Seismic Experimental Assessment of Remote Terminal Unit System with Friction Pendulum under Triaxial Shake Table Tests
Abstract
:1. Introduction
2. Friction Pendulum System
3. Target System and Installation Conditions
4. Target Input Ground Motion
4.1. Artificial Earthquakes
4.2. Recorded Earthquakes
5. Shaking Table Tests
5.1. Sensing
5.2. Experimental Test Procedure
6. Vibration Characteristics of Seismically Isolated RTU System
6.1. Resonant Frequency
6.2. Damage Observation
6.3. Response of Strain and Relative Displacement
6.4. Response of Accelerations
6.5. Amplification of the Response Spectrum Acceleration
7. Discussion and Conclusions
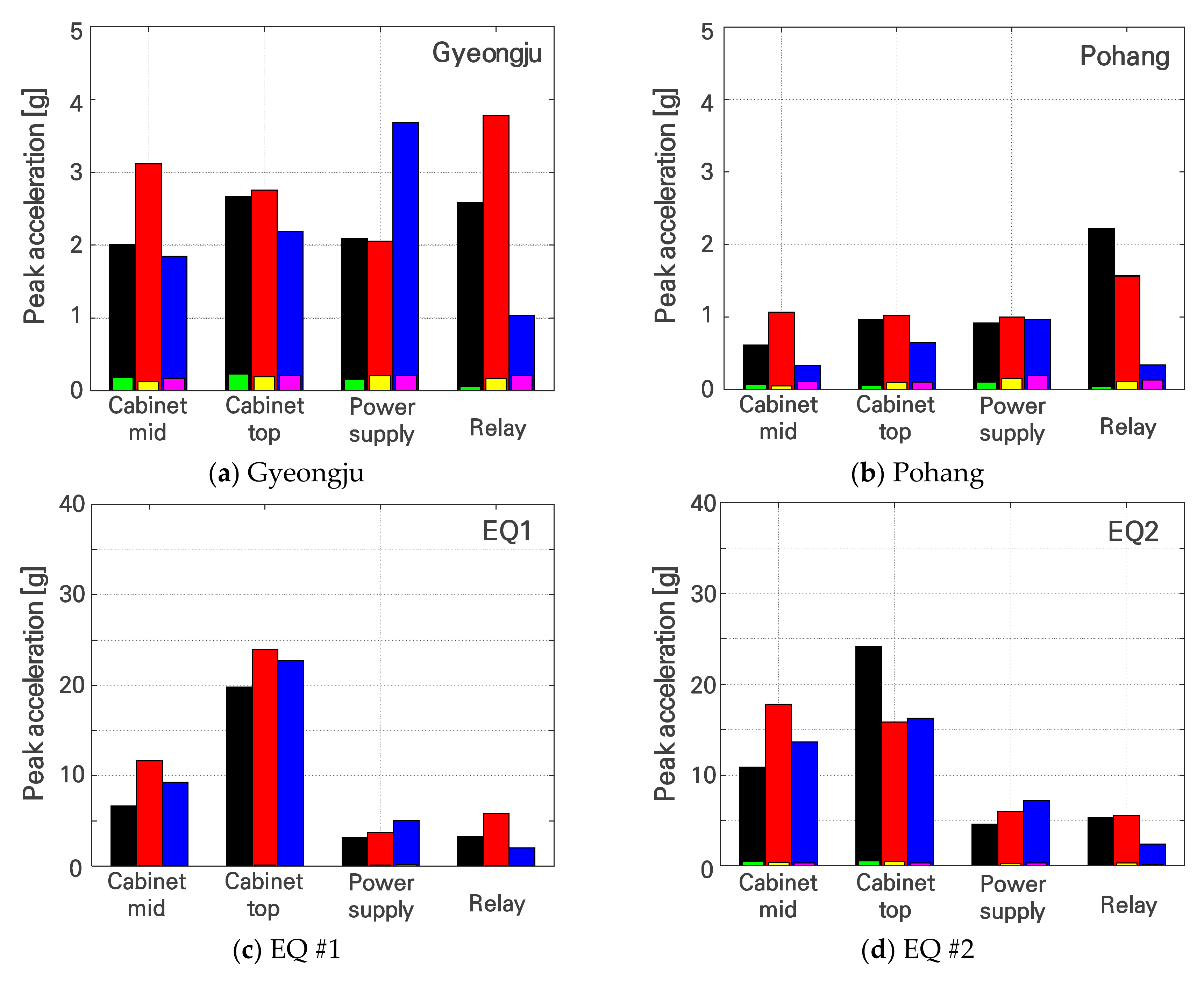
- For Case 1, wherein the RTU panel was fixed to the concrete foundation using a set anchor, the peak acceleration response of the internal components’ power supply and relay was greater than that of other locations for the recorded earthquake test. In contrast, during the artificial earthquake tests, the peak acceleration response measured at the top of the panel enclosure was the highest.
