A Review on Plants and Biomass Wastes as Organic Green Corrosion Inhibitors for Mild Steel in Acidic Environment
Abstract
1. Introduction
2. Fundamental Aspects of Corrosion
3. Corrosion in Acidic Environment
4. Corrosion Inhibitors
5. Types of Corrosion Inhibitors
5.1. Anodic Inhibitors
5.2. Cathodic Inhibitors
5.3. Mixed Inhibitor
6. Organic Green Corrosion Inhibitors
| Plant Extracts | Type of Metal | Medium | Variables | Maximum Inhibition Efficiency (%) | Ref. | |||
|---|---|---|---|---|---|---|---|---|
| Type | Concentration | Inhibitor Concentration | Temperature | Time | ||||
| Xanthium strumarium leaves (XSL) | Low-carbon steel | 1 M | 0.5–1.5 g/L | 40–70 °C | 5–8 h | 74.04 | [44] | |
| Pennisetum purpureum | Mild steel | 3.5% | 0.1–5.0 g/L | 30–60 °C | - | 95.0 | [46] | |
| Portulaca grandiflora leaves (PGL) | N80 carbon steel | 0.5 M | 5–20 mL/L | 30–60 °C | 95.0 | [35] | ||
| Cannabis sativa | Low-carbon steel | 0.5 M | 40–200 mg/L | - | - | 97.31 | [45] | |
| Artichoke extract | Mild steel | 1 M | 200–1000 ppm | 298–328 K | - | 98.7 | [47] | |
| Ixora coccinea extract | Mild steel | 1 M | 1–5% v/v | - | - | 89.38 | [48] | |
| Ixora coccinea extract | Mild steel | 0.5 M | 1–5% v/v | - | - | 77.96 | [48] | |
| Swertia chirata extract | Carbon steel | 0.5 M | 100–500 mg/L | - | - | 92.32 | [30] | |
| Justicia secunda leaf extract | Aluminium | 0.5 M | 50–250 ppm | 30–50 °C | - | 94.3 | [49] | |
| Gongronema latifoliuim | Mild steel | 0.5 M | 0.1–0.5% w/v | 303–323 K | - | 81.69 | [50] | |
| Clinopodium acinos | Mild steel | 1 M | 50–300 ppm | 25–45 °C | - | 89.9 | [51] | |
| Idesia polycarpa Maxim fruit extract | Copper | 0.5 M | 50–300 mg/L | 298–308 K | - | 90.8 | [52] | |
| Saraca ashoka extract | Mild steel | 0.5 M | 25–100 mg/L | - | - | 95.48 | [53] | |
| Tilia cordata | Carbon steel | 1 M | 50–300 mg/L | 30–60 °C | - | 96.0 | [54] | |
| Sunflower seed hull extract | Carbon steel | 1 M | 50–400 ppm | - | - | 98.0 | [55] | |
| Rhus verniciflua | Mild steel | 0.5 M | 100–500 ppm | 303–333 K | 86.0 | [56] | ||
| Ficus religiosa | Mild steel | 0.5 M | 100–500 mg/L | - | - | 92.26 | [57] | |
| Citrus aurantifolia leaves (CAL) | Mild steel | 0.5 M | 50–250 mg/L | - | - | 96.46 | [58] | |
| White tea | Mild steel | 1 M | 20–80 ppm | 25–60 °C | - | 96.0 | [59] | |
| Citrus reticulata leaves (CRLE) | Copper | 0.5 M | 50–500 mg/L | - | 97.3 | [43] | ||
| Glycyrrhiza glabra leaves | Mild steel | 1 M | 200–800 ppm | - | - | 88.0 | [60] | |
| Phoenix dactylifera seed (PDSE) | Mild steel | 1 M | - | - | 1 and 6 h | 97.3 | [33] | |
| Lecaniodiscus cupaniodes | Mild steel | 0.5 M | 1–5 mL/L | - | 5–35 days | 90.0 | [61] | |
| Cleome droserifolia | Mild steel | 1 M | 50–300 ppm | 25–45 °C | - | 92.0 | [62] | |
| Momordica charantia | Carbon steel | 0.5 M | 100–500 mg/L | - | - | 93.51 | [63] | |
| Malva sylvestris | Mild steel | 3.5% | 1000–2000 ppm | - | - | 91.0 | [64] | |
| Lilium brownii leaf extract | X70 Steel | 1 M | 10–200 mg/L | 298–308 K | - | 85.0 | [65] | |
| Pueraria lobata leaf extract | 10# steel | 1 M | 0.1–0.9 g/L | 25–70 °C | - | 94.37 | [66] | |
| Allamanda cathartica | Mild Steel | 1 M | 0.2–1.0% v/v | 303–333 K | - | 72.54 | [67] | |
| Cauliflowers extract | Copper | 0.5 M | 100–400 mg/L | - | 1–48 h | 99.0 | [68] | |
| Peach pomace extract | Mild Steel | 0.5 M | 50–800 ppm | - | 12–265 h | 88.0 | [69] | |
| Bassia muricata extract | Aluminium | 1 M | 50–300 ppm | 298–318 K | - | 90.0 | [70] | |
| Cinnamomum zeylanicum extract | Carbon steel | 1 M | 100–600 ppm | 25–55 °C | - | 81.1 | [71] | |
| Morus alba pendula leaf extract | Carbon steel | 1 M | 0.1–0.4 g/L | 25–60 °C | - | 96.0 | [72] | |
| Bauhinia tomentosa leaf extract | Mild steel | 1 M | 550–700 ppm | 308–333 K | - | 93.47 | [73] | |
| Butea monosperma | Mild steel | 0.5 M | 100–500 ppm | - | - | 98.0 | [74] | |
| Origanum vulgare | Mild steel | 1 M | 400–1200 ppm | - | - | 91.2 | [75] | |
| Canarium schweinfurthii | Mild steel | 0.1 M | 0.1–0.5 g/L | 303–333 K | - | 88.2 | [76] | |
| Ircinia strobilina | Mild steel | 1 M | 0.5–2.0 g/L | - | - | 82.0 | [77] | |
7. Inhibition Mechanism
8. Adsorption Mechanism
9. Biomass Wastes as Organic Green Corrosion Inhibitors
Opportunity to Explore Biomass Wastes
10. Analysis Techniques for Efficiency
10.1. Weight Loss Balance
10.2. Electrochemical Analysis
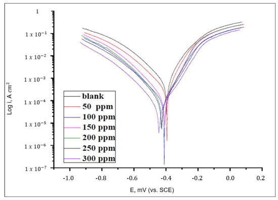
10.2.1. Potentiodynamic Polarization (PDP)
10.2.2. Electrochemical Impedance Spectroscopy (EIS)
10.3. Surface Morphology
11. Summary
Author Contributions
Funding
Institutional Review Board Statement
Informed Consent Statement
Conflicts of Interest
Abbreviations
| PDP | Potentiodynamic polarization |
