Measurement and Analysis of Residual Stresses and Warpage in Fiber Reinforced Plastic and Hybrid Components
Abstract
1. Introduction
2. Hole Drilling Method
2.1. Principle of the Hole Drilling Method (HDM)
2.2. Calibration Coefficient Calculations
3. Experimental Procedure and Microstructure Characterization
3.1. Sample Preparation
3.2. Microstructure Characterization of the Samples
3.3. Experiment Details Related to Application of the Hole Drilling Method
3.4. Characterization of the Drilled Hole
4. Results and Discussions
4.1. Calculated Calibration Coefficients
4.2. Strain Measurement
4.3. Experimentally Determined Warpage
4.4. Residual Stresses Determined for GFRP
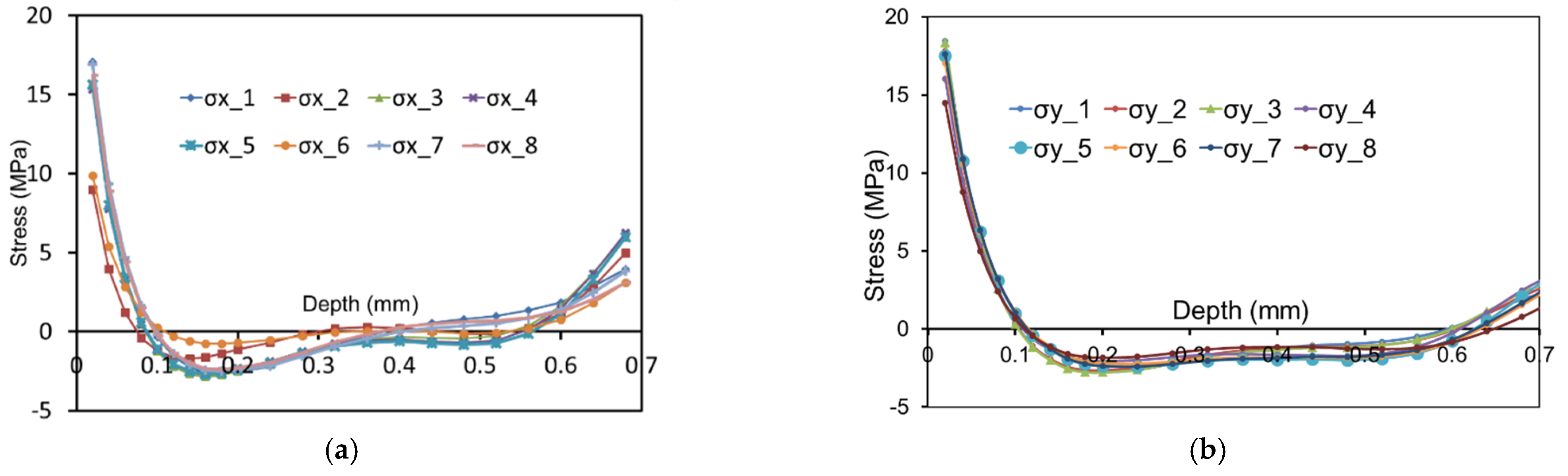
4.5. Reliability of the Residual Stress Measurement in Case of GFRP
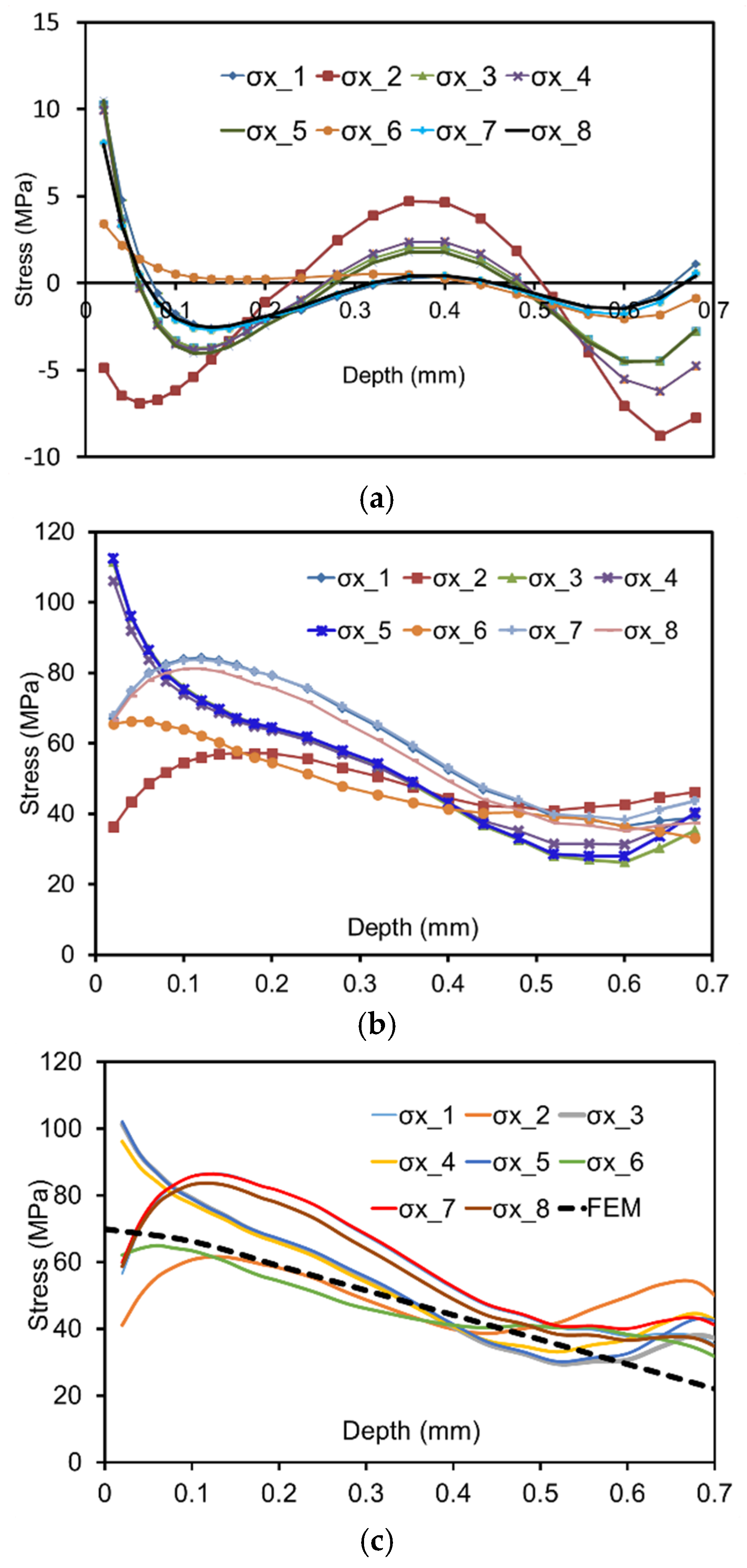
4.6. Residual Stresses Comparison of GFRP, CFRP, GFRP/Steel and CFRP/Steel Composites
5. Conclusions
- In the case of the HDM, the zero-depth needs to be carefully determined. A non-exact zero-depth setting strongly biases the resulting residual stresses.
- With a large drilling increment size, the residual stress results suffer from pronounced scatter. It was also found that the resulting residual stresses close to the surface obtained after fast drilling are smaller than after slow drilling. This fact is attributed to the presence of machining induced stresses and local plastic deformation.
- Based on results presented and discussed, optimal drilling parameters were concluded. The reliability of the determination of residual stresses in GFRP using the optimal drilling parameters could be positively validated using mechanical bending tests.
- Obvious warpage induced by residual stresses was observed in the unsymmetrical composites. Only minor warpage was found in symmetrical FRP, the latter most probably being induced by shear forces between the FRP and the tool. The warpage of the CFRP/steel hybrid composite is larger than for the GFRP/steel hybrid composite, due to a higher difference in CTE between CFRP and steel.
