A New Approach to Determine Tensile Stress-Strain Evolution in Semi-Solid State at Near-Solidus Temperature of Aluminum Alloys
Abstract
1. Introduction
2. Experimental Design and Methods
2.1. Materials
2.2. A New Method for Measuring Tensile Properties in the Near-Solidus Regions
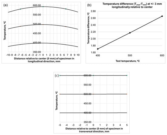
2.2.1. Design of Specimen Geometry for Better Temperature Distribution
2.2.2. Stress Measurement
2.2.3. Stress Measurement Using the DIC Technique
3. Results and Discussion
3.1. Stress Evolution
3.2. Strain Evolution
3.3. Stress-Strain Curves
4. Conclusions
- The stress measured using the L-gauge method evolved very smoothly, i.e., without large fluctuations, when compared to the stresses obtained from the load cell of the Gleeble unit. This enabled an accurate determination of the flow stress even when the high-temperature strength of aluminum alloys in near-solidus regions was quite low, ranging between 1 and 10 MPa.
- The DIC technique measured the strain fields evolving within the specimens under tensile loading. Accurate measurement of heterogeneous strain fields in the specimens allowed effective assessment of the extent of strain localizations, which were highly sensitive to the fraction of liquid in the near-solidus regions of the specimens.
- Synchronization of stress and strain to obtain stress-strain curves and assessment of the extent of strain localization in the specimens allowed a better understanding of the susceptibility of alloys to hot tearing and provided more reliable stress and strain data for the thermomechanical models.
Author Contributions
Funding
Institutional Review Board Statement
Informed Consent Statement
Data Availability Statement
Acknowledgments
Conflicts of Interest
References
- Kou, S. A criterion for cracking during solidification. Acta Mater. 2015, 88, 366–374. [Google Scholar] [CrossRef]
- Phillion, A.B.; Thompson, S.; Cockcroft, S.L.; Wells, M.A. Tensile properties of as-cast aluminum alloys AA3104, AA6111 and CA31218 at above solidus temperatures. Mater. Sci. Eng. A 2008, 497, 388–394. [Google Scholar] [CrossRef]
- Eskin, D.G.; Suyitno; Katgerman, L. Mechanical properties in the semi-solid state and hot tearing of aluminium alloys. Prog. Mater. Sci. 2004, 49, 629–711. [Google Scholar] [CrossRef]
- Eskin, D.G.; Katgerman, L.; Mooney, J.F. Contraction of aluminum alloys during and after solidification. Met. Mat. Trans. A 2004, 35, 1325–1335. [Google Scholar] [CrossRef]
- van Haaften, W.M.; Kool, W.H.; Katgerman, L. Hot tearing studies in AA5182. J. Mater. Eng. Perform. 2002, 11, 537–543. [Google Scholar] [CrossRef]
- Magnin, B.; Maenner, L.; Katgerman, L.; Engler, S. Ductility and Rheology of an Al-4.5% Cu Alloy from Room Temperature to Coherency Temperature. Mater. Sci. Forum 1996, 222, 1209–1214. [Google Scholar] [CrossRef]
- Han, Q.; Hassan, M.I.; Saito, K.; Viswanathan, S.; Das, S.K. The reheating-cooling method: A technique for measuring mechanical properties in the nonequilibrium mushy zones of alloys. Met. Mat. Trans. A 2005, 36, 2073–2080. [Google Scholar] [CrossRef]
- Lalpoor, M.; Eskin, D.G.; Katgerman, L. Cold-Cracking Assessment in AA7050 Billets during Direct-Chill Casting by Thermomechanical Simulation of Residual Thermal Stresses and Application of Fracture Mechanics. Met. Mat. Trans. A 2009, 40, 3304–3313. [Google Scholar] [CrossRef]
- Phillion, A.B.; Cockcroft, S.L.; Lee, P.D. A new methodology for measurement of semi-solid constitutive behavior and its application to examination of as-cast porosity and hot tearing in aluminum alloys. Mater. Sci. Eng. A 2008, 491, 237–247. [Google Scholar] [CrossRef]
- Bolouri, A.; Liu, K.; Chen, X.G. Effects of Iron-Rich Intermetallics and Grain Structure on Semisolid Tensile Properties of Al-Cu 206 Cast Alloys near Solidus Temperature. Met. Mat. Trans. A 2016, 47, 6466–6480. [Google Scholar] [CrossRef]
