Reductions of Intergranular Corrosion Resistance and Wear Resistance in a Ni-Cr-Mo-Based Superalloy by Aging-Treatment-Induced Precipitation
Abstract
:1. Introduction
2. Materials and Methods
3. Results and Discussion
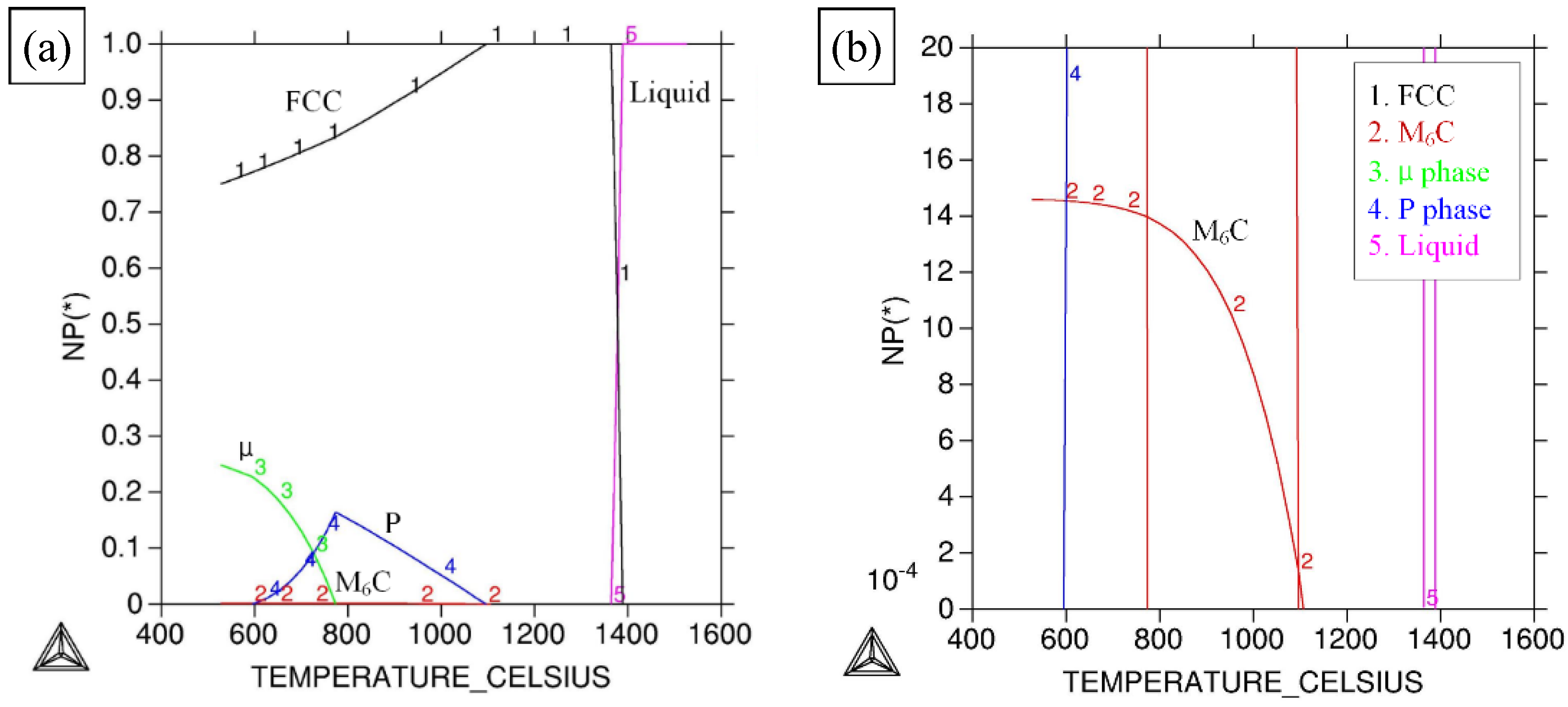
3.1. Thermodynamic Calculation Results
3.2. Precipitate Observations
3.3. IGC Behavior
3.4. Microhardness and Wear Behavior
4. Conclusions
- 1.
