Next Article in Journal
Numerical Model Simulation of the Double-Roll Rotary Forging of Large Diameter Thin-Walled Disk
Previous Article in Journal
Microstructure Features and Superplasticity of Extruded, Rolled and SPD-Processed Magnesium Alloys: A Short Review
 
 
Font Type:
Arial Georgia Verdana
Font Size:
Aa Aa Aa
Line Spacing:
Column Width:
Background:
Article

Using Intercritical CCT Diagrams and Multiple Linear Regression for the Development of Low-Alloyed Advanced High-Strength Steels

by
Bryan Y. Navarrete Pino
1,
Antonio A. Torres Castillo
1,
Emmanuel J. Gutiérrez Castañeda
1,2,*,
Luis A. Espinosa Zúñiga
1,
Lorena Hernández Hernández
1,
Armando Salinas Rodríguez
3,
Rogelio Deaquino Lara
3,
Rocío Saldaña Garcés
4,
Iván A. Reyes Domínguez
1,
Javier Aguilar Carrillo
1,
Arnoldo Bedolla Jacuinde
5,
Carlos G. Garay Reyes
6 and
Roberto Martínez Sánchez
6
1
Instituto de Metalurgia, Ingeniería de Materiales, Universidad Autónoma de San Luis Potosí, Av. Sierra Leona 550, Lomas Segunda Sección, San Luis Potosí C.P. 78210, Mexico
2
Consejo Nacional de Ciencia y Tecnología, Catedrático CONACYT, Avenida Insurgentes Sur 1582, Crédito Constructor, Ciudad de México C.P. 03940, Mexico
3
Centro de Investigación y de Estudios Avanzados del Instituto Politécnico Nacional, CINVESTAV, Av. Industria Metalúrgica 1062, Parque Industrial Ramos Arizpe-Saltillo, Ramos Arizpe C.P. 25900, Mexico
4
Corporación Mexicana de Investigación en Materiales S.A. de C.V, COMIMSA, Calle Ciencia y Tecnología 790, Saltillo C.P. 25290, Mexico
5
Edificio “U” Ciudad Universitaria, Universidad Michoacana de San Nicolás de Hidalgo, Morelia C.P. 58060, Mexico
6
CIMAV, Av. Miguel de Cervantes Saavedra 120, Complejo Industrial Chihuahua, Chihuahua C.P. 31136, Mexico
*
Author to whom correspondence should be addressed.
Metals 2021, 11(11), 1768; https://doi.org/10.3390/met11111768
Submission received: 4 September 2021 / Revised: 16 October 2021 / Accepted: 26 October 2021 / Published: 3 November 2021

Abstract

:
The present work presents a theoretical and experimental study regarding the microstructure, phase transformations and mechanical properties of advanced high-strength steels (AHSS) of third generation produced by thermal cycles similar than those used in a continuous annealing and galvanizing (CAG) process. The evolution of microstructure and phase transformations were discussed from the behavior of intercritical continuous cooling transformation diagrams calculated with the software JMatPro, and further characterization of the steel by scanning electron microscopy, optical microscopy and dilatometry. Mechanical properties were estimated with a mathematical model obtained as a function of the alloying elements concentrations by multiple linear regression, and then compared to the experimental mechanical properties determined by uniaxial tensile tests. It was found that AHSS of third generation can be obtained by thermal cycles simulating CAG lines through modifications in chemistry of a commercial AISI-1015 steel, having an ultimate tensile strength of UTS = 1020–1080 MPa and an elongation to fracture of Ef = 21.5–25.3%, and microstructures consisting of a mixture of ferrite phase, bainite microconstituent and retained austenite/martensite islands. The determination coefficient obtained by multiple linear regression for UTS and Ef was R2 = 0.94 and R2 = 0.84, respectively. In addition, the percentage error for UTS and Ef was 2.45–7.87% and 1.18–16.27%, respectively. Therefore, the proposed model can be used with a good approximation for the prediction of mechanical properties of low-alloyed AHSS.