- Li, Y.; Li, S.; Chen, Y.; Han, G. Constitutive parameters identification based on DIC assisted thermo-mechanical tensile test for hot stamping of boron steel. J. Mater. Process. Technol. 2019, 271, 429–443. [Google Scholar] [CrossRef]
- Liu, K.; Chen, X.G. Influence of the modification of iron-bearing intermetallic and eutectic Si on the mechanical behavior near the solidus temperature in Al-Si-Cu 319 cast alloy. Phys. B Condens. Matter 2019, 560, 126–132. [Google Scholar] [CrossRef]
- Colley, L.J.; Wells, M.A.; Maijer, D.M. Tensile properties of as-cast aluminum alloy AA5182 close to the solidus temperature. Mater. Sci. Eng. A 2004, 386, 140–148. [Google Scholar] [CrossRef]
- van Haaften, W.M.; Kool, W.H.; Katgerman, L. Tensile behaviour of semi-solid industrial aluminium alloys AA3104 and AA5182. Mater. Sci. Eng. A 2002, 336, 1–6. [Google Scholar] [CrossRef]
- Kron, J.; Fredrikkson, H. High-temperature tensile testing of in situ solidified aluminum base alloys. In International Sympozium on Liquid Metal Processing and Casting; Lee, P.D., Mitchell, A., Jardy, A., Bellot, J.P., Eds.; SF2M-Paris: Nancy, France, 2003; pp. 393–400. [Google Scholar]
- Twite, M.R.; Spittle, J.A.; Brown, S.G.R. The Tensile Properties of Semi-Solid Aluminum Alloys. Int. J. Form. Process. 2004, 7, 233–260. [Google Scholar] [CrossRef]
- Mathier, V.; Grasso, P.D.; Rappaz, M. A New Tensile Test for Aluminum Alloys in the Mushy State: Experimental Method and Numerical Modeling. Met. Mat. Trans. A 2008, 39, 1399–1409. [Google Scholar] [CrossRef][Green Version]
- Quanjin, M.; Rejab, M.R.M.; Halim, Q.; Merzuki, M.N.M.; Darus, M.A.H. Experimental investigation of the tensile test using digital image correlation (DIC) method. Mater. Today Proc. 2020, 27, 757–763. [Google Scholar] [CrossRef]
- GOM GmbH. GOM Testing—Technical Documentation as of V8 SR1, Digital Image Correlation and Strain Computation Basics; GOM GmbH: Braunschweig, Germany, 2016. [Google Scholar]
- Levasseur, D.; Larouche, D. Tensile creep testing of an Al-Cu alloy above solidus with a dynamic mechanical analyser. Mater. Sci. Eng. A 2011, 528, 4413–4421. [Google Scholar] [CrossRef]
- Khadyko, M.; Morin, D.; Børvik, T.; Hopperstad, O.S. Tensile ductility of extruded aluminium alloy AA6063 in different tempers. Mater. Sci. Eng. A 2019, 744, 500–511. [Google Scholar] [CrossRef]











Publisher’s Note: MDPI stays neutral with regard to jurisdictional claims in published maps and institutional affiliations. |
© 2021 by the authors. Licensee MDPI, Basel, Switzerland. This article is an open access article distributed under the terms and conditions of the Creative Commons Attribution (CC BY) license (http://creativecommons.org/licenses/by/4.0/).
Share and Cite
Rakhmonov, J.; Qassem, M.; Larouche, D.; Liu, K.; Javidani, M.; Colbert, J.; Chen, X.-G. A New Approach to Determine Tensile Stress-Strain Evolution in Semi-Solid State at Near-Solidus Temperature of Aluminum Alloys. Metals 2021, 11, 396. https://doi.org/10.3390/met11030396
Rakhmonov J, Qassem M, Larouche D, Liu K, Javidani M, Colbert J, Chen X-G. A New Approach to Determine Tensile Stress-Strain Evolution in Semi-Solid State at Near-Solidus Temperature of Aluminum Alloys. Metals. 2021; 11(3):396. https://doi.org/10.3390/met11030396
Chicago/Turabian StyleRakhmonov, Jovid, Mohamed Qassem, Daniel Larouche, Kun Liu, Mousa Javidani, Josée Colbert, and X.-Grant Chen. 2021. "A New Approach to Determine Tensile Stress-Strain Evolution in Semi-Solid State at Near-Solidus Temperature of Aluminum Alloys" Metals 11, no. 3: 396. https://doi.org/10.3390/met11030396
APA StyleRakhmonov, J., Qassem, M., Larouche, D., Liu, K., Javidani, M., Colbert, J., & Chen, X.-G. (2021). A New Approach to Determine Tensile Stress-Strain Evolution in Semi-Solid State at Near-Solidus Temperature of Aluminum Alloys. Metals, 11(3), 396. https://doi.org/10.3390/met11030396

