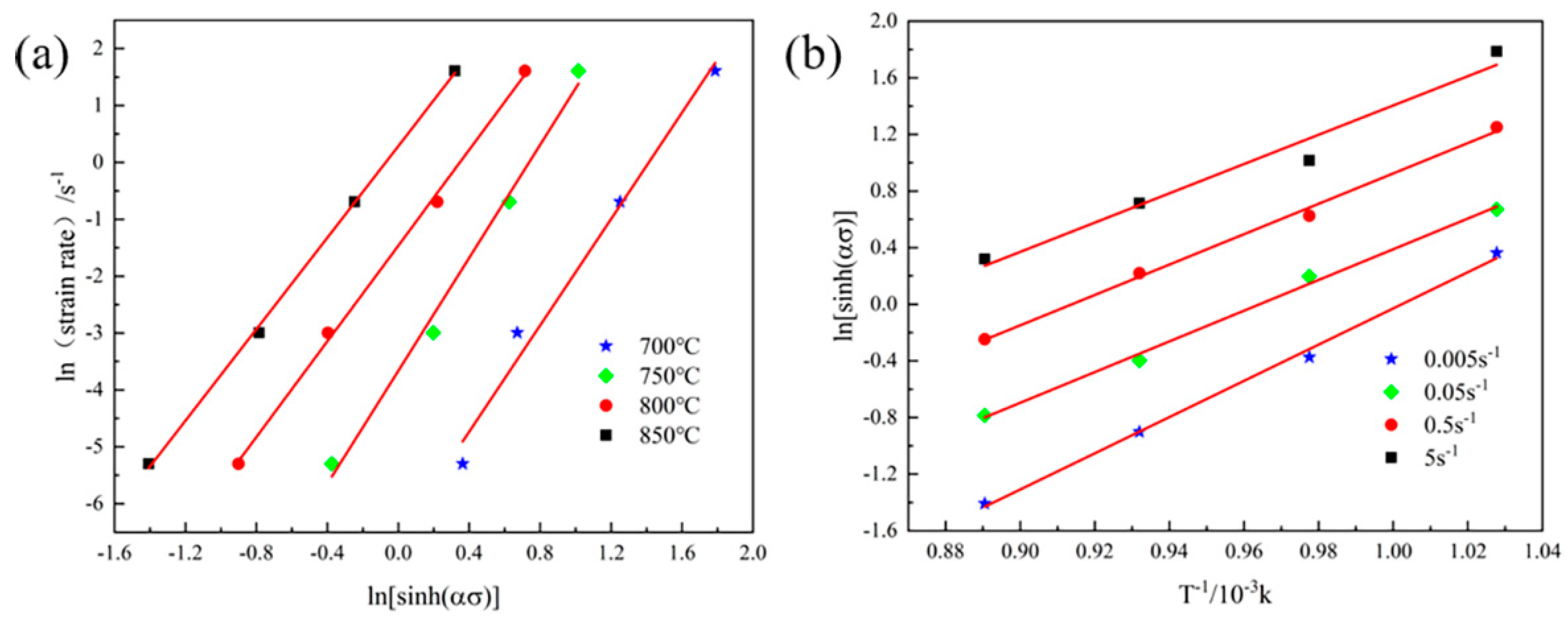
3.2.1. Constitutive Equation of Dual-Phase Ti555211 Alloy
3.2.2. Constitutive Equation of Single-Phase Ti555211 Alloy
3.3. Microstructural Evolution of Ti555211 Alloy
4. Conclusions
- High-temperature constitutive equations of Ti555211 titanium alloy in the dual-phase zone and single-phase zone were established in order to describe the deformation behavior of Ti555211 titanium alloy in the different phase zones. By comparing the constitutive equation of Ti555211 alloy in the dual-phase zone with that of Ti555211 alloy in the single-phase zone, it was found that the deformation activation energy of the former is greater than that of the latter. It is obvious that the activation energy of the α phase is obviously greater than that of the β phase;
- It is evident that the microstructural evolution of Ti555211 alloy is different in the dual-phase zone and single-phase zone. When Ti555211 alloy was subjected to plastic deformation in the dual-phase zone, the size of the grains in the α phase was not sensitive to the strain rate, whereas the size of the grains in the β phase increased with the decreasing strain rate. When Ti555211 alloy was subjected to plastic deformation in the single-phase zone, the size of the grains in the β phase considerably increased with the increasing deformation temperature;
- It was found that, compared to dual-phase Ti555211 alloy, single-phase Ti555211 alloy possesses the larger grain size. In addition, the grains are gradually elongated with the increasing strain rate. This phenomenon indicates that dynamic recrystallization of single-phase Ti555211 alloy is implemented more completely at the lower strain rate. Furthermore, it can be concluded that it is more difficult for Ti555211 alloy to induce plastic deformation in the dual-phase region than in the single-phase region.