| FTIR | Fourier-transform infrared spectroscopy |
| UV/Vis | Ultraviolet/visible light spectroscopy |
| EIS | Electrochemical impedance spectroscopy |
| SEM | Scanning electron microscope |
| WE | Working electrode |
| RE | Reference electrode |
| CE | Counter electrode |
| SCE | Saturated calomel electrode |
References
- Srivastava, M. Mild Steel Corrosion Inhibition, in 4 N Sulphuric Acid, by a Green Inhibitor. Port. Electrochim. Acta 2020, 38, 99–106. [Google Scholar] [CrossRef]
- Zaher, A.; Chaouiki, A.; Salghi, R.; Boukhraz, A.; Bourkhiss, B.; Ouhssine, M. Inhibition of Mild Steel Corrosion in 1M Hydrochloric Medium by the Methanolic Extract of Ammi visnaga L. Lam Seeds. Int. J. Corros. 2020, 2020, 1–10. [Google Scholar] [CrossRef]
- Sulaiman, K.O.; Onawole, A.T.; Faye, O.; Shuaib, D.T. Understanding the corrosion inhibition of mild steel by selected green compounds using chemical quantum based assessments and molecular dynamics simulations. J. Mol. Liq. 2019, 279, 342–350. [Google Scholar] [CrossRef]
- Dehghani, A.; Bahlakeh, G.; Ramezanzadeh, B. Green Eucalyptus leaf extract: A potent source of bio-active corrosion inhibitors for mild steel. Bioelectrochemistry 2019, 130, 107339. [Google Scholar] [CrossRef] [PubMed]
- Ikeuba, A.I.; Okafor, P.C. Green corrosion protection for mild steel in acidic media: Saponins and crude extracts of Gongronema latifolium. Pigment. Resin Technol. 2019, 48, 57–64. [Google Scholar] [CrossRef]
- Wang, X. Solanum lasiocarpum L. Extract as Green Corrosion Inhibitor for A3 Steel in 1 M HCl Solution. Int. J. Electrochem. Sci. 2019, 14, 1178–1196. [Google Scholar] [CrossRef]
- Koch, G.; Varney, J.; Thompson, N.; Moghissi, O.; Gould, M.; Payer, J. International Measures of Prevention, Application, and Economics of Corrosion Technologies Study; NACE International: Houston, TX, USA, 2016. [Google Scholar]
- Petrović, Z.C. Catastrophes caused by corrosion. Vojn. Glas. 2016, 64, 1048–1064. [Google Scholar] [CrossRef]
- Hassan, N.; Ali, S.M.; Ebrahim, A.; El-Adwy, H.; Rodríguez-Torres, A.; Valladares-Cisneros, M.G. Ginger extract as green corrosion inhibitor of mild steel in hydrochloric acid solution. J. Ind. Eng. Chem. 2019, 12, 1–10. [Google Scholar] [CrossRef]
- Bashir, S.; Singh, G.; Kumar, A. Shatavari (Asparagus Racemosus) as Green Corrosion Inhibitor of Aluminium in Acidic Medium. Port. Electrochim. Acta 2019, 37, 83–91. [Google Scholar] [CrossRef]
- Popoola, L.T. Organic green corrosion inhibitors (OGCIs): A critical review. Corros. Rev. 2019, 37, 71–102. [Google Scholar] [CrossRef]
- Bouraoui, M.M.; Chettouh, S.; Chouchane, T.; Khellaf, N. Inhibition Efficiency of Cinnamon Oil as a Green Corrosion Inhibitor. J. Bio Tribo Corros. 2019, 5, 28. [Google Scholar] [CrossRef]
- Rodríguez-Torres, A.; Valladares-Cisneros, M.G.; Cuevas-Arteaga, C.; Veloz-Rodríguez, M.A. Study of Green Corrosion Inhibition on AISI 1018 Carbon Steel in Sulfuric Acid Using Crataegus mexicana as Eco-Friendly Inhibitor. J. Mater. Env. Sci. 2019, 2508, 101–112. [Google Scholar]
- El-Haddad, M.A.M.; Radwan, A.B.; Sliem, M.H.; Hassan, W.M.I.; Abdullah, A.M. Highly efficient eco-friendly corrosion inhibitor for mild steel in 5 M HCl at elevated temperatures: Experimental & molecular dynamics study. Sci. Rep. 2019, 9, 1–15. [Google Scholar] [CrossRef]
- Umoren, S.A.; Solomon, M.M.; Obot, I.B.; Suleiman, R.K. A critical review on the recent studies on plant biomaterials as corrosion inhibitors for industrial metals. J. Ind. Eng. Chem. 2019, 76, 91–115. [Google Scholar] [CrossRef]
- Ogunleye, O.; Arinkoola, A.; Eletta, O.; Agbede, O.; Osho, Y.; Morakinyo, A.; Hamed, J. Green corrosion inhibition and adsorption characteristics of Luffa cylindrica leaf extract on mild steel in hydrochloric acid environment. Heliyon 2020, 6, e03205. [Google Scholar] [CrossRef] [PubMed]
- Javed, M. Corrosion Inhibitors. Global Markets; BCC Publishing: Wellesley, MA, USA, 2017. [Google Scholar]
- Grand View Research. Corrosion Inhibitors Market Size, Share & Trends Analysis Report by Product (Organic, Inorganic), by Type (Water Based, Oil Based), by End Use, by Region, And Segment Forecasts, 2020–2027; Grand View Research Inc.: San Francisco, CA, USA, 2020. [Google Scholar]
- Anupama, K.; Ramya, K.; Joseph, A. Electrochemical measurements and theoretical calculations on the inhibitive interaction of Plectranthus amboinicus leaf extract with mild steel in hydrochloric acid. Measurement 2017, 95, 297–305. [Google Scholar] [CrossRef]
- Vorobyova, V.I.; Skiba, M.I.; Shakun, A.S.; Nahirniak, S.V. Relationship between the inhibition and antioxidant properties of the plant and biomass wastes extracts-A Review. Int. J. Corros. Scale. Inhib. 2019, 8, 150–178. [Google Scholar] [CrossRef]