- The acceleration response measured at the panel enclosure was significant owing to the impact caused by shaking or lifting of the door of the RTU system. In addition, such an impact can amplify vibrations in the high-frequency region.
- For the case of the RTU system installed with the non-overturn seismic isolator (Case 2), the peak acceleration response up to EQ #3, where the RTU panel was damaged in Case 1, was less than 70%, in comparison to that in Case 1.
- Moreover, the permanent deformation of the seismic isolator in the RTU panel was not observed around the lower plate bolts in the EQ #4 test. The amplification of the seismic force was investigated by the amplification ratio (Fa) of the TRS of the acceleration signal measured at the shaking table bottom and the locations of the sensors.
- In both cases 1 and 2, the acceleration in the vertical direction of the power supply was significantly amplified, and the amplification ratio (Fa) value of Case 1 rapidly increased in the frequency range above 30 Hz. Furthermore, the vibration of the device, shaking of the door, and uplifting in the high-frequency content affected the amplification ratio of the responses considerably.
- For Case 2, the peak values of Fa up to the test of EQ #2 related to the level of the design earthquake was effectively controlled to be less than 1 in both the horizontal and vertical directions. The Fa value of ZPA (50 Hz) corresponding to the peak value of the acceleration time history was evaluated.
- The Fa value of critical internal equipment associated with the artificial earthquakes EQ #1 and #2 for Case 2 was 0.4 and 0.11, respectively. Therefore, the non-overturn seismic isolator applied to the lower part of the RTU panel effectively controlled the internal equipment against artificial earthquakes (EQ #1 and #2), considering the seismic design standards.
- In addition, various damage modes, such as the fall of the wire mold, damage to the door lock, door opening, and damage to the anchor bolt, occurred in the RTU panel fixed using a set anchor on the concrete foundation; however, for the case of the RTU system installed with the non-overturn seismic isolator, the damage was observed only at the seismic isolator.