Graphical Abstract

1. Introduction

Recent trends in vehicle production are characterized by the application of lightweight principles to fulfill both the customer demands and increased legal requirements [1,2,3,4,5].
High-strength steels for automotive applications can be classified as conventional steels (HSS) and advanced high-strength steels (AHSS) [6]. HSS includes mild steels, bake-hardened (BH) steels, interstitial-free (IF) steels, and high-strength low-alloyed steels (HSLA), which mainly have a ferritic or ferritic-pearlitic matrix. AHSS can be obtained with carefully selected chemical compositions to promote the formation of particular microstructures during thermal cycles. The AHSS generation includes the following steels: complex-phase (CP), dual-phase (DP), hot-formed (HF), martensitic (MS or MART), ferritic-bainitic (FB), transformation-induced plasticity (TRIP) and twinning-induced plasticity (TWIP) [7].
AHSS are classified in three generations [8]. The first generation was developed out of mild steel by adding certain alloying elements. High-strength low-alloy steels (HSLA) were developed by changes in chemical composition and combining different strengthening mechanisms, causing an increase in strength, but with lower elongation [9]. HSLA steels led to DP, TRIP, and martensitic steels, all with increased strength at the expense of lower elongation to fracture [10,11]. The second generation of AHSS (TWIP) is characterized by fully austenitic microstructures obtained by adding significant amounts of alloying elements such as Mn, Si or Al [12,13,14,15]. Even though the goal of significantly increasing both the strength and elongation characteristics can be met in these materials, they are hardly used in the automobile industry due to their high costs and challenges related to weldability, galvanizing, elevated wear on forming dies, increased springback, flange stretching, edge cracking and fatigue compared to other steels [16,17]. Recently, there has been increased funding and research for the development of the “3rd Generation” of advanced high-strength steels (AHSS) [5,8,18,19,20,21,22,23]. The third generation of AHSS seeks to provide ductility and high strength without the joining problems and high costs associated with the previous generations [5,8].
The recent concerns of environmental protection and current policies to reduce greenhouse gas emissions have driven steel manufacturers to reduce the weights of their components. In this context, using thinner steel sheets of third generation AHSS may result in a mass reduction, which in turn can lead to lower consumption with increased environmental protection [1,5]. However, to obtain thin sheets of AHSS for automobile applications, it is necessary to overcome several and often contradictory constraints including a good combination of high formability, lightness, high mechanical strength, production possibilities and durability, all under strong economic constraints. Overcoming these contradictory objectives is often the task of metallurgists, such combination in steel, a material considered so well known, remains a real challenge [23].
Amongst the different types of AHSS, DP, TRIP and CP are considered as attractive steels to be extended into 3rd generation advanced high-strength steels [8,23]. TRIP-aided multiphase steels may exhibit an improved combination between strength and ductility, thus satisfying the demands of the automotive industry for high-strength steels with good formability [24]. TRIP steels are characterized for having a triple-phase microstructure consisting of ferrite, bainite and retained austenite, which needs to be obtained during thermal treatments.
Chemistry and heat treatment parameters play an important role in the kinetics of phase transformations that may occur during the heat treatment of steel, and thus on the resulting microstructure and mechanical properties. The designers, researchers of material sciences and manufacturers are usually contingent on results of experiments conducted in a testing laboratory to identify mechanical properties [25]. Therefore, to obtain the desired properties of a specific material, the composition and processing parameters need to be customized prior to conducting the experiment, which demands massive expenditure and time to figure out the properties of materials [25]. Commercial softwares (e.g., JMatPro, MatCalc) represent a potential tool to predict the kinetics of phase transformations in multicomponent alloys based on sound physical principles rather than purely statistical methods. They have been employed in the modelling of creep and precipitation hardening [26]; for prediction of phase transformation temperatures on heating and cooling to design quenching and partitioning (Q&P) processing routes [27]; to predict the evolution of phases during double-step heat treatment of medium-Mn AHSS [28]; to explain the evolution of the phases as a function of both time and temperature parameters during solidification and homogenization [29]; for calculation of the temperature-dependent thermal properties, i.e., density, conductivity and specific heat capacity, in DP and TRIP steels [30]; and for the analysis and the prediction of the kinetics of precipitation in microalloyed steel grades subjected to different processing steps [31].
Recently, some authors evaluated the feasibility of obtaining dual-phase (DP) steels from the intercritical temperature range [32], by thermal cycles that simulate continuous annealing lines. Although a microstructure of ferrite + martensite was expected by conducting different thermal treatments, a large amount of bainite was obtained with the proposed heat treatments. It was reported that for the austenitization conditions and the particular case of the steel investigated, the viability of producing DP steels under the conditions mentioned above was limited. Cooling rates greater than 100 °C/s were required to obtain the specific ferrite–martensite microstructures, which can not be reproduced at an industrial level [32]. These results indicate that apart from thermal treatments, chemical composition also plays an important role in the development of particular microstructures and properties.
All the above-mentioned works have reported the used of software for a better understanding of microstructural changes and properties of a specific steel grade. However, since small changes in the concentration of the alloying elements can cause significant changes in the phase transformations kinetics and in the resulting properties, investigating the effects of chemical composition becomes of great importance.
Multiple regression has been widely employed in the steel and cast-iron industry, for instance, to predict the mechanical behavior of hot-rolled, low carbon steels as a function of the concentration of alloying elements and rolling conditions [33]; to predict fatigue strength in structural steels based on variations in the chemical composition and processing parameters [34]; to predict the mechanical behavior of cast-iron rolls by variations in the chemical composition [35]; to predict yield ratio and uniform elongation in high-strength bainitic steels as a function of microstructural characteristics [36]; and to predict the yield strength of different steel rebars with different chemical composition and thermomechanical variables [37]. Chemical compositions of the steels rebars were characterized as having low contents of C, Mn, Si and Al. These works show that statistical methods can be used as potential tools for the prediction of mechanical properties when variations in chemical compositions are involved.
Advanced high-strength steels with high amounts of Mn, Al or Si have recently been obtained which favor carbon enrichment, avoid cementite formation, and thus favor retention of austenite at room temperature [38,39,40,41,42]. Unfortunately, these elements have a detrimental effect on steel weldability and galvanizing capability [16,17,18,24,43]. For this reason, there is an increasing interest to develop low-alloyed TRIP-AHSS under similar conditions to those used in a CAG process [37,44,45,46,47,48,49,50,51].
It has been recently reported that CCT diagrams constructed from intercritical temperatures are practically unavailable in the open literature [32]. Most CCT diagrams in steels have been constructed from temperatures where austenite is the stable phase (full austenitization) [32], which does not allow a precise estimation of the microstructures resulting from processing routes like the ones used to fabricate multiphase high-strength TRIP steels. In addition, as far as the authors’ knowledge, the use of multiple linear regression combined with computer simulations of the behavior of intercritical CCT diagrams calculated as a function of the concentration of the alloying elements has not been reported, which could represent a potential tool to propose new chemistries that allow the development of third generation TRIP steels.
This work presents a novel methodology to obtain third generation low-alloyed TRIP-AHSS under thermal cycles similar than those used in a CAG process. Mechanical properties were predicted by a multiple linear regression (MLR) model obtained from data reported in the literature for AHSS-TRIP steels (with a wide range in the concentration of alloying elements). The mechanical properties reported for a specific steel grade, and the mechanical properties reported for different processing conditions, but for the same chemical composition, were considered to obtain the mathematical model.
The behavior of intercritical CCT diagrams and mechanical properties were monitored for each modification. This methodology allowed us to propose a chemical composition to obtain advanced high-strength TRIP steels under conditions similar than those used in a CAG process. Theoretical and experimental results were compared to evaluate the capability of the proposed methodology to obtain reproducible results.