- Monticelli, C. Corrosion Inhibitors; Elsevier: Amsterdam, The Netherlands, 2018; pp. 164–171. [Google Scholar]
- Abbout, S. Green Inhibitors to Reduce the Corrosion Damage; InTech: London, UK, 2020. [Google Scholar] [CrossRef]
- Jain, V.; Rai, B. Thiourea Derivatives as Steel Corrosion Inhibitors: Density Functional Theory and Experimental Studies. In Proceedings of the CORROSION 2019, Nashville, TN, USA, 24–28 March 2019. [Google Scholar]
- Asadi, N.; Ramezanzadeh, M.; Bahlakeh, G.; Ramezanzadeh, B. Utilizing Lemon Balm extract as an effective green corrosion inhibitor for mild steel in 1M HCl solution: A detailed experimental, molecular dynamics, Monte Carlo and quantum mechanics study. J. Taiwan Inst. Chem. Eng. 2019, 95, 252–272. [Google Scholar] [CrossRef]
- Haris, N.I.N.; Sobri, S.; Kassim, N. Oil palm empty fruit bunch extract as green corrosion inhibitor for mild steel in hydrochloric acid solution: Central composite design optimization. Mater. Corros. 2019, 70, 1111–1119. [Google Scholar] [CrossRef]
- Dariva, C.G.; Galio, A.F. Corrosion inhibitors–principles, mechanisms and applications. Dev. Corros. Prot. 2014, 16, 365–378. [Google Scholar]
- Marzorati, S.; Verotta, L.; Trasatti, S.P. Green Corrosion Inhibitors from Natural Sources and Biomass Wastes. Molecules 2018, 24, 48. [Google Scholar] [CrossRef]
- Al-Mashhadani, M.H.; Ahmed, A.A.; Hussain, Z.; Mohammed, S.A.; Yusop, R.M.; Yousif, E. Inhibition of Corrosion: Mechanisms and Classifications in Overview. Al Qadisiyah J. Pure Sci. 2020, 25, 1–9. [Google Scholar] [CrossRef]
- Goyal, M.; Kumar, S.; Bahadur, I.; Verma, C.; Ebenso, E.E. Organic corrosion inhibitors for industrial cleaning of ferrous and non-ferrous metals in acidic solutions: A review. J. Mol. Liq. 2018, 256, 565–573. [Google Scholar] [CrossRef]
- Haldhar, R.; Prasad, D.; Nguyen, D.L.T.; Kaya, S.; Bahadur, I.; Dagdag, O.; Kim, S.-C. Corrosion inhibition, surface adsorption and computational studies of Swertia chirata extract: A sustainable and green approach. Mater. Chem. Phys. 2021, 267, 124613. [Google Scholar] [CrossRef]
- Hegde, M.; Nayak, S.P. Aqueous extract of Dillenia Pentagyna Fruit as green inhibitor for mild steel corrosion in 0.5 M hydrochloric acid solution. J. Mater. Environ. Sci. 2019, 2508, 22–31. [Google Scholar]
- Bhuvaneshwari, D.S.; Raja, B.; Durai, U. Adina Cordifolia as a corrosion inhibitor—A green approach against mild steel corrosion in 0.5 M sulphuric acid medium. Pigment. Resin Technol. 2019, 49, 63–70. [Google Scholar] [CrossRef]
- Şahin, E.A.; Solmaz, R.; Gecibesler, I.H.; Kardaş, G. Adsorption ability, stability and corrosion inhibition mechanism of phoenix dactylifera extrat on mild steel. Mater. Res. Express 2020, 7, 016585. [Google Scholar] [CrossRef]
- Alvarez, P.E.; Fiori-Bimbi, M.V.; Neske, A.; Brandán, S.A.; Gervasi, C.A. Rollinia occidentalis extract as green corrosion inhibitor for carbon steel in HCl solution. J. Ind. Eng. Chem. 2018, 58, 92–99. [Google Scholar] [CrossRef]
- Fadhil, A.A.; Khadom, A.A.; Ahmed, S.K.; Liu, H.; Fu, C.; Mahood, H.B. Portulaca grandiflora as new green corrosion inhibitor for mild steel protection in hydrochloric acid: Quantitative, electrochemical, surface and spectroscopic investigations. Surf. Interfaces 2020, 20, 100595. [Google Scholar] [CrossRef]
- Dehghani, A.; Bahlakeh, G.; Ramezanzadeh, B.; Ramezanzadeh, M. Potential role of a novel green eco-friendly inhibitor in corrosion inhibition of mild steel in HCl solution: Detailed macro/micro-scale experimental and computational explorations. Constr. Build. Mater. 2020, 245, 118464. [Google Scholar] [CrossRef]
- Dehghani, A.; Bahlakeh, G.; Ramezanzadeh, B. A detailed electrochemical/theoretical exploration of the aqueous Chinese gooseberry fruit shell extract as a green and cheap corrosion inhibitor for mild steel in acidic solution. J. Mol. Liq. 2019, 282, 366–384. [Google Scholar] [CrossRef]
- Dehghani, A.; Bahlakeh, G.; Ramezanzadeh, B.; Ramezanzadeh, M. A combined experimental and theoretical study of green corrosion inhibition of mild steel in HCl solution by aqueous Citrullus lanatus fruit (CLF) extract. J. Mol. Liq. 2019, 279, 603–624. [Google Scholar] [CrossRef]
- Bahlakeh, G.; Ramezanzadeh, B.; Dehghani, A.; Ramezanzadeh, M. Novel cost-effective and high-performance green inhibitor based on aqueous Peganum harmala seed extract for mild steel corrosion in HCl solution: Detailed experimental and electronic/atomic level computational explorations. J. Mol. Liq. 2019, 283, 174–195. [Google Scholar] [CrossRef]