Author Contributions
Funding
Institutional Review Board Statement
Informed Consent Statement
Data Availability Statement
Acknowledgments
Conflicts of Interest
References
- Zang, M.C.; Niu, H.Z.; Yu, J.S.; Zhang, H.R.; Zhang, T.B.; Zhang, D.L. Cryogenic tensile properties and deformation behavior of a fine-grained near alpha titanium alloy with an equiaxed microstructure. Mater. Sci. Eng. A 2022, 840, 142952. [Google Scholar] [CrossRef]
- Zhang, C.J.; Jiang, X.; LÜ, Z.D.; Feng, H.; Zhang, S.Z.; Xu, Y.; Hayat, M.D.; Cao, P. Effect of duplex aging on microstructure and mechanical properties of near-β titanium alloy processed by isothermal multidirectional forging. Trans. Nonferrous Met. Soc. China 2022, 32, 1159–1168. [Google Scholar] [CrossRef]
- Kaur, M.; Singh, K. Review on titanium and titanium based alloys as biomaterials for orthopaedic applications. Mater. Sci. Eng. C 2019, 102, 844–862. [Google Scholar] [CrossRef]
- Huang, S.S.; Zhang, J.H.; Ma, Y.J.; Zhang, S.L.; Youssef, S.S.; Qi, M. Influence of thermal treatment on element partitioning in alpha plus beta titanium alloy. J. Alloys Compd. 2019, 791, 575–585. [Google Scholar] [CrossRef]
- Li, J.Q.; Lin, X.; Guo, P.F.; Song, M.H.; Huang, W.D. Electrochemical behaviour of laser solid formed Ti-6Al-4V alloy in a highly concentrated NaCl solution. Corrosion Sci 2018, 142, 161–174. [Google Scholar] [CrossRef]
- Xie, L.F.; Zhou, W.L.; Zou, S.W. Pitting behavior of Ti-15-3 titanium alloy with different surface in salt spray studied using electrochemical noise. J. Mater. Res. Technol. 2021, 14, 2865–2883. [Google Scholar] [CrossRef]
- Lavisse, L.; Kanjer, A.; Berger, P.; Optasanu, V.; Gorny, C.; Peyre, P.; Montesin, T.; Marco de Lucas, M.C. High temperature oxidation resistance and microstructure of laser-shock peened Ti-Beta-21S. Surf. Coat. Technol. 2020, 403, 126368. [Google Scholar] [CrossRef]
- Chen, W.; Zhang, J.Y.; Cao, S.; Pan, Y.; Huang, M.D.; Hu, Q.M.; Sun, Q.Y.; Xiao, L.; Sun, J. Strong deformation anisotropies of ω-precipitates and strengthening mechanisms in Ti-10V-2Fe-3Al alloy micropillars: Precipitates shearing vs precipitates disordering. Acta Mater. 2016, 117, 68–80. [Google Scholar] [CrossRef]
- Zhu, W.G.; Li, P.; Sun, X.; Chen, W.; Zhang, H.L.; Sun, Q.Y.; Liu, B.; Xiao, L.; Sun, J. Precipitation response and hardening behaviors of Fe-modified Ti5553 alloy. Trans. Nonferrous Met. Soc. China 2019, 29, 1242–1251. [Google Scholar] [CrossRef]
- Guo, H.J.; Liu, P.; Qin, X.P.; Song, Y.L.; Qian, D.S.; Xie, L.C.; Wang, L.Q.; Zhang, L.C.; Hu, L. Electroshock treatment dependent microstructural evolution and mechanical properties of near-β titanium alloy manufactured by directed energy deposition. Mater. Des. 2021, 212, 110286. [Google Scholar] [CrossRef]
- Zhao, Q.Y.; Sun, Q.Y.; Xin, S.W.; Chen, Y.N.; Wu, C.; Wang, H.; Xu, J.W.; Wan, M.P.; Zeng, W.D.; Zhao, Y.Q. High-strength titanium alloys for aerospace engineering applications: A review on melting-forging process. Mater. Sci. Eng. A 2022, 845, 143260. [Google Scholar] [CrossRef]
- Huang, Z.R.; Xiao, H.; Yu, J.X.; Zhang, H.Y.; Huang, H.G.; Yu, K.; Zhou, R.F. Effects of different annealing cooling methods on the microstructure and properties of TA10 titanium alloys. J. Mater. Res. Technol. 2022, 18, 4859–4870. [Google Scholar] [CrossRef]
- Keist, J.S.; Nayir, S.; Palmer, T.A. Impact of hot isostatic pressing on the mechanical and microstructural properties of additively manufactured Ti-6Al-4V fabricated using directed energy deposition. Mater. Sci. Eng. A 2020, 787, 139454. [Google Scholar] [CrossRef]