2. Materials and Methods

2.1. Computational Study to Evaluate the Behavior of Intercritical CCT Diagrams as a Function of the Concentration of the Alloying Elements

The combined effects of alloying elements (C, Ni, Mn, Mo, Al, Cr, Si, P, Nb, Cu, Ti and S) on the behavior of the pearlite, ferrite, martensite and bainite were followed through the variations of the intercritical CCT diagrams calculated with the software JMatPro. Diagrams were obtained at a temperature required to produce 50% ferrite (α) + 50% austenite (γ), the proportion of phases expected in the annealing process to optimize the strength to ductility ratio in TRIP steels [52,53].
A commercial steel with 0.12 wt.% C, 0.75 wt.% Mn, 0.26 wt.% Si, 0.23 wt.% Cu, 0.090 wt.% Cr, 0.080 wt.% Ni, 0.013 wt.% Mo, 0.003 wt.% Al, 0.011 wt.% P and 0.005 wt.%S (determined by optical emission spectroscopy), was used as the raw material since in this steel, the amount of the alloying elements to be investigated was low. This allowed for the adjustment of the chemical composition to modify both the kinetics of phase transformations and the mechanical properties. The carbon content was adjusted to 0.16 wt.% to reduce the negative effect of this element on weldability; manganese and nickel were employed to promote austenite stabilization at room temperature; silicon and aluminum were used to suppress the precipitation of cementite during the isothermal bainitic treatment (IBT); niobium and copper were used to promote the precipitation strengthening effect and molybdenum was added to favor both precipitation and solution hardening.
Changes in the steel chemistry were made to adjust the critical transformation temperatures Ac1 (temperature from which austenite is formed) and Ac3 (temperature from which the stable phase is austenite) as well as the Ms (temperature from which martensite is formed) and Mf (ending temperature for the austenite to martensite transformation), to produce low-alloyed advanced high-strength TRIP steels by thermal cycles simulating CAG processes. Changes in chemistry were also conducted to modify the mechanical properties sought out to obtain third generation steels.