- The equilibrium phase diagram for a Ni-Cr-Mo-based C276 superalloy was investigated using thermodynamic software Thermal-Calc. Coupled analysis with the precipitate observation, the M6C carbides (which are rich in Mo and Cr) were found to precipitate at grain boundaries after aging treatment at 800–850 °C for higher than 4 h. μ phase and P phase had not been detected.
- 2.
- DL-EPR tests were used to estimate the IGC resistance of the aging-treated C276 superalloy. It is found that the degree of sensitization increased with the aging treatment time. It is supposed that the precipitation causes the formation of a Cr, W depleted zone adjacent to grain boundaries, deteriorating the corrosion resistance.
- 3.
- The microhardness of C276 superalloy increases after aging treatment, which was mainly attributed to the formation of hard M6C precipitates. With further increasing the aging treatment time, a slight decrease in the microhardness was observed.
- 4.
- For the first time, sliding wear results indicated that both the friction coefficient and wear track dimension increased when C276 superalloy was aging treated. The hard precipitates fell off and acted as the third body during wear process, leading to a great reduction in the abrasion wear resistance.
Author Contributions
Funding
Data Availability Statement
Conflicts of Interest
References
- Li, Z.; Han, J.S.; Lu, J.J.; Chen, J.M. Cavitation erosion behavior of Hastelloy C-276 nickel-based alloy. J. Alloys Compd. 2015, 619, 754–759. [Google Scholar] [CrossRef]
- Zhu, Y.; Hou, J.; Yu, G.; Qiu, J.; Chen, S.; Zhou, X. Effects of exposing temperature on corrosion performance of weld joint of a Ni–Mo–Cr alloy. J. Fluor. Chem. 2016, 182, 69–75. [Google Scholar] [CrossRef]
- Liu, M.; Zheng, J.; Lu, Y.; Li, Z.; Zou, Y.; Yu, X.; Zhou, X. Investigation on corrosion behavior of Ni-based alloys in molten fluoride salt using synchrotron radiation techniques. J. Nucl. Mater. 2013, 440, 124–128. [Google Scholar] [CrossRef]
- Wanderka, N.; Bakai, A.; Abromeit, C.; Isheim, D.; Seidman, D.N. Effects of 10MeV electron irradiation at high temperature of a Ni–Mo-based Hastelloy. Ultramicroscopy 2007, 107, 786–790. [Google Scholar] [CrossRef] [PubMed]
- Raghavan, M.; Berkowitz, B.J.; Scanlon, J.C. Electron microscopic analysis of heterogeneous precipitates in Hastelloy C-276. Metall. Trans. A 1982, 13 A, 979–984. [Google Scholar] [CrossRef]
- Ahmad, M.; Akhter, J.I.; Akhtar, M.; Iqbal, M.; Ahmed, E.; Choudhry, M.A. Microstructure and hardness studies of the electron beam welded zone of Hastelloy C-276. J. Alloys Compd. 2005, 390, 88–93. [Google Scholar] [CrossRef]
- Ernesto, V.A.R.T.; Guastaldi, A.C. Investigation of the metal/porcelain interface in LASER-welded Ni-Cr-Mo alloy. Weld. Int. 2009, 23, 193–199. [Google Scholar] [CrossRef]
- Guo, Y.Q.; Wu, D.J.; Ma, G.Y.; Guo, D.M. Trailing heat sink effects on residual stress and distortion of pulsed laser welded Hastelloy C-276 thin sheets. J. Mater. Process. Technol. 2014, 214, 2891–2899. [Google Scholar] [CrossRef]