Author Contributions
Funding
Institutional Review Board Statement
Informed Consent Statement
Data Availability Statement
Acknowledgments
Conflicts of Interest
References
- Midanda, E.; Taghavi, S. Estimation of seismic demands on acceleration-sensitive nonstructural components in critical facilities. In Proceedings of Seminar on Seismic Design, Performance, and Retrofit of Nonstructural Components in Critical Facilities; ATC 29-2; Session V: Risk and Performance Evaluation I; Multidisciplinary Center for Earthquake Engineering Research (MCEER): Buffalo, NY, USA; National Science Foundation (NSF): Alexandria, VA, USA, 2003; pp. 347–360. [Google Scholar]
- Kwag, S.; Ryu, Y.H.; Ju, B.S. Efficient seismic fragility analysis for large-scale piping system utilizing Bayesian approach. Appl. Sci. 2020, 10, 1515. [Google Scholar] [CrossRef] [Green Version]
- Yoon, B. Nonstructural Element Resulting from Pohang Earthquake and Direction of Future Seismic Design Nonstructural Elements; Architectural Institute of Korea: Seoul, Korea, 2018; Volume 62, p. 4. [Google Scholar]
- Lin, F.R.; Chai, J.F.; Lai, Z.Y.; Chen, M.Y.; Huang, Y.N.; Chang, K.C. A simplified method for the evaluation of seismic demands on in-cabinet equipment in motor control center type cabinets in nuclear power plants. J. Chin. Inst. Eng. 2017, 40, 179–190. [Google Scholar] [CrossRef]
- Kim, D.K.; Cho, S.G.; Joe, Y.H.; Yi, J.H.; Ko, S.H. Modal Parameter Identification of Cabinets of Nuclear Power Plant. In Proceedings of the Earthquake Engineering Society of Korea Conference, Yongin, Korea, 20 March 2009. [Google Scholar]
- Son, H.; Park, S.; Jeon, B.G.; Jung, W.Y.; Choi, J.; Ju, B.S. Seismic Qualification of Electrical Cabinet Using High-Fidelity Simulation under High Frequency Earthquakes. Sustainability 2020, 12, 8048. [Google Scholar] [CrossRef]
- Jeon, B.G.; Yun, D.W.; Shin, Y.J.; Jung, W.Y. Seismic performance evaluation for hydroelectric power plants RTU panel by shaking table tests. Trans. Korea Soc. Noise Vib. Eng. 2019, 29, 770–779. [Google Scholar] [CrossRef]
- Gupta, A.; Rustogi, S.K.; Gupta, A.K. Ritz Vector approach for evaluating in-cabinet response spectra. Nucl. Eng. Des. 1999, 190, 255–272. [Google Scholar] [CrossRef]
- Chang, S.-J.; Jeong, Y.-S.; Eem, S.-H.; Choi, I.-K.; Park, D.-U. Evaluation of MCC seismic response according to the frequency contents through the shake table test. Nucl. Eng. Technol. 2020. [Google Scholar] [CrossRef]
- Yang, J.; Rustogi, S.; Gupta, A. Rocking stiffness of mounting arrangements in electrical cabinets and control panels. Nucl. Eng. Des. 2003, 219, 127–141. [Google Scholar] [CrossRef]
- Eem, S.-H.; Jeon, B.-G.; Jang, S.-J.; Choi, I.-K. Evaluate the Characteristics of Vibration Caused by Rocking Modes of Electric Cabinet under Seismic Loading. Trans. Korean Soc. Noise Vib. Eng. 2019, 29, 735–744. [Google Scholar] [CrossRef]
- Yun, D.W.; Chang, S.J.; Jeon, B.G.; Eem, S.H.; Choi, I.K. An experimental study on characteristics of vibration caused by rocking modes of electric cabinet under seismic loading. In Proceedings of the 25th Conference on Structural Mechanics in Reactor Technology, Charlotte, NC, USA, 4–9 August 2019. [Google Scholar]
- Kani, N. Current State of Seismic-isolation Design. J. Disaster Res. 2008, 4, 175–181. [Google Scholar] [CrossRef]
- Makris, N. Seismic isolation: Early history. Earthq. Eng. Struct. Dyn. 2019, 48, 269–283. [Google Scholar] [CrossRef]
- Choun, Y.S.; Kim, M.K. A performance assessment of a base isolation system for an emergency diesel generator in a nuclear power plant. Nucl. Eng. Technol. 2008, 40, 285–298. [Google Scholar] [CrossRef] [Green Version]