2.2. Prediction of Mechanical Properties as a Function of the Concentration of the Alloying Elements Using Multiple Linear Regression

A multiple linear regression model was obtained from data of alloying elements and mechanical properties reported in the literature for first, second and third generation AHSS (Table 1). The indirect effects of processing parameters, mechanical properties reported for a specific steel grade and the mechanical properties reported for different processing conditions, but the same chemical composition, were considered to generate the mathematical model.
The model was obtained with the program Minitab 18, using the independent variables (concentrations of alloying elements) to explain the behavior of the dependent variables (mechanical properties).
Equation (1) shows a multiple linear regression model [54]:
yi = bo + b1 · x1i + b2 · x2i+ … bk · xki
where ( b o ,   b 1 b k ) are the estimations of coefficients of the multiple linear regression model, ( x 1 i , x 2 i x ki ) are the independent variables and y i is the dependent variable. The independent variables were the concentrations of C, Mn, Si, Al, P, Cr, Nb, Ni, Cu, Mo, Ti and S, and the dependent variables were ultimate tensile strength and elongation to fracture. To evaluate the reliability of the model, the behavior of the residuals or errors obtained from the multiple linear regression is analyzed, in addition to the coefficient of determination, R2, which determines the quality of the model in replicating results and the variation in the response that can be explained by the model.

2.3. Experimental Work Conducted for Validation: Fabrication, Processing and Characterization

Fabrication of steel consisted of vacuum fusion and casting in metal ingot molds. The composition considered to fabricate the steel was selected considering both the results of the computational study and the results of the linear regression model aiming to obtain third generation multiphase TRIP steels by thermal cycles similar than those used in a CAG process. Ingots with dimensions of 9.3 cm width ✕ 6.8 cm length ✕ 2.54 cm height were subjected to homogenization at 960 °C for 1 h. Homogenized ingots were processed by hot rolling at 1100 °C to obtain hot-rolled steel strips of 2.3 mm thickness. Hot-rolled samples were pickled and cold-rolled to obtain thin steel sheets of 1.2 mm thickness. Cold-rolled samples were subjected to a final heat treatment simulating the conditions of a CAG process to obtain the desirable phases expected in TRIP steel: ferrite, bainite and retained austenite.
Thermal cycles were conducted in a LINSEIS L78 quenching dilatometer, which allowed the determination of the critical temperatures Ac1, Ac3 and Ms, Mf, on heating and cooling, respectively.
Figure 1 shows a schematic diagram of a CAG line indicating the parameters used in the present work to obtain TRIP steels, which were set considering the analysis of phase transformations and the behavior of the CCT diagrams. Thermal treatment was proposed, aiming to conduct the: (i) annealing stage at temperatures in the two phases field region (Ac1 < T < Ac3) and the (ii) isothermal bainitic treatment (IBT) at temperatures above the start temperature for martensite (T > Ms). According to Figure 1, TRIP steels constituted of bainite, ferrite and austenite were expected. The melting point of zinc is about 420 °C, therefore, the industrial galvanizing process is usually conducted above this temperature.
Cold-rolled and heat-treated samples were prepared by conventional metallographic techniques including grinding and polishing. The microstructure was revealed by chemical etching using 2% Nital and LePera reactant. Microscopical observation by optical microscopy was made in an Olympus GX51 inverted metallurgical microscope, while observations by scanning electron microscopy were made in a PHILIPS XL30 microscope.
Mechanical properties were determined from engineering stress vs deformation curves obtained by uniaxial tensile tests conducted according to ASTM E-8.
The concentration of carbon and sulfur in the experimental steel was determined in a simultaneous carbon/sulfur LECO CS230 analyzer by infrared absorption spectroscopy based on ASTM E-1019. The concentration of other elements was determined by optical emission spectrometry using a SPECTROLAB M11 spectrometer based on the procedures of standard ASTM E-415.