- Zhang, C.; Zhang, L.; Shen, W.; Liu, C.; Xia, Y. The Kinetics of Metadynamic Recrystallization in a Ni-Cr-Mo-Based Superalloy Hastelloy C-276. J. Mater. Eng. Perform. 2016, 25, 545–552. [Google Scholar] [CrossRef]
- Zhang, C.; Zhang, L.W.; Shen, W.F.; Li, M.F.; Gu, S.D. Characterization of Hot Deformation Behavior of Hastelloy C-276 Using Constitutive Equation and Processing Map. J. Mater. Eng. Perform. 2014, 24, 149–157. [Google Scholar] [CrossRef]
- Zhu, Z.; Zhang, L.; Gu, S. Modeling effects of process parameters on vacuum hot bulge forming of rotor cans. Rare Metal Mater. Eng. 2014, 43, 2257–2261. [Google Scholar]
- Zhu, Z.; Zhang, L.; Gu, S. FEM analysis of vacuum hot bulge forming of Hastelloy C-276 thin-walled cylindrical workpiece. J. Cent. South Univ. 2014, 21, 3019–3023. [Google Scholar] [CrossRef]
- Zhan, L.; Lin, J.; Dean, T.A. A review of the development of creep age forming: Experimentation, modelling and applications. Int. J. Mach. Tools Manuf. 2011, 51, 1–17. [Google Scholar] [CrossRef]
- Unocic, K.A.; Shin, D.; Sang, X.; Cakmak, E.; Tortorelli, P.F. Single-step aging treatment for a precipitation-strengthened Ni-based alloy and its influence on high-temperature mechanical behavior. Scr. Mater. 2019, 162, 416–420. [Google Scholar] [CrossRef]
- Ni, M.; Liu, S.; Chen, C.; Li, R.; Zhang, X.; Zhou, K. Effect of heat treatment on the microstructural evolution of a precipitation-hardened superalloy produced by selective laser melting. Mater. Sci. Eng. A 2019, 748, 275–285. [Google Scholar] [CrossRef]
- Liu, J.; Zhang, J.; Lu, Y.; Li, X.; Li, Z.; Zhou, X. Effect of long-term aging on microstructure and mechanical properties of alloy C276. Acta Metall. Sin. 2013, 49, 763–768. [Google Scholar] [CrossRef]
- Akhter, J.I.; Shaikh, M.A.; Ahmad, M.; Iqbal, M.; Shoaib, K.A.; Ahmad, W. Effect of aging on the hardness and impact properties of Hastelloy C-276. J. Mater. Sci. Lett. 2001, 20, 333–335. [Google Scholar] [CrossRef]
- Yang, J.; He, Y.; Qin, C.; Zhao, W.; Chen, S.; Gao, Z. Microstructure evolution in a Ni–Mo–Cr superalloy subjected to simulated heat-affected zone thermal cycle with high peak temperature. Mater. Des. 2015, 86, 230–236. [Google Scholar] [CrossRef]
- He, Y.M.; Yang, J.G.; Chen, S.J.; Li, Z.; Gao, Z.L. Effect of high-temperature aging on microstructure and mechanical properties of Ni–Mo–Cr based superalloy subjected to simulated heat-affected zone thermal cycle. J. Alloys Compd. 2016, 660, 266–275. [Google Scholar] [CrossRef]
- Zhang, C.; Zhang, L.; Cui, Y.; Feng, Q.; Cheng, C. Effects of High-Temperature Aging on Precipitation and Corrosion Behavior of a Ni-Cr-Mo-Based Hastelloy C276 Superalloy. J. Mater. Eng. Perform. 2020, 29, 2026–2034. [Google Scholar] [CrossRef]
- Chen, J.; Wang, J.; Yan, F.; Zhang, Q.; Li, Q.A. Corrosion wear synergistic behavior of Hastelloy C276 alloy in artificial seawater. Trans. Nonferrous Met. Soc. China 2015, 25, 661–668. [Google Scholar] [CrossRef]