- Choun, Y.S.; Kim, M.K.; Ohtori, Y. The Use of a Base Isolation System for an Emergency Diesel Generator to Reduce the Core Damage Frequency Caused by a Seismic Event; Transactions; SMiRT 19: Toronto, ON, Canada, 2007. [Google Scholar]
- Kim, M.K.; Choun, Y.S.; Choi, I.K.; Seo, J.M. A Study of Seismic Capacity of Nuclear Equipment with Seismic Isolation System, KAERI/TR-2765/2004; Korea Atomic Energy Research Institute: Daejeon, Korea, 2004. [Google Scholar]
- Murota, N.; Feng, M.Q.; Liu, G.Y. Experimental and Analytical Studies of Base Isolation Systems for Seismic Protection of Power Transformers; Technical Report MCEER-05-0008: Buffalo, NY, USA, 2005. [Google Scholar]
- Ersoy, S.; Saadeghvaziri, M.A.; Lin, G.Y.; Mau, S.T. Analytical and Experimental Seismic Studies of Transformers Isolated with Friction Pendulum System and Design Aspects. Earthq. Spectra 2001, 17, 569–595. [Google Scholar] [CrossRef]
- Cao, M.G.; Cheng, Y.F.; Dai, Z.B.; Zhou, F.L.; Tan, P. Parameter Analysis and Shaking Table Test on Seismic Isolation System of Transformer with Bushings. In Proceedings of the 15th World Conference on Earthquake Engineering, Lisboa, Portugal, 24–28 September 2012. [Google Scholar]
- Oikonomou, K.; Constantinou, M.C.; Reinhorn, A.M.; Yenidogan, C. Seismic Isolation of Electrical Equipment “Seismic Table Simulation. In Proceedings of the 15th World Conference on Earthquake Engineering, Lisboa, Portugal, 24–28 September 2012. [Google Scholar]
- Cheng, Y.; Li, S.; Lu, Z.; Liu, Z.; Zhu, Z. Seismic risk mitigation of cylindrical electrical equipment with a novel isolation device. Soil Dyn. Earthq. Eng. 2018, 111, 41–52. [Google Scholar] [CrossRef]
- Tsai, C.S.; Chen, W.S.; Lin, Y.C.; Tsou, C.P.; Chen, C.C.; Lin, C.L. Shaking Table Tests of Motion Sensitive Equipment Isolated with Static Dynamics Interchangeable-Ball Pendulum System. In Proceedings of the 14th World Conference on Earthquake Engineering, Beijing, China, 12–17 October 2008. [Google Scholar]
- Kasalanati, A.; Ng, T.; Friskel, K. Seismic Isolation of Sensitive Equipment. In Proceedings of the 16th World Conference on Earthquake Engineering, 16WCEE 2017, Santiago, Chile, 9–13 January 2017. [Google Scholar]
- International Code Council. Acceptance Criteria for Seismic Certification by Shake-Table Testing of Nonstructural Components AC 156; International Code Council: Washington, DC, USA, 2018. [Google Scholar]
- Seismic Test Method of Broadcasting and Communication Equipment, 2020, National Radio Research Agency. Available online: https://www.rra.go.kr/ko/reference/lawList_view.do?lw_seq=38 (accessed on 17 November 2020).
- Jeon, B.G.; Chang, S.J.; Kim, S.W.; Kim, N.S. Base isolation performance of a cone-type friction pendulum bearing system. Struct. Eng. Mech. 2015, 53, 227–248. [Google Scholar] [CrossRef]
- Seismic Building Design Code, Korean Building Code, KDS 41 17 00 Section 18.1.3.4. 2019. Available online: https://www.kcsc.re.kr/StandardCode/Viewer/30146/KDS%2041%2017%2000 (accessed on 1 June 2019).
- American Society of Civil Engineers. ASCE/SEI 7-16 Minimum Design Loads and Associated Criteria for Buildings and Other Structures; American Society of Civil Engineers: Reston, VA, USA, 2017. [Google Scholar]
- The Ministry of Interior & Safety, Common Application of Seismic Design Criteria. 2018. Available online: https://www.mois.go.kr/frt/bbs/type001/commonSelectBoardArticle.do?bbsId=BBSMSTR_000000000015&nttId=67664 (accessed on 13 December 2018).