Author Contributions
Funding
Institutional Review Board Statement
Informed Consent Statement
Data Availability Statement
Conflicts of Interest
References
- Saleh, M.N.; El-Dessouky, H.M.; Saeedifar, M.; De Freitas, S.T.; Scaife, R.J.; Zarouchas, D. Compression after multiple low velocity impacts of NCF, 2D and 3D woven composites. Compos. Part A Appl. Sci. Manuf. 2019, 125, 105576. [Google Scholar] [CrossRef]
- Saeedifar, M.; Saleh, M.N.; El-Dessouky, H.M.; De Freitas, S.T.; Zarouchas, D. Damage assessment of NCF, 2D and 3D woven composites under compression after multiple-impact using acoustic emission. Compos. Part A Appl. Sci. Manuf. 2020, 132, 105833. [Google Scholar] [CrossRef]
- Reuter, C.; Tröster, T. Crashworthiness and numerical simulation of hybrid aluminium-CFRP tubes under axial impact. Thin-Walled Struct. 2017, 117, 1–9. [Google Scholar] [CrossRef]
- Tinkloh, S.; Wu, T.; Tröster, T.; Niendorf, T. A micromechanical-based finite element simulation of process-induced residual stresses in metal-CFRP-hybrid structures. Compos. Struct. 2020, 238, 111926. [Google Scholar] [CrossRef]
- Hufenbach, W.; Gude, M.; Kroll, L. Design of multistable composites for application inadaptive structures. Compos. Sci. Technol. 2002, 16, 2201–2207. [Google Scholar] [CrossRef]
- Daynes, S.; Weaver, P. Analysis of unsymmetric CFRP–metal hybrid laminates for use in adaptive structures. Compos. Part A Appl. Sci. Manuf. 2010, 41, 1712–1718. [Google Scholar] [CrossRef]
- White, S.R.; Hahn, H.T. Cure cycle optimisation for the reduction of processing-induced residual stresses in composite materials. J. Compos. Mater. 1993, 27, 1352–1378. [Google Scholar] [CrossRef]
- Prussak, R.; Stefaniak, D.; Hühne, C.; Sinapius, M. Evaluation of residual stress development in FRP-metal hybrids using fiber Bragg grating sensors. Prod. Eng. 2018, 12, 259–267. [Google Scholar] [CrossRef]
- Rossini, N.; Dassisti, M.; Benyounis, K.; Olabi, A.-G. Methods of measuring residual stresses in components. Mater. Des. 2012, 35, 572–588. [Google Scholar] [CrossRef]
- Huang, X.; Liu, Z.; Xie, H. Recent progress in residual stress measurement techniques. Acta Mech. Solida Sin. 2013, 26, 570–583. [Google Scholar] [CrossRef]
- Magnier, A.; Zinn, W.; Niendorf, T.; Scholtes, B. Residual Stress Analysis on Thin Metal Sheets Using the Incremental Hole Drilling Method—Fundamentals and Validation. Exp. Tech. 2019, 43, 65–79. [Google Scholar] [CrossRef]
- ASTM International. Standard Test Method for Determining Residual Stresses by the Hole-Drilling Strain-Gage Method; ASTM E837-13; ASTM International: West Conshohocken, PA, USA, 2013. [Google Scholar]
- Gong, X.-L.; Wen, Z.; Su, Y. Experimental determination of residual stresses in composite laminates [02/θ2]s. Adv. Compos. Mater. 2014, 24, 33–47. [Google Scholar] [CrossRef]
- Schajer, G.S.; Yang, L. Residual-stress measurement in orthotropic materials using the hole-drilling method. Exp. Mech. 1994, 34, 324–333. [Google Scholar] [CrossRef]
- Akbari, S.; Taheri-Behrooz, F.; Shokrieh, M. Characterization of residual stresses in a thin-walled filament wound carbon/epoxy ring using incremental hole drilling method. Compos. Sci. Technol. 2014, 94, 8–15. [Google Scholar] [CrossRef]
- Magnier, A.; Scholtes, B.; Niendorf, T. On the reliability of residual stress measurements in polycarbonate samples by the hole drilling method. Polym. Test. 2018, 71, 329–334. [Google Scholar] [CrossRef]
- Wu, T.; Tinkloh, S.R.; Tröster, T.; Zinn, W.; Niendorf, T. Determination and Validation of Residual Stresses in CFRP/Metal Hybrid Components Using the Incremental Hole Drilling Method. J. Compos. Sci. 2020, 4, 143. [Google Scholar] [CrossRef]
- Magnier, A.; Wu, T.; Tinkloh, S.R.; Tröster, T.; Scholtes, B.; Niendorf, T. On the reliability of residual stress measurements in unidirectional carbon fibre reinforced epoxy composites. submitted.