- Chen, J.; Wang, J.; Yan, F.; Zhang, Q.; Li, Q.A. Assessing the corrosion–wear behaviours of Hastelloy C276 alloy in seawater. Lubr. Sci. 2016, 28, 67–80. [Google Scholar] [CrossRef]
- Wang, J.; Chen, J.; Chen, B.; Yan, F.; Xue, Q. Wear behaviors and wear mechanisms of several alloys under simulated deep-sea environment covering seawater hydrostatic pressure. Tribol. Int. 2012, 56, 38–46. [Google Scholar] [CrossRef]
- Hashim, M.; Duraiselvam, M. Enhancing Tribological and Corrosion Resistance of Hastelloy C-276 through Laser Surface Treatment. Mater. Sci. Forum 2015, 830–831, 659–662. [Google Scholar]
- Yilbas, B.S.; Ali, H. Laser texturing of Hastelloy C276 alloy surface for improved hydrophobicity and friction coefficient. Opt. Lasers Eng. 2016, 78, 140–147. [Google Scholar] [CrossRef]
- Li, K.M.; Song, K.J.; Guan, J.; Yang, F.; Liu, J. Tribocorrosion behavior of a Ti6Al4V alloy electromagnetic induction nitride layer in a fluorine-containing solution. Surf. Coat. Technol. 2020, 386, 125506. [Google Scholar]
- Deng, G.; Zhao, X.; Su, L.; Wei, P.; Zhang, L.; Zhan, L.; Chong, Y.; Zhu, H.; Tsuji, N. Effect of high pressure torsion process on the microhardness, microstructure and tribological property of Ti6Al4V alloy. J. Mater. Sci. Technol. 2021, 94, 183–195. [Google Scholar]
- Sun, W.; Qin, X.; Guo, J.; Lou, L.; Zhou, L. Microstructure stability and mechanical properties of a new low cost hot-corrosion resistant Ni–Fe–Cr based superalloy during long-term thermal exposure. Mater. Des. 2015, 69, 70–80. [Google Scholar]
- Jiao, S.; Zhu, G.; Dong, J.; Zhang, Q. Carbide evolution and Mo depletion law in Hastelloy C-276. J. Mater. Eng. 2011, 1, 47–52. [Google Scholar]
- Krupp, U. Improving the resistance to intergranular cracking and corrosion at elevated temperatures by grain-boundary-engineering-type processing. J. Mater. Sci. 2008, 43, 3908–3916. [Google Scholar]
- Lee, H.T.; Wu, J.L. Intergranular corrosion resistance of nickel-based alloy 690 weldments. Corros. Sci. 2010, 52, 1545–1550. [Google Scholar] [CrossRef]
- Liu, X.Y.; Li, M.J.; Gao, F.; Liang, S.X.; Zhang, X.L.; Cui, H.X. Effects of aging treatment on the intergranular corrosion behavior of Al-Cu-Mg-Ag alloy. J. Alloys Compd. 2015, 639, 263–267. [Google Scholar] [CrossRef]
- Stratulat, A.; Duff, J.A.; Marrow, T.J. Grain boundary structure and intergranular stress corrosion crack initiation in high temperature water of a thermally sensitised austenitic stainless steel, observed in situ. Corros. Sci. 2014, 85, 428–435. [Google Scholar] [CrossRef]
- Luo, G.; Xiao, H.; Li, S.; Wang, C.; Zhu, Q.; Song, L. Quasi-continuous-wave laser surface melting of aluminium alloy: Precipitate morphology, solute segregation and corrosion resistance. Corros. Sci. 2019, 152, 109–119. [Google Scholar] [CrossRef]
- Mulligan, C.P.; Wei, R.; Yang, G.; Zheng, P.; Deng, R.; Gall, D. Microstructure and age hardening of C276 alloy coatings. Surf. Coat. Technol. 2015, 270, 299–304. [Google Scholar] [CrossRef]