- Anupama, K.; Ramya, K.; Joseph, A. Electrochemical and computational aspects of surface interaction and corrosion inhibition of mild steel in hydrochloric acid by Phyllanthus amarus leaf extract (PAE). J. Mol. Liq. 2016, 216, 146–155. [Google Scholar] [CrossRef]
- Fidrusli, A.; Suryanto; Mahmood, M. Ginger extract as green corrosion inhibitor of mild steel in hydrochloric acid solution. IOP Conf. Ser. Mater. Sci. Eng. 2018, 290, 12087. [Google Scholar] [CrossRef]
- Omotosho, O.A.; Okeniyi, J.O.; Loto, C.A.; Popoola, A.P.I.; Obi, C.E.; Sonoiki, O.O.O.; Oni, A.B.; Alabi, A.S.; Olarewaju, A.E. Performance of Terminalia catappa on mild steel corrosion in HCl medium. AIP Conf. Proc. 2016, 1758, 030027. [Google Scholar] [CrossRef]
- Xiang, Q.; He, J. Combining theoretical and experimental researches to insight the anti-corrosion nature of Citrus reticulata leaves extract. J. Mol. Liq. 2021, 325, 115218. [Google Scholar] [CrossRef]
- Khadom, A.A.; Abd, A.N.; Ahmed, N.A. Xanthium strumarium leaves extracts as a friendly corrosion inhibitor of low carbon steel in hydrochloric acid: Kinetics and mathematical studies. S. Afr. J. Chem. Eng. 2018, 25, 13–21. [Google Scholar] [CrossRef]
- Haldhar, R.; Prasad, D.; Mandal, N.; Benhiba, F.; Bahadur, I.; Dagdag, O. Anticorrosive properties of a green and sustainable inhibitor from leaves extract of Cannabis sativa plant: Experimental and theoretical approach. Colloids Surf. A Physicochem. Eng. Asp. 2021, 614, 126211. [Google Scholar] [CrossRef]
- Ituen, E.B.; James, A.O.; Akaranta, O. Elephant grass biomass extract as corrosion inhibitor for mild steel in acidic medium. J. Mater. Environ. Sci. 2017, 8, 1498–1507. [Google Scholar]
- Salmasifar, A.; Edraki, M.; Alibakhshi, E.; Ramezanzadeh, B.; Bahlakeh, G. Combined electrochemical/surface investigations and computer modeling of the aquatic Artichoke extract molecules corrosion inhibition properties on the mild steel surface immersed in the acidic medium. J. Mol. Liq. 2021, 327, 114856. [Google Scholar] [CrossRef]
- Vidhya, K.T.; Kakkassery, J.T.; Raphael, V.P.; Ragi, K.; Johnson, R. Ixora coccinea extract as an efficient eco-friendly corrosion inhibitor in acidic media: Experimental and theoretical approach. Curr. Chem. Lett. 2021, 10, 139–150. [Google Scholar] [CrossRef]
- Iroha, N.B.; Maduelosi, N.J. Corrosion inhibitive action and adsorption behaviour of justicia secunda leaves extract as an eco-friendly inhibitor for aluminium in acidic media. Biointerface Res. Appl. Chem. 2021, 11, 13019–13030. [Google Scholar] [CrossRef]
- Aralu, C.C.; Chukwuemeka-Okorie, H.O.; Akpomie, K.G. Inhibition and adsorption potentials of mild steel corrosion using methanol extract of Gongronema latifoliuim. Appl. Water Sci. 2021, 11, 1–7. [Google Scholar] [CrossRef]
- Fouda, A.; El-Gharkawy, E.-S.; Ramadan, H.; El-Hossiany, A. Corrosion resistance of mild steel in hydrochloric acid solutions by clinopodium actions as a green inhibitor. Biointerface Res. Appl. Chem. 2021, 11, 9786–9803. [Google Scholar]
- Zhang, X.; Li, W.; Yu, G.; Zuo, X.; Luo, W.; Zhang, J.; Tan, B.; Fu, A.; Zhang, S. Evaluation of Idesia polycarpa Maxim fruits extract as a natural green corrosion inhibitor for copper in 0.5 M sulfuric acid solution. J. Mol. Liq. 2020, 318, 114080. [Google Scholar] [CrossRef]
- Saxena, A.; Prasad, D.; Haldhar, R.; Singh, G.; Kumar, A. Use of Saraca ashoka extract as green corrosion inhibitor for mild steel in 0.5 M H2SO4. J. Mol. Liq. 2018, 258, 89–97. [Google Scholar] [CrossRef]
- Fouda, A.S.; Abousalem, A.S.; El-Ewady, G.Y. Mitigation of corrosion of carbon steel in acidic solutions using an aqueous extract of Tilia cordata as green corrosion inhibitor. Int. J. Ind. Chem. 2016, 8, 61–73. [Google Scholar] [CrossRef]
- Hassannejad, H.; Nouri, A. Sunflower seed hull extract as a novel green corrosion inhibitor for mild steel in HCl solution. J. Mol. Liq. 2018, 254, 377–382. [Google Scholar] [CrossRef]
- Prabakaran, M.; Kim, S.-H.; Hemapriya, V.; Gopiraman, M.; Kim, I.S.; Chung, I.-M. Rhus verniciflua as a green corrosion inhibitor for mild steel in 1 M H2SO4. RSC Adv. 2016, 6, 57144–57153. [Google Scholar] [CrossRef]
- Haldhar, R.; Prasad, D.; Saxena, A.; Kumar, R. Experimental and theoretical studies of Ficus religiosa as green corrosion inhibitor for mild steel in 0.5 M H2SO4 solution. Sustain. Chem. Pharm. 2018, 9, 95–105. [Google Scholar] [CrossRef]
- Haldhar, R.; Prasad, D.; Bhardwaj, N. Extraction and experimental studies of Citrus aurantifolia as an economical and green corrosion inhibitor for mild steel in acidic media. J. Adhes. Sci. Technol. 2019, 33, 1169–1183. [Google Scholar] [CrossRef]