- Lu, T.; Dan, Z.H.; Li, T.J.; Dai, G.Q.; Sun, Y.Y.; Guo, Y.H.; Li, K.; Yi, D.Q.; Chang, H.; Zhou, L. Flow softening and microstructural evolution of near b titanium alloy Ti-35421 during hot compression deformation in the aþb region. J. Mater. Res. Technol. 2022, 19, 2257–2274. [Google Scholar] [CrossRef]
- Zhang, F.S.; Lai, Y.J.; Wang, K.W.; Liu, X.H.; Feng, Y.; Zhang, P.X. Influences of heat treatments on the microstructures and properties of large diameter Ti-5553 alloy bars. Rare Met. Mater. Eng. 2014, 43, 1507–1510. [Google Scholar]
- Wu, C.; Zhou, Y.J.; Liu, B. Experimental and simulated investigation of the deformation behavior and microstructural evolution of Ti6554 titanium alloy during an electropulsing-assisted microtension process. Mater. Sci. Eng. A 2022, 838, 142745. [Google Scholar] [CrossRef]
- Shi, S.X.; Ge, J.Y.; Lin, Y.C.; Zhang, X.Y.; Zhou, K.C. High-temperature deformation behavior and recrystallization mechanism of a near beta titanium alloy Ti-55511 in β phase region. Mater. Sci. Eng. A 2022, 847, 143335. [Google Scholar] [CrossRef]
- Ratochka, I.V.; Naydenkin, E.V.; Mishin, I.P.; Lykova, O.N.; Zabudchenko, O.V. Low-temperature superplasticity of ultrafine-grained near β titanium alloy. J. Alloys Compd. 2021, 891, 161981. [Google Scholar] [CrossRef]
- Zhu, Y.C.; Fan, J.X.; Li, Z.L.; Luo, Y.Y.; Niu, Y. Study of strain rate sensitivity exponent and strain hardening exponent of typical titanium alloys. Mater. Today Commun. 2022, 30, 103060. [Google Scholar] [CrossRef]
- Sani, S.A.; Ebrahimi, G.R.; Vafaeenezhad, H. Modeling of hot deformation behavior and prediction of flow stress in a magnesium alloy using constitutive equation and artificial neural network (ANN) model. J. Magnes. Alloys 2018, 6, 134–144. [Google Scholar] [CrossRef]
- Hadadzadeh, A.; Wells, M.A. Analysis of the hot deformation of ZK60 magnesium alloy. J. Magnes. Alloys 2017, 5, 369–387. [Google Scholar] [CrossRef]
- Barezban, M.H.; Mirzadeh, H.; Reza, R. Constitutive analysis of wrought Mg-Gd magnesium alloys during hot compression at elevated temperatures. J. Alloys Compd. 2019, 791, 1200–1206. [Google Scholar] [CrossRef]
- Yuan, Z.W.; Li, F.G.; Qiao, H.J.; Xiao, M.L.; Cai, J.; Li, J. A modifified constitutive equation for elevated temperature flflow behavior of Ti-6Al-4V alloy based on double multiple nonlinear regression. Mater. Sci. Eng. A 2013, 578, 260–270. [Google Scholar] [CrossRef]
- Zhao, J.W.; Ding, H.; Zhao, W.J.; Huang, M.L.; Wei, D.B.; Jiang, Z.Y. Modelling of the hot deformation behaviour of a titanium alloy using constitutive equations and artifificial neural network. Comp. Mater. Sci. 2014, 92, 47–56. [Google Scholar] [CrossRef]
- Evans, R.W.; Scharning, P.J. Axisymmetric compression test and hot working properties of alloys. Mater. Sci. Technol. 2001, 17, 995–1004. [Google Scholar] [CrossRef]
- Wan, Z.P.; Hu, L.X.; Sun, Y.; Wang, T.; Li, Z. Hot deformation behavior and processing workability of a Ni-based alloy. J. Alloys Compd. 2018, 769, 367–375. [Google Scholar] [CrossRef]
- Sun, D.; Jiang, S.Y.; Yan, B.Y.; Yu, J.B.; Zhang, Y.Q. Mechanical behaviour and microstructural evolution of Ti-37 at.%Nb alloy subjected to hot compression deformation. J. Alloys Compd. 2020, 834, 155010. [Google Scholar] [CrossRef]
- Saborri, A.; Abdi, A.; Fatemi, S.A.; Marchese, G.; Biamino, S.; Mirzadeh, H. Hot deformation behavior and flow stress modeling of Ti-6Al-4V alloy produced via electron beam melting additive manufacturing technology in single β-phase field. Mater. Sci. Eng. A 2020, 792, 139822. [Google Scholar] [CrossRef]