- International Code Council. ICC-ES AC156-2010 Acceptance Criteria for Seismic Certification by Shake-Table Testing of Nonstructural Components; International Code Council: Washington, DC, USA, 2015. [Google Scholar]
- Jeon, B.G.; Son, H.Y.; Eem, S.H.; Choi, I.K.; Ju, B.S. Dynamic characteristics of single door electrical cabinet under rocking: Source reconciliation of experimental and numerical findings. Nucl. Eng. Technol. 2021, 53, 2387–2395. [Google Scholar] [CrossRef]
- American Society of Civil Engineering. Seismic Analysis of Safety-Related Nuclear Structures and Commentary, ASCE 4-98; American Society of Civil Engineering: Reston, VA, USA, 2000. [Google Scholar] [CrossRef]
- The Institute of Electrical and Electronics Engineers. IEEE std 344-2013, IEEE Standard for Seismic Qualification of Equipment for Nuclear Power Generating Stations; The Institute of Electrical and Electronics Engineers: New York, NY, USA, 2013. [Google Scholar]
- The Institute of Electrical and Electronics Engineers. IEEE std 693-2018, IEEE Recommended Practice for Seismic Design of Substations; The Institute of Electrical and Electronics Engineers: New York, NY, USA, 2018. [Google Scholar]
- Telcordia. NEBSTM Requirements: Physical Protection; GR-63 Core; Telcordia: Piscataway, NJ, USA, 2006. [Google Scholar]
- Park, S.J.; Chun, N.H.; Hwang, K.M.; Moon, J.; Song, J.K. Evaluation of Acceleration Amplification Factors Based on the Structural Type of Substation for the Seismic Design of Power Facilities. J. Comput. Struct. Eng. Inst. Korea 2020, 33, 159–169. [Google Scholar] [CrossRef]






















| Name | Model (Detail) | Specifications [mm] | Mass [kg] | ||
|---|---|---|---|---|---|
| Length | Width | Height | |||
| RTU panel | RTU No.2-1 | 880 | 620 | 2350 | 518 |
| RTU No.3-1 | 880 | 620 | 2350 | ||
| Isolation system | Seismic isolation system (Ball transfer type FPS with non-overturning stopper) | 1750 | 860 | 110 | 373 |
| Cases | Mounting Description | |
|---|---|---|
| Shake Table—Base of UUT | Base of UUT—Bottom Plate of RTU Panel | |
| Case 1 | Base channel anchored using set anchor on the concrete slab | RTU panel fixed on the base channel using bolts |
| Case 2 | Seismic isolation system | RTU panel fixed on the isolation system using bolts |
| Size | Overall Length (mm) | Screw Length (mm) | Diameter (mm) | Tensile Force (kN) |
|---|---|---|---|---|
| M8 | 60 | 40 | 12 | 18 |
| M12 | 150 | 100 | 17 | 31 |
| Earthquakes | Amplification [%] | Code | SDS [g] | z/h | AFLEX-H [g] | ARIG-H [g] | AFLEX-V [g] | ARIG-V [g] |