- Kaban, A.P.S.; Ridhova, A.; Priyotomo, G.; Elya, B.; Maksum, A.; Sadeli, Y.; Sutopo, S.; Aditiyawarman, T.; Riastuti, R.; Soedarsono, J.W. Development of white tea extract as green corrosion inhibitor in mild steel under 1 M hydrochloric acid solution. East. Eur. J. Enterp. Technol. 2021, 2, 6–20. [Google Scholar] [CrossRef]
- Alibakhshi, E.; Ramezanzadeh, M.; Bahlakeh, G.; Ramezanzadeh, B.; Mahdavian, M.; Motamedi, M. Glycyrrhiza glabra leaves extract as a green corrosion inhibitor for mild steel in 1 M hydrochloric acid solution: Experimental, molecular dynamics, Monte Carlo and quantum mechanics study. J. Mol. Liq. 2018, 255, 185–198. [Google Scholar] [CrossRef]
- Joseph, O.; Fayomi, O.; Adenigba, O. Effect of lecaniodiscus cupaniodes extract in corrosion inhibition of normalized and annealed mild steels in 0.5 M HCl. Energy Procedia 2017, 119, 845–851. [Google Scholar] [CrossRef]
- Fouda, A.S. Evaluation of Cleome Droserifolia (Samwah) as Green Corrosion Inhibitor for Mild Steel in 1 M HCl Solution. Int. J. Electrochem. Sci. 2018, 13, 7057–7075. [Google Scholar] [CrossRef]
- Haldhar, R.; Prasad, D.; Kamboj, D.; Kaya, S.; Dagdag, O.; Guo, L. Corrosion inhibition, surface adsorption and computational studies of Momordica charantia extract: A sustainable and green approach. SN Appl. Sci. 2021, 3, 1–13. [Google Scholar] [CrossRef]
- Tehrani, M.E.H.N.; Ghahremani, P.; Ramezanzadeh, M.; Bahlakeh, G.; Ramezanzadeh, B. Theoretical and experimental assessment of a green corrosion inhibitor extracted from Malva sylvestris. J. Environ. Chem. Eng. 2021, 9, 105256. [Google Scholar] [CrossRef]
- Zuo, X.; Li, W.; Luo, W.; Zhang, X.; Qiang, Y.; Zhang, J.; Li, H.; Tan, B. Research of Lilium brownii leaves extract as a commendable and green inhibitor for X70 steel corrosion in hydrochloric acid. J. Mol. Liq. 2021, 321, 114914. [Google Scholar] [CrossRef]
- Wang, X.; Zhang, Q.; Jiang, H.; Gu, Y.; Li, X.; Xu, L.-L. Pueraria lobata leaf extract as green corrosion inhibitor for low carbon steel in 1.0 M HCl solution. Res. Chem. Intermed. 2021, 47, 1051–1069. [Google Scholar] [CrossRef]
- Banu, A.M.; Farzana, B.A.; Ahamed, K.R. Evaluation of inhibitive performance of Allamanda cathartica leaves extract as a green corrosion inhibitor on mild steel in acid medium. Mater. Today Proc. 2021. [Google Scholar] [CrossRef]
- Li, H.; Zhang, S.; Qiang, Y. Corrosion retardation effect of a green cauliflower extract on copper in H2SO4 solution: Electrochemical and theoretical explorations. J. Mol. Liq. 2021, 321, 114450. [Google Scholar] [CrossRef]
- Vorobyova, V.; Skiba, M. Peach Pomace Extract as Novel Cost-Effective and High-Performance Green Inhibitor for Mild Steel Corrosion in NaCl Solution: Experimental and Theoretical Research. Waste Biomass Valorization 2021, 1–19. [Google Scholar] [CrossRef]
- El-Katori, E.E.; Al-Mhyawi, S. Assessment of the Bassia muricata extract as a green corrosion inhibitor for aluminum in acidic solution. Green Chem. Lett. Rev. 2019, 12, 31–48. [Google Scholar] [CrossRef]
- Foda, A.; Mosallam, H.; El-Khateeb, A.; Fakih, M. Cinnamomum zeylanicum Extract as Green Corrosion Inhibitor for Carbon Steel in Hydrochloric Acid Solutions. Prog. Chem. Biochem. Res. 2019, 2, 120–133. [Google Scholar] [CrossRef][Green Version]
- Jokar, M.; Farahani, T.S.; Ramezanzadeh, B. Electrochemical and surface characterizations of morus alba pendula leaves extract (MAPLE) as a green corrosion inhibitor for steel in 1M HCl. J. Taiwan Inst. Chem. Eng. 2016, 63, 436–452. [Google Scholar] [CrossRef]
- Perumal, S.; Muthumanickam, S.; Elangovan, A.; Karthik, R.; Kannan, R.S.; Mothilal, K.K. Bauhinia tomentosa Leaves Extract as Green Corrosion Inhibitor for Mild Steel in 1M HCl Medium. J. Bio Tribo Corros. 2017, 3, 13. [Google Scholar] [CrossRef]
- Saxena, A.; Prasad, D.; Haldhar, R. Use of Butea monosperma extract as green corrosion inhibitor for mild steel in 0.5 MH2SO4. Int. J. Electrochem. Sci. 2017, 12, 8793–8805. [Google Scholar] [CrossRef]
- Dhaundiyal, P.; Bashir, S.; Sharma, V.; Kumar, A. An investigation on mitigation of corrosion of mildsteel by Origanum vulgare in acidic medium. Bull. Chem. Soc. Ethiop. 2019, 33, 159. [Google Scholar] [CrossRef]
- Ameh, P.O. Electrochemical and computational study of gum exudates from Canarium schweinfurthii as green corrosion inhibitor for mild steel in HCl solution. J. Taibah Univ. Sci. 2018, 12, 783–795. [Google Scholar] [CrossRef]
- Fernandes, C.M.; Fagundes, T.; dos Santos, N.E.; Rocha, T.S.D.M.; Garrett, R.; Borges, R.M.; Muricy, G.; Valverde, A.; Ponzio, E.A. Ircinia strobilina crude extract as corrosion inhibitor for mild steel in acid medium. Electrochim. Acta 2019, 312, 137–148. [Google Scholar] [CrossRef]