- Magnier, A. Residual Stress Analysis in Polymer Materials Using the Hole Drilling Method-Basic Principles and Applications. Ph.D. Thesis, University of Kassel, Kassel, Germany, 2018. [Google Scholar]
- Lauter, C.; Reuter, C.; Wu, S.; Tröster, T. Large-Scale Production of High-Performance Fiber-Metal-Laminates by Prepreg-Press-Technology. Int. J. Mater. Metall. Eng. 2016, 10, 964–969. [Google Scholar]
- Mehdikhani, M.; Gorbatikh, L.; Verpoest, I.; Lomov, S.V. Voids in fiber-reinforced polymer composites: A review on their formation, characteristics, and effects on mechanical performance. J. Compos. Mater. 2019, 53, 1579–1669. [Google Scholar] [CrossRef]
- Nau, A.; Scholtes, B. Evaluation of the High-Speed Drilling Technique for the Incremental Hole-Drilling Method. Exp. Mech. 2012, 53, 531–542. [Google Scholar] [CrossRef]
- Vaggar, G.B.; Kamate, S.C.; Badyankal, P.V. Thermal Properties Characterization of Glass Fiber Hybrid Polymer Composite Materials. Int. J. Eng. Technol. 2018, 7, 455–458. [Google Scholar] [CrossRef]
- Ran, Z.; Yan, Y.; Li, J.; Qi, Z.; Yang, L. Determination of thermal expansion coefficients for unidirectional fiber-reinforced composites. Chin. J. Aeronaut. 2014, 27, 1180–1187. [Google Scholar] [CrossRef]
- Xu, G.; Deng, P.; Wang, G.X.; Cao, L.F.; Liu, F. Measurement of expansion coefficients of four steel types. Ironmak. Steelmak. 2013, 40, 613–618. [Google Scholar] [CrossRef]





















| Young’s Modulus (GPa) | Poisson’s Ratio | Shear Modulus (GPa) | ||||||||
|---|---|---|---|---|---|---|---|---|---|---|
| Material | Ex | Ey | Ez | νxy | νxz | νyz | Gxy | Gxz | Gyz | |
| CFRP | 126.15 | 7.97 | 7.97 | 0.34 | 0.34 | 0.37 | 7.11 | 7.11 | 2.9 | |
| GFRP | 33.98 | 8.78 | 8.78 | 0.33 | 0.33 | 0.37 | 5.23 | 5.23 | 3.21 | |
| Steel | 210 | 0.29 | ||||||||
| C11 | 20 μm | 40 μm | 60 μm | C12 | 20 μm | 40 μm | 60 μm |
| 20 μm | −0.11212567 | 0 | 0 | 20 μm | 0.01578208 | 0 | 0 |
| 40 μm | −0.13406715 | −0.12199512 | 0 | 40 μm | 0.01814762 | 0.01877189 | 0 |
| 60 μm | −0.15371703 | −0.14405698 | −0.12675674 | 60 μm | 0.02028894 | 0.02165643 | 0.02136496 |
| C13 | 20 μm | 40 μm | 60 μm | C21 | 20 μm | 40 μm | 60 μm |
| 20 μm | −0.00038726 | 0 | 0 | 20 μm | −0.02488222 | 0 | 0 |
| 40 μm | −0.00041878 | −0.00040332 | 0 | 40 μm | −0.03055141 | −0.02719248 | 0 |
| 60 μm | −0.00044319 | −0.00043516 | −0.00041536 | 60 μm | −0.03559672 | −0.0328182 | −0.02850518 |
| C22 | 20 μm | 40 μm | 60 μm | C23 | 20 μm | 40 μm | 60 μm |
| 20 μm | −0.17709626 | 0 | 0 | 20 μm | 0.31686184 | 0 | 0 |
| 40 μm | −0.19236499 | −0.18393104 | 0 | 40 μm | 0.34161832 | 0.33137709 | 0 |