|---|---|---|---|---|---|---|---|---|
| EQ #1 | 100 | Seismic design code of buildings | 0.55 | 1 | 0.88 | 0.66 | 0.36 | 0.14 |
| EQ #2 | 150 | Common application of seismic design criteria | 0.825 | 1 | 1.32 | 0.99 | 0.55 | 0.22 |
| EQ #3 | 200 | - | 1.10 | 1 | 1.76 | 1.32 | 0.73 | 0.29 |
| EQ #4 | 250 | - | 1.375 | 1 | 2.20 | 1.65 | 0.92 | 0.37 |
| No. | Test Name | Test Method |
|---|---|---|
| 1 | Visual inspection | - |
| 2 | Function verification | on-off-on test, voltage signal measurement |
| 3 | Resonant frequency search | low-level amplitude (0.05 g) single-axis sinusoidal sweep (0.5–50.0 Hz), 2 octave/min X, Y, Z axis independently |
| 4 | Seismic simulation (Recorded earthquakes) | Gyeongju earthquake Pohang earthquake |
| 5 | Seismic simulation (Artificial earthquake) | AC 156 100%–250%, time duration 30 s, Strong motion 20 s, damping ratio 5%, 0.5–50 Hz, triaxial test |
| Test | Test Name | Earthquake Name |
|---|---|---|
| 1 | Resonant frequency search #1 | - |
| 2 | Seismic simulation (recorded earthquakes) #1 | Gyeongju earthquake |
| 3 | Seismic simulation (recorded earthquakes) #2 | Pohang earthquake |
| 4 | Resonant frequency search #2 | - |
| 5 | Seismic simulation (artificial earthquake) #1 | EQ #1 (100%) |
| 6 | Seismic simulation (artificial earthquake) #2 | EQ #2 (150%) |
| 7 | Seismic simulation (artificial earthquake) #3 | EQ #3 (200%) |
| 8 | Seismic simulation (artificial earthquake) #4 | EQ #4 (250%) |
| Sensor Location | Lowest Resonant Frequency (Hz) | ||||
|---|---|---|---|---|---|
| Dir. | Case 1 | Case 2 | |||
| #1 | #2 | #1 | #2 | ||
| RTU panel bottom left (A2) | Side-to-side (X) | 15 | 15 | 1.125 | 1.125 |
| Front-to-back (Y) | 15 | 15 | 1.125 | 1.125 | |
| Vertical (Z) | N/A | N/A | 22.75 | 21.88 | |
| RTU panel middle left (A3) | Side-to-side (X) | 5.25 Hz | 4.50 Hz | 1.125 | 1.125 |
| Front-to-back (Y) | 5.25 Hz | 4.75 Hz | 1.125 | 1.125 | |
| Vertical (Z) | N/A | N/A | 22.75 | 21.88 | |
| Top of cabinet (A4) | Side-to-side (X) | 5.25 Hz | 4.75 Hz | 1.125 | 1.125 |
| Front-to-back (Y) | 5.25 Hz | 4.75 Hz | 1.125 | 1.125 | |
| Vertical (Z) | N/A | N/A | 22.75 | 21.88 | |
| Power supply (A5) | Side-to-side (X) | 5.25 Hz | 4.75 Hz | 1.125 | 1.125 |
| Front-to-back (Y) | 5.25 Hz | 4.75 Hz | 1.125 | 1.125 | |
| Vertical (Z) | 12.00 Hz | 12.00 Hz | 12.0 | 11.25 | |
| Near relay (A6) | Side-to-side (X) | 5.25 Hz | 4.50 Hz | 1.125 | 1.125 |
| Front-to-back (Y) | 5.25 Hz | 4.75 Hz | 1.125 | 1.125 | |
| Vertical (Z) | N/A | N/A | 22.75 | 21.88 | |
| Test Name | Visual Inspection | ||
|---|---|---|---|
| Case 1 | Case 2 | ||