- Karki, N.; Neupane, S.; Chaudhary, Y.; Gupta, D.K.; Yadav, A.P. Equisetum hyemale: A new candidate for green corrosion inhibitor family. Int. J. Corros. Scale Inhib. 2021, 10, 206–227. [Google Scholar] [CrossRef]
- Singh, A.; Ansari, K.R.; Quraishi, M.A.; Lin, Y. Investigation of Corrosion Inhibitors Adsorption on Metals Using Density Functional Theory and Molecular Dynamics Simulation. In Corrosion Inhibitors; IntechOpen: London, UK, 2019. [Google Scholar] [CrossRef]
- Chaudhari, L.P.; Patel, S.N. Corrosion Inhibition Study of Expired Acetazolamide on Mild Steel in Dilute Hydrochloric Acid Solution. J. Bio Tribo Corros. 2019, 5, 20. [Google Scholar] [CrossRef]
- Salinas-Solano, G.; Porcayo-Calderon, J.; de la Escalera, L.M.; Canto, J.; Díaz, M.C.; Sotelo-Mazon, O.; Henao, J.; Martinez-Gomez, L. Development and evaluation of a green corrosion inhibitor based on rice bran oil obtained from agro-industrial waste. Ind. Crop. Prod. 2018, 119, 111–124. [Google Scholar] [CrossRef]
- Idouhli, R.; Koumya, Y.; Khadiri, M.; Aityoub, A.; Abouelfida, A.; Benyaich, A. Inhibitory effect of Senecio anteuphorbium as green corrosion inhibitor for S300 steel. Int. J. Ind. Chem. 2019, 10, 133–143. [Google Scholar] [CrossRef]
- Nchewi, G.; Okoro, L.; Adams, F.; Agboola, B. Corrosion Inhibition Efficiency of Tamarindus Indica Leaves Extracts on Mild Steel in Hydrochloric Acid. J. Phys. Conf. Ser. 2019, 1378, 022051. [Google Scholar] [CrossRef]
- Bahlakeh, G.; Dehghani, A.; Ramezanzadeh, B.; Ramezanzadeh, M. Highly effective mild steel corrosion inhibition in 1 M HCl solution by novel green aqueous Mustard seed extract: Experimental, electronic-scale DFT and atomic-scale MC/MD explorations. J. Mol. Liq. 2019, 293, 111559. [Google Scholar] [CrossRef]
- Saeed, M.; Saleem, M.; Usmani, S.; Malik, I.A.; Al-Shammari, F.A.; Deen, K.M. Corrosion inhibition of mild steel in 1 M HCl by sweet melon peel extract. J. King Saud Univ. Sci. 2019, 31, 1344–1351. [Google Scholar] [CrossRef]
- Arkles, B. Hydrophobicity, Hydrophilicity and Silane Surface Modification; Gelest Inc.: Morrisville, PA, USA, 2011. [Google Scholar]
- Sanaei, Z.; Ramezanzadeh, M.; Bahlakeh, G.; Ramezanzadeh, B. Use of Rosa canina fruit extract as a green corrosion inhibitor for mild steel in 1 M HCl solution: A complementary experimental, molecular dynamics and quantum mechanics investigation. J. Ind. Eng. Chem. 2019, 69, 18–31. [Google Scholar] [CrossRef]
- Dehghani, A.; Bahlakeh, G.; Ramezanzadeh, B.; Ramezanzadeh, M. Potential of Borage flower aqueous extract as an environmentally sustainable corrosion inhibitor for acid corrosion of mild steel: Electrochemical and theoretical studies. J. Mol. Liq. 2019, 277, 895–911. [Google Scholar] [CrossRef]
- Anyiam, C.K.; Ogbobe, O.; Oguzie, E.E.; Madufor, I.C.; Nwanonenyi, S.C.; Onuegbu, G.C.; Obasi, H.C.; Chidiebere, M.A. Corrosion inhibition of galvanized steel in hydrochloric acid medium by a physically modified starch. SN Appl. Sci. 2020, 2, 1–11. [Google Scholar] [CrossRef]
- Muthukrishnan, P.; Prakash, P.; Ilayaraja, M.; Jeyaprabha, B.; Shankar, K. Effect of Acidified Feronia elephantum Leaf Extract on the Corrosion Behavior of Mild Steel. Met. Mater. Trans. A 2015, 46, 1448–1460. [Google Scholar] [CrossRef]
- Ramezanzadeh, M.; Bahlakeh, G.; Sanaei, Z.; Ramezanzadeh, B. Corrosion inhibition of mild steel in 1 M HCl solution by ethanolic extract of eco-friendly Mangifera indica (mango) leaves: Electrochemical, molecular dynamics, Monte Carlo and ab initio study. Appl. Surf. Sci. 2019, 463, 1058–1077. [Google Scholar] [CrossRef]
- Halambek, J.; Cindrić, I.; Grassino, A.N. Evaluation of pectin isolated from tomato peel waste as natural tin corrosion inhibitor in sodium chloride/acetic acid solution. Carbohydr. Polym. 2020, 234, 115940. [Google Scholar] [CrossRef] [PubMed]
- Kumar, H.; Yadav, V. Musa acuminata (Green corrosion inhibitor) as anti-pit and anti-cracking agent for mild steel in 5M hydrochloric acid solution. Chem. Data Collect. 2020, 29, 100500. [Google Scholar] [CrossRef]
- Cordeiro, R.F.B. Coffee Husk as Corrosion Inhibitor for Mild Steel in HCl Media. Int. J. Electrochem. Sci. 2018, 13, 12188–12207. [Google Scholar] [CrossRef]
- Abdulmajid, A.; Hamidon, T.S.; Rahim, A.; Hussin, M.H. Tamarind shell tannin extracts as green corrosion inhibitors of mild steel in hydrochloric acid medium Tamarind shell tannin extracts as green corrosion inhibitors of mild steel in hydrochloric acid medium. Mater. Res. Express 2019, 10, 6. [Google Scholar] [CrossRef]
- Odewunmi, N.; Umoren, S.; Gasem, Z. Watermelon waste products as green corrosion inhibitors for mild steel in HCl solution. J. Environ. Chem. Eng. 2015, 3, 286–296. [Google Scholar] [CrossRef]