| 60 μm | −0.20551438 | −0.19940158 | −0.18879342 | 60 μm | 0.36385533 | 0.35670048 | 0.34154263 |
| C31 | 20 μm | 40 μm | 60 μm | C32 | 20 μm | 40 μm | 60 μm |
| 20 μm | 0.00797854 | 0 | 0 | 20 μm | −0.37465099 | 0 | 0 |
| 40 μm | 0.00873606 | 0.00931117 | 0 | 40 μm | −0.40524472 | −0.38986754 | 0 |
| 60 μm | 0.00950009 | 0.0103751 | 0.01049711 | 60 μm | −0.43220678 | −0.42157849 | −0.40169851 |
| C33 | 20 μm | 40 μm | 60 μm | ||||
| 20 μm | 2.6263 × 10−6 | 0 | 0 | ||||
| 40 μm | 1.1655 × 10−6 | 2.1573 × 10−6 | 0 | ||||
| 60 μm | −1.0392 × 10−6 | −9.5144 × 10−7 | 1.6632 × 10−7 |
| CFRP | GFRP | CFRP/Steel | GFRP/Steel | |
|---|---|---|---|---|
| C1111 | −0.11212567 | −0.2371058 | −0.09425722 | −0.1457634 |
| C1211 | 0.01578208 | 0.0524818 | 0.04266225 | 0.0205167 |
| C1311 | −0.00038726 | −0.00037167 | −0.00076925 | −0.0005034 |
| C2111 | −0.02488222 | −0.07298181 | −0.01009124 | −0.0323469 |
| C2211 | −0.17709626 | −0.21339416 | −0.20073594 | −0.2302251 |
| C2311 | 0.31686184 | 0.43392722 | 0.21690341 | 0.41192039 |
| C3111 | 0.00797854 | 0.03665156 | 0.03744151 | 0.0103721 |
| C3211 | −0.37465099 | −0.45894306 | −0.41178663 | −0.4870463 |
| C3311 | 2.6263 × 10−6 | 2.0962 × 10−6 | 1.67 × 10−6 | 3.4142 × 10−6 |
Publisher’s Note: MDPI stays neutral with regard to jurisdictional claims in published maps and institutional affiliations. |
© 2021 by the authors. Licensee MDPI, Basel, Switzerland. This article is an open access article distributed under the terms and conditions of the Creative Commons Attribution (CC BY) license (http://creativecommons.org/licenses/by/4.0/).
Share and Cite
Wu, T.; Tinkloh, S.; Tröster, T.; Zinn, W.; Niendorf, T. Measurement and Analysis of Residual Stresses and Warpage in Fiber Reinforced Plastic and Hybrid Components. Metals 2021, 11, 335. https://doi.org/10.3390/met11020335
Wu T, Tinkloh S, Tröster T, Zinn W, Niendorf T. Measurement and Analysis of Residual Stresses and Warpage in Fiber Reinforced Plastic and Hybrid Components. Metals. 2021; 11(2):335. https://doi.org/10.3390/met11020335
Chicago/Turabian StyleWu, Tao, Steffen Tinkloh, Thomas Tröster, Wolfgang Zinn, and Thomas Niendorf. 2021. "Measurement and Analysis of Residual Stresses and Warpage in Fiber Reinforced Plastic and Hybrid Components" Metals 11, no. 2: 335. https://doi.org/10.3390/met11020335
APA StyleWu, T., Tinkloh, S., Tröster, T., Zinn, W., & Niendorf, T. (2021). Measurement and Analysis of Residual Stresses and Warpage in Fiber Reinforced Plastic and Hybrid Components. Metals, 11(2), 335. https://doi.org/10.3390/met11020335