| Seismic simulation (recorded earthquakes) | #1 (Gyeongju earthquake) | Not found | Not found |
| #2 (Pohang earthquake) | Cable mold separation | Not found | |
| Seismic simulation (artificial earthquake) | #1 (EQ #1) | Not found | Not found |
| #2 (EQ #2) | Cable mold separation | Not found | |
| #3 (EQ #3) | Door open Door lock failure M8 Set anchor failure | Not found | |
| #4 (EQ #4) | N/A | Stopper failure | |
| Sensor Location | Case1 (με) | Case2 (με) | Reduction Ratio of EQ3 (%) | ||
|---|---|---|---|---|---|
| EQ #3 | EQ #3 | EQ #4 | |||
| Permanent strain | SG2 | 500 | 10 | 80 | 98 |
| SG3 | 380 | 80 | 40 | 80 | |
| SG4 | 250 | 90 | 270 | 65 | |
| SG5 | 410 | 100 | 140 | 75 | |
| SG6 | 250 | 100 | 250 | 60 | |
| SG7 | 3960 | 50 | 140 | 99 | |
| Test No. | Earthquake | Case 1 (mm) | Case 2 (mm) | Case 1–Case 2 (mm) | Reduction Ratio (%) | ||||
|---|---|---|---|---|---|---|---|---|---|
| X | Y | X | Y | X | Y | X | Y | ||
| 2 | Gyeongju | 21 | 9 | 1 | 3 | 20 | 6 | 95 | 67 |
| 3 | Pohang | 30 | 5 | 1 | 4 | 29 | 1 | 97 | 20 |
| 5 | EQ1 | 78 | 21 | 3 | 7 | 75 | 14 | 96 | 67 |
| 6 | EQ2 | 169 | 35 | 5 | 26 | 164 | 9 | 97 | 26 |
| 7 | EQ3 | 236 | 53 | 22 | 65 | 214 | −12 | 91 | −23 |
| Test No. (Input Motion) | Case | Direction | Sensor No. (Location) | ||||
|---|---|---|---|---|---|---|---|
| A2 (Cabinet Bottom) | A3 (Cabinet Mid) | A4 (Cabinet Top) | A5 (Power Supply) | A6 (Relay) | |||
| #1 (Gyeongju) | Case 1 (g) | X | 5.30 | 7.93 | 7.45 | 7.16 | 5.96 |
| Y | 7.08 | 8.52 | 8.69 | 8.36 | 10.44 | ||
| Z | 8.14 | 5.65 | 7.77 | 12.65 | 6.34 | ||
| Case 2 (g) | X | 0.26 | 0.65 | 0.40 | 0.42 | 0.17 | |
| Y | 0.43 | 0.28 | 0.42 | 0.40 | 0.36 | ||
| Z | 0.51 | 0.51 | 0.49 | 0.41 | 0.56 | ||
| Ratio (Case 2/Case 1) (%) | X | 95.18 | 91.86 | 94.62 | 94.12 | 97.20 | |
| Y | 93.94 | 96.66 | 95.22 | 95.25 | 96.59 | ||
| Z | 93.75 | 90.99 | 93.73 | 96.74 | 91.11 | ||
| #2 (Pohang) | Case 1 (g) | X | 2.86 | 3.96 | 3.03 | 5.42 | 3.39 |
| Y | 2.10 | 4.40 | 5.88 | 6.59 | 7.83 | ||
| Z | 2.69 | 2.12 | 3.21 | 4.31 | 2.04 | ||
| Case 2 (g) | X | 0.21 | 0.16 | 0.22 | 0.52 | 0.22 | |
| Y | 0.20 | 0.19 | 0.27 | 0.50 | 0.36 | ||
| Z | 0.46 | 0.45 | 0.49 | 0.65 | 0.48 | ||
| Case 2/Case 1 | X | 92.81 | 95.94 | 92.87 | 90.47 | 93.54 | |
| Y | 90.27 | 95.63 | 95.34 | 92.47 | 95.38 | ||
| Z | 82.95 | 78.68 | 84.68 | 84.84 | 76.29 | ||
| #1 (EQ1) | Case 1 (g) | X | 21.17 | 9.04 | 24.91 | 8.44 | 5.06 |
| Y | 9.07 | 17.26 | 22.78 | 8.83 | 7.24 | ||
| Z | 7.34 | 5.12 | 12.18 | 6.12 | 3.69 | ||
| Case 2 (g) | X | 0.15 | 0.32 | 0.29 | 0.23 | 0.17 | |