- Pal, S.; Lgaz, H.; Tiwari, P.; Chung, I.-M.; Ji, G.; Prakash, R. Experimental and theoretical investigation of aqueous and methanolic extracts of Prunus dulcis peels as green corrosion inhibitors of mild steel in aggressive chloride media. J. Mol. Liq. 2019, 276, 347–361. [Google Scholar] [CrossRef]
- Ikpeseni, S.C.; Odu, G.O.; Owamah, H.I.; Onochie, P.U.; Ukala, D.C. Thermodynamic Parameters and Adsorption Mechanism of Corrosion Inhibition in Mild Steel Using Jatropha Leaf Extract in Hydrochloric Acid. Arab. J. Sci. Eng. 2021, 2021, 1–11. [Google Scholar] [CrossRef]
- Shahini, M.; Ramezanzadeh, M.; Bahlakeh, G.; Ramezanzadeh, B. Superior inhibition action of the Mish Gush (MG) leaves extract toward mild steel corrosion in HCl solution: Theoretical and electrochemical studies. J. Mol. Liq. 2021, 332, 115876. [Google Scholar] [CrossRef]
- da Silva Hernandes, H.; Santana, C.A.; da Santana, J.N.; Aquino Rodrigues, J.G.; D’Elia, E. Application of an Aqueous Extract of Cotton Seed as a Corrosion Inhibitor for Mild Steel in HCl Media. Mater. Res. 2021, 24. [Google Scholar] [CrossRef]
- Mostafatabar, A.H.; Bahlakeh, G.; Ramezanzadeh, B.; Dehghani, A.; Ramezanzadeh, M. A comprehensive electronic-scale DFT modeling, atomic-level MC/MD simulation, and electrochemical/surface exploration of active nature-inspired phytochemicals based on Heracleum persicum seeds phytoextract for effective retardation of the acidic-induced corrosion of mild steel. J. Mol. Liq. 2021, 331, 115764. [Google Scholar] [CrossRef]
- Soltani, N.; Khayatkashani, M. Evaluating performance of malva sylvestris leaf extract for protection of mild steel against corrosion in acidic solution. Asian J. Green Chem. 2021, 5, 39–57. [Google Scholar] [CrossRef]
- Pal, S.; Ji, G.; Lgaz, H.; Chung, I.-M.; Prakash, R. Lemon seeds as green coating material for mitigation of mild steel corrosion in acid media: Molecular dynamics simulations, quantum chemical calculations and electrochemical studies. J. Mol. Liq. 2020, 316, 113797. [Google Scholar] [CrossRef]
- Verma, C.; Ebenso, E.E.; Bahadur, I.; Quraishi, M. An overview on plant extracts as environmental sustainable and green corrosion inhibitors for metals and alloys in aggressive corrosive media. J. Mol. Liq. 2018, 266, 577–590. [Google Scholar] [CrossRef]
- Dehghani, A.; Bahlakeh, G.; Ramezanzadeh, B.; Ramezanzadeh, M. Aloysia citrodora leaves extract corrosion retardation effect on mild-steel in acidic solution: Molecular/atomic scales and electrochemical explorations. J. Mol. Liq. 2020, 310, 113221. [Google Scholar] [CrossRef]
- Yüce, A.O. Corrosion Inhibition Behavior of Robinia pseudoacacia Leaves Extract as a Eco-Friendly Inhibitor on Mild Steel in Acidic Media. Met. Mater. Int. 2020, 26, 456–466. [Google Scholar] [CrossRef]
- Ozturk, M.; Saba, N.; Altay, V.; Iqbal, R.; Hakeem, K.R.; Jawaid, M.; Ibrahim, F.H. Biomass and bioenergy: An overview of the development potential in Turkey and Malaysia. Renew. Sustain. Energy Rev. 2017, 79, 1285–1302. [Google Scholar] [CrossRef]
- Agensi Inovasi Malaysia. National Biomass Strategy 2020: New Wealth Creation for Malaysia’s Palm Oil Industry; Agensi Inovasi Malaysia (Aim): Putrajaya, Malaysia, 2011. [Google Scholar]
- World Bioenergy Association. Global Bioenergy Statistics 2020; World Bioenergy Association: Stockholm, Sweden, 2020. [Google Scholar]
- Mohd-Asharuddin, S.; Othman, N.; Zin, N.S.M.; Tajarudin, H.A. A Chemical and Morphological Study of Cassava Peel: A Potential Waste as Coagulant Aid. MATEC Web Conf. 2017, 103, 6012. [Google Scholar] [CrossRef]
- de Oliveira, G.A.; Teixeira, V.M.; da Cunha, J.N.; Rangel, M.; dos Santos, V.M.P.; Rezende, M.J.C. Biomass of Microalgae Chlorella sorokiniana as Green Corrosion Inhibitor for Mild Steel in HCl Solution. Int. J. Electrochem. Sci. 2021, 16, 210249. [Google Scholar] [CrossRef]
- Komalasari; Zultiniar; Karim, A.R.M.; Susanto, R.; Azhari, I.; Utami, S.P.; Heltina, D. Biomass Extraction as Green Corrosion Inhibitor for Low Carbon Steel in Hydrochloric Acid Solution. J. Phys. Conf. Ser. 2020, 1655. [Google Scholar] [CrossRef]
- Mishurov, V.I.; Shubina, E.N.; Klushin, V.A.; Chizhikova, A.A.; Kashparova, V.P.; Berezhnaya, A.G. Biomass Conversion Products as Steel Corrosion Inhibitors. Russ. J. Appl. Chem. 2019, 92, 620–624. [Google Scholar] [CrossRef]
- Hassan, N.; Ali, S.M.; Ebrahim, A.; El-Adawi, H. Performance evaluation and optimization of Camellia sinensis extract as green corrosion inhibitor for mild steel in acidic medium. Mater. Res. Express 2019, 6, 0865c7. [Google Scholar] [CrossRef]
- Papavinasam, S. Electrochemical polarization techniques for corrosion monitoring. In Techniques for Corrosion Monitoring, 2nd ed.; Woodhead Publishing: Sawston, UK, 2021; pp. 45–77. [Google Scholar]