- Motallebi, R.; Savaedi, Z.; Mirzadeh, H. Additive manufacturing-A review of hot deformation behavior and constitutive modeling of flow stress. Curr. Opin. Solid State Mater. Sci. 2022, 26, 100992. [Google Scholar] [CrossRef]
- Jiang, S.Y.; Wang, Y.; Zhang, Y.Q.; Xing, X.D.; Yan, B.Y. Constitutive behavior and microstructural evolution of FeMnSiCrNi shape memory alloy subjected to compressive deformation at high temperatures. Mater. Des. 2019, 182, 108019. [Google Scholar] [CrossRef]
- Zhang, Y.Q.; Jiang, S.Y.; Zhao, Y.N.; Liu, S.W. Constitutive equation and processing map of equiatomic NiTi shape memory alloy under hot plastic deformation. Trans. Nonferrous Met. Soc. China 2016, 26, 2152–2161. [Google Scholar] [CrossRef]
- Jiang, S.Y.; Sun, D.; Zhang, Y.Q.; Hu, L. Deformation Behavior and Microstructure Evolution of NiTiCu Shape Memory Alloy Subjected to Plastic Deformation at High Temperatures. Metals 2017, 7, 294. [Google Scholar] [CrossRef]
- Savaedi, Z.; Motallebi, R.; Mirzadeh, H. A review of hot deformation behavior and constitutive models to predict flow stress of high-entropy alloys. J. Alloys Compd. 2022, 903, 163964. [Google Scholar] [CrossRef]














| Ti | Al | Mo | V | Nb | Fe | Zr |
|---|---|---|---|---|---|---|
| Bal | 5.8 | 4.5 | 5.3 | 1.9 | 1.0 | 0.9 |
| /s−1 | /°C | |||
|---|---|---|---|---|
| 700 | 750 | 800 | 850 | |
| 0.005 | 253.41902 | 140.39049 | 86.42898 | 52.95557 |
| 0.05 | 311.06395 | 224.55433 | 137.64007 | 96.48557 |
| 0.5 | 429.17 | 302.23543 | 228.28947 | 156.84211 |
| 5 | 543.25127 | 380.24901 | 319.55999 | 245.62818 |
| /s−1 | T/°C | |||
|---|---|---|---|---|
| 900 | 950 | 1000 | 1050 | |
| 0.005 | 36.59946 | 25.08206 | 21.83291 | 19.01952 |
| 0.05 | 63.52716 | 51.86333 | 42.47453 | 37.75538 |
| 0.5 | 118.73231 | 96.78551 | 91.57046 | 69.62649 |
| 5 | 196.46293 | 158.29796 | 119.8755 | 110.84324 |
Publisher’s Note: MDPI stays neutral with regard to jurisdictional claims in published maps and institutional affiliations. |
© 2022 by the authors. Licensee MDPI, Basel, Switzerland. This article is an open access article distributed under the terms and conditions of the Creative Commons Attribution (CC BY) license (https://creativecommons.org/licenses/by/4.0/).
Share and Cite
Gao, Y.; Xue, X.; Gao, H.; Luo, W.; Wang, K.; Li, S.; Liu, X.; Du, Y. Investigation of High-Temperature Constitutive Behavior of Ti555211 Titanium Alloy Subjected to Plastic Deformation in the Different Phase Regions. Metals 2022, 12, 1562. https://doi.org/10.3390/met12101562
Gao Y, Xue X, Gao H, Luo W, Wang K, Li S, Liu X, Du Y. Investigation of High-Temperature Constitutive Behavior of Ti555211 Titanium Alloy Subjected to Plastic Deformation in the Different Phase Regions. Metals. 2022; 12(10):1562. https://doi.org/10.3390/met12101562
Chicago/Turabian StyleGao, Yushe, Xiangyi Xue, Huixian Gao, Wenzhong Luo, Kaixuan Wang, Shaoqiang Li, Xianghong Liu, and Yuxuan Du. 2022. "Investigation of High-Temperature Constitutive Behavior of Ti555211 Titanium Alloy Subjected to Plastic Deformation in the Different Phase Regions" Metals 12, no. 10: 1562. https://doi.org/10.3390/met12101562
APA StyleGao, Y., Xue, X., Gao, H., Luo, W., Wang, K., Li, S., Liu, X., & Du, Y. (2022). Investigation of High-Temperature Constitutive Behavior of Ti555211 Titanium Alloy Subjected to Plastic Deformation in the Different Phase Regions. Metals, 12(10), 1562. https://doi.org/10.3390/met12101562