| Y | 0.24 | 0.17 | 0.27 | 0.24 | 0.17 | ||
| Z | 0.11 | 0.12 | 0.16 | 0.32 | 0.11 | ||
| Case 2/Case 1 | X | 99.30 | 96.49 | 98.84 | 97.26 | 96.60 | |
| Y | 97.39 | 99.02 | 98.83 | 97.26 | 97.69 | ||
| Z | 98.48 | 97.72 | 98.70 | 94.84 | 96.98 | ||
| #2 (EQ2) | Case 1 (g) | X | 12.50 | 12.54 | 11.02 | 6.74 | 4.37 |
| Y | 10.29 | 21.57 | 18.38 | 9.05 | 8.50 | ||
| Z | 9.29 | 6.71 | 10.52 | 6.62 | 2.80 | ||
| Case 2 (g) | X | 0.54 | 0.72 | 0.72 | 0.29 | 0.22 | |
| Y | 0.60 | 0.54 | 0.53 | 0.40 | 0.25 | ||
| Z | 0.19 | 0.36 | 0.32 | 0.29 | 0.14 | ||
| Case 2/Case 1 | X | 95.65 | 94.27 | 93.50 | 95.67 | 94.98 | |
| Y | 94.17 | 97.48 | 97.13 | 95.54 | 97.06 | ||
| Z | 97.95 | 94.57 | 96.97 | 95.56 | 94.98 | ||
| #3 (EQ3) | Case 1 (g) | X | 34.72 | 36.70 | 26.76 | 5.53 | 12.22 |
| Y | 29.70 | 25.53 | 30.68 | 8.38 | 9.18 | ||
| Z | 17.65 | 9.48 | 19.12 | 7.29 | 5.26 | ||
| Case 2 (g) | X | 1.74 | 4.49 | 2.93 | 1.72 | 0.57 | |
| Y | 3.28 | 4.33 | 3.95 | 1.49 | 1.21 | ||
| Z | 0.41 | 0.88 | 0.57 | 0.64 | 0.25 | ||
| Case 2/Case 1 | X | 95.00 | 87.78 | 89.05 | 68.82 | 95.33 | |
| Y | 88.95 | 83.06 | 87.11 | 82.24 | 86.78 | ||
| Z | 97.66 | 90.68 | 97.02 | 91.27 | 95.26 | ||
Publisher’s Note: MDPI stays neutral with regard to jurisdictional claims in published maps and institutional affiliations. |
© 2021 by the authors. Licensee MDPI, Basel, Switzerland. This article is an open access article distributed under the terms and conditions of the Creative Commons Attribution (CC BY) license (https://creativecommons.org/licenses/by/4.0/).
Share and Cite
Kim, S.-W.; Jeon, B.-G.; Yun, D.-W.; Jung, W.-Y.; Ju, B.-S. Seismic Experimental Assessment of Remote Terminal Unit System with Friction Pendulum under Triaxial Shake Table Tests. Metals 2021, 11, 1428. https://doi.org/10.3390/met11091428
Kim S-W, Jeon B-G, Yun D-W, Jung W-Y, Ju B-S. Seismic Experimental Assessment of Remote Terminal Unit System with Friction Pendulum under Triaxial Shake Table Tests. Metals. 2021; 11(9):1428. https://doi.org/10.3390/met11091428
Chicago/Turabian StyleKim, Sung-Wan, Bub-Gyu Jeon, Da-Woon Yun, Woo-Young Jung, and Bu-Seog Ju. 2021. "Seismic Experimental Assessment of Remote Terminal Unit System with Friction Pendulum under Triaxial Shake Table Tests" Metals 11, no. 9: 1428. https://doi.org/10.3390/met11091428
APA StyleKim, S.-W., Jeon, B.-G., Yun, D.-W., Jung, W.-Y., & Ju, B.-S. (2021). Seismic Experimental Assessment of Remote Terminal Unit System with Friction Pendulum under Triaxial Shake Table Tests. Metals, 11(9), 1428. https://doi.org/10.3390/met11091428