- Citrus sinensis Extract as a Green Inhibitor for the Corrosion of Carbon Steel in Sulphuric Acid Solution. Biointerface Res. Appl. Chem. 2021, 11, 14007–14020. [CrossRef]
- Dehghani, A.; Bahlakeh, G.; Ramezanzadeh, B.; Ramezanzadeh, M. Electronic/atomic level fundamental theoretical evaluations combined with electrochemical/surface examinations of Tamarindus indiaca aqueous extract as a new green inhibitor for mild steel in acidic solution (HCl 1 M). J. Taiwan Inst. Chem. Eng. 2019, 102, 349–377. [Google Scholar] [CrossRef]
- Elabbasy, H.M.; Fouda, A.S. Olive leaf as green corrosion inhibitor for C-steel in Sulfamic acid solution. Green Chem. Lett. Rev. 2019, 12, 332–342. [Google Scholar] [CrossRef]
- Mohd, N.K.; Yeong, S.K.; Ibrahim, N.A.; Nor, S.M.M.; Chan, C.H.; Tang, S.W.; Lim, W.H.; Idris, Z. Corrosion Inhibition, Adsorption Behaviour and Thermodynamic Properties of N-Cinnamalidene Palmitohydrazide on Mild Steel In Hydrochloric Acid Solution. J. Oil Palm Res. 2020, 32, 124–138. [Google Scholar] [CrossRef]


















| Problem with Corrosion Inhibitor | Author | Ref. |
|---|---|---|
| Harmful and toxic to nature and humans | Anupama et al. (2016); Fidrusli et al. (2017); Vorobyova et al. (2019) | [20,40,41] |
| Presence of nitrites, chromates, and benzoates | Omotosho et al. (2016) | [42] |
| Nondegradable and poisonous | Fidrusli et al. (2017) | [41] |
| Extra cost for residual water treatment | Rodriguez-Torres et al. (2019) | [15] |
| Plants | Adsorption Type | Ref. | |
|---|---|---|---|
| Solanum lasiocarpum L. | −23.5 to −17.1 | Comprehensive | [6] |
| Sweet melon peel extract | −4.91 to −3.71 | Comprehensive | [85] |
| Rice bran oil | −53.80 | Chemisorption | [81] |
| Luffa cylindraca leaf | −11.56 to −11.45 | Comprehensive | [16] |
| Green Eucalyptus leaf | −35 to −32 | Comprehensive | [4] |
| Biomass Wastes | Maximum Inhibitor Efficiency (%) | Inhibitor Type | Adsorption Type | Ref. |
|---|---|---|---|---|
| Tomato peel | 75.9 | Mixed | - | [92] |
| Pennisetum purpureum (elephant grass) | 81.7 | Mixed | Physisorption | [46] |
| Rice bran oil | >99 | Mixed | Chemisorption | [81] |
| Musa acuminata (banana peels) | 90.0 | Mixed | - | [93] |
| Empty fruit bunch of oil palm | 99.95 | Cathodic | Physisorption | [25] |
| Sweet melon peel | 91.59 | Anodic | Comprehensive | [85] |
| Coffee husk | 90.3 | Mixed | Chemisorption | [94] |
| Peganum harmala seed | 95 | Mixed | Chemisorption | [39] |
| Tamarind shell | 87.77 | Mixed | Physisorption | [95] |
| Watermelon waste | 86.08 | Mixed | Physisorption | [96] |
| Prunus dulcis (almond peel) | 93.0 | Mixed | Comprehensive | [97] |
| Jatropha leaves | 82.0 | Mixed | Physisorption | [98] |
| Mish Gush leaves | 96.0 | Mixed | Comprehensive | [99] |
| Cotton seed | 97.3 | Mixed | Chemisorption | [100] |
| Heracleum persicum seeds | 95.0 | Mixed | Chemisorption | [101] |
| Malva sylvestris leaf extract | 93.0 | Mixed | Physisorption | [102] |
| Lemon seeds | 98.0 | Mixed | - | [103] |
| Newbouldia laevis stem bark | 85.0 | Mixed | Chemisorption | [104] |
| Newbouldia laevis leaves | 76.70 | Mixed | Chemisorption | [104] |
| Aloysia citrodora leaves | 94.0 | Mixed | Comprehensive | [105] |
| Robinia pseudoacacia leaves | 92.0 | Mixed | Comprehensive | [106] |
Publisher’s Note: MDPI stays neutral with regard to jurisdictional claims in published maps and institutional affiliations. |
© 2021 by the authors. Licensee MDPI, Basel, Switzerland. This article is an open access article distributed under the terms and conditions of the Creative Commons Attribution (CC BY) license (https://creativecommons.org/licenses/by/4.0/).
Share and Cite
Reza, N.A.; Akhmal, N.H.; Fadil, N.A.; Taib, M.F.M. A Review on Plants and Biomass Wastes as Organic Green Corrosion Inhibitors for Mild Steel in Acidic Environment. Metals 2021, 11, 1062. https://doi.org/10.3390/met11071062
Reza NA, Akhmal NH, Fadil NA, Taib MFM. A Review on Plants and Biomass Wastes as Organic Green Corrosion Inhibitors for Mild Steel in Acidic Environment. Metals. 2021; 11(7):1062. https://doi.org/10.3390/met11071062
Chicago/Turabian StyleReza, Norbaayah Ahmad, Nor Hasrul Akhmal, Nor Akmal Fadil, and Mohd Firdaus Mohd Taib. 2021. "A Review on Plants and Biomass Wastes as Organic Green Corrosion Inhibitors for Mild Steel in Acidic Environment" Metals 11, no. 7: 1062. https://doi.org/10.3390/met11071062
APA StyleReza, N. A., Akhmal, N. H., Fadil, N. A., & Taib, M. F. M. (2021). A Review on Plants and Biomass Wastes as Organic Green Corrosion Inhibitors for Mild Steel in Acidic Environment. Metals, 11(7), 1062. https://doi.org/10.3390/met11071062