- Deng, G.; Tieu, A.K.; Su, L.; Wang, P.; Wang, L.; Lan, X.; Cui, S.; Zhu, H. Investigation into reciprocating dry sliding friction and wear properties of bulk CoCrFeNiMo high entropy alloys fabricated by spark plasma sintering and subsequent cold rolling processes: Role of Mo element concentration. Wear 2020, 460–461, 203440. [Google Scholar] [CrossRef]
- Deng, G.; Tieu, A.K.; Lan, X.; Su, L.; Wang, L.; Zhu, Q.; Zhu, H. Effects of normal load and velocity on the dry sliding tribological behaviour of CoCrFeNiMo0.2 high entropy alloy. Tribol. Int. 2020, 144, 106116. [Google Scholar] [CrossRef]
- Wang, L.; Tieu, A.K.; Cui, S.; Deng, G.; Wang, P.; Zhu, H.; Yang, J. Lubrication mechanism of sodium metasilicate at elevated temperatures through tribo-interface observation. Tribol. Int. 2020, 142, 105972. [Google Scholar] [CrossRef]
- Zhou, Z.; Shan, Q.; Jiang, Y.; Li, Z.; Zhang, Z. Effect of nanoscale V2C precipitates on the three-body abrasive wear behavior of high-Mn austenitic steel. Wear 2019, 436–437, 203009. [Google Scholar] [CrossRef]
- Yang, K.; Yu, S.; Li, Y.; Li, C. Effect of carbonitride precipitates on the abrasive wear behaviour of hardfacing alloy. Appl. Surf. Sci. 2008, 254, 5023–5027. [Google Scholar] [CrossRef]










| C | Cr | Mo | Fe | W | Co | Ni | |
|---|---|---|---|---|---|---|---|
| P | 0 | 16.00 | 41.87 | 1.05 | 11.5 | 0.01 | 29.45 |
| μ | 0 | 16.00 | 47.32 | 1.94 | 5.58 | 0.01 | 29.04 |
| M6C | 2.48 | 9.17 | 57.9 | 2.60 | 5.38 | 0.007 | 22.40 |
| Aging Time | |||
|---|---|---|---|
| 0 h | 0.052304 | 0.065186 | 1.246 |
| 1 h | 0.056988 | 0.16517 | 2.898 |
| 2 h | 0.066707 | 0.1994 | 2.989 |
| 4 h | 0.063476 | 0.21418 | 3.374 |
| 8 h | 0.079404 | 0.27391 | 3.450 |
| 15 h | 0.084394 | 0.33562 | 3.977 |
Publisher’s Note: MDPI stays neutral with regard to jurisdictional claims in published maps and institutional affiliations. |
© 2021 by the authors. Licensee MDPI, Basel, Switzerland. This article is an open access article distributed under the terms and conditions of the Creative Commons Attribution (CC BY) license (https://creativecommons.org/licenses/by/4.0/).
Share and Cite
Zhang, P.; Zhang, C.; Zhou, X.; Huang, Z. Reductions of Intergranular Corrosion Resistance and Wear Resistance in a Ni-Cr-Mo-Based Superalloy by Aging-Treatment-Induced Precipitation. Metals 2021, 11, 1329. https://doi.org/10.3390/met11081329
Zhang P, Zhang C, Zhou X, Huang Z. Reductions of Intergranular Corrosion Resistance and Wear Resistance in a Ni-Cr-Mo-Based Superalloy by Aging-Treatment-Induced Precipitation. Metals. 2021; 11(8):1329. https://doi.org/10.3390/met11081329
Chicago/Turabian StyleZhang, Pengyan, Chi Zhang, Xiaoguang Zhou, and Zhenyi Huang. 2021. "Reductions of Intergranular Corrosion Resistance and Wear Resistance in a Ni-Cr-Mo-Based Superalloy by Aging-Treatment-Induced Precipitation" Metals 11, no. 8: 1329. https://doi.org/10.3390/met11081329
APA StyleZhang, P., Zhang, C., Zhou, X., & Huang, Z. (2021). Reductions of Intergranular Corrosion Resistance and Wear Resistance in a Ni-Cr-Mo-Based Superalloy by Aging-Treatment-Induced Precipitation. Metals, 11(8), 1329. https://doi.org/10.3390/met11081329