3. Results

3.1. CCT Diagrams Behavior as a Function of Chemistry

The behavior of continuous cooling transformation (CCT) diagrams calculated from intercritical temperatures as a function of the concentration of alloying elements is shown in Figure 2. The diagram of Figure 2a was calculated using the chemical composition of the raw material. As can be seen, the diagram shows the pearlite and ferrite curves at the left part. As mentioned above, these diagrams were calculated at a temperature required to form 50% ferrite + 50% austenite, which means at a temperature within the intercritical region.
Therefore, transformations observed during cooling correspond to the transformation of intercritical austenite. In this way, microstructures formed after thermal cycles can have intercritical ferrite (~50%), proeutectoid ferrite, bainite and/or martensite depending on the cooling rate [32].
To calculate the diagram of Figure 2b, the content of Cu, Al, Si and Mo in the starting material (0.23 wt.%, 0.003 wt.%, 0.26 wt.% and 0.013 wt.%) was increased to 0.50 wt.%, 0.03 wt.%, 0.50 wt.% and 0.10 wt.%, respectively. As can be seen, temperatures A1 and A3 slightly increased from 712 °C and 835 °C to 714 °C and 846 °C, respectively. Transformation curves of ferrite, pearlite and bainite as well as the martensitic transformation temperatures do not show a significant change compared to the diagram of the raw material (compare Figure 2a with Figure 2b).
The diagram of Figure 2c was calculated by maintaining constant concentrations of the contents of Cu, Al, Si and Mo (0.50 wt.%, 0.03 wt.%, 0.50 wt.% and 0.10 wt.%), but the contents of C and Mn were increased from 0.12 wt.% and 0.75 wt.% (raw material) to 0.3 wt.% and 2.5 wt.%, respectively. In this case, A1 and A3 decreased to 694.3 °C and 761.2 °C, respectively. The diagram shows a shift of the transformation curves of ferrite, pearlite and bainite to the right. The transformation curves of bainite and martensitic temperature are present at lower temperatures.
Subsequent changes include the adjustment of Ni and Cu to 1.5 wt.%, and an increase in Mo and Si contents from 0.1 wt.% to 0.3 wt.%, and 0.5 wt.% to 1.5 wt.%, respectively. As shown in Figure 2d, this modification causes a contraction of the intercritical range and displacement of the pearlite and bainite transformation to the right of the diagram and at lower temperatures. The transformation from austenite to proeutectoid ferrite is practically avoided for the cooling rates shown in the diagrams, and martensitic temperatures decrease. The use of Ni and Cu is not particularly crucial for third generation AHSS. Raising their content has a direct impact on the cost of steel.
Typical temperatures for annealing during a CAG process range from 800 to 875 °C depending on steel thickness and galvanizing is usually conducted between 450 and 475 °C. Therefore, to obtain TRIP steels in a CAG process it is necessary to have the presence of ferrite and austenite during annealing, and promote the austenite to bainite transformation at temperatures similar to those used in the galvanizing stage. Additional changes in chemical composition were then conducted to move the bainite transformation curve to the left of the diagram and to open the intercritical range. To this end, 0.15 wt.% Nb was added, and the amount of some elements was reduced: Al (0.03 wt.% to 0.003 wt.%), Cu (1.5 wt.% to 1.0 wt.%), Mn (2.5 wt.% to 1.75 wt.%), Mo (0.3 wt.% to 0.2 wt.%), Ni (1.5 wt.% to 1.0 wt.%) and C (0.3 wt.% to 0.1 wt.%). As observed in Figure 2e, the intercritical range is considerably wider, the pearlite and bainite transformation curves are moved to the left of the diagram (shorter times) and the martensitic transformation temperatures are increased.
Finally, the Ni content was reduced from 1.0 wt.% to 0.08 wt.%, Al was increased from 0.003 to 0.3 wt.% and the C content was decreased from 0.2 to 0.16 wt.%. This modification allows us to obtain the CCT diagram of Figure 2f, proposing the following chemical composition for the experimental steel: C: 0.16 wt.%, Mn: 2.0 wt.%, Si: 1.0 wt.%, Al: 0.30 wt.%, Mo: 0.25 wt.%, Ni: 0.08 wt.%, Cu: 0.23 wt.%, Nb: 0.15 wt.%, Cr: 0.09 wt.%, P: 0.01 wt.% and S: 0.005 wt.%. The CCT diagram obtained with this composition suggests the possibility to simultaneously obtain ferrite and austenite during Stage I (intercritical treatment), avoid the pearlite and ferrite transformations when cooling from Stage I to Stage II, and facilitates the bainite transformation during Stage II (Figure 1).
Additions of Cu (austenite former), Al, Mo and Si (ferrite formers, ferrite stabilizers) to the raw material cause a slight increase in the A1 and A3 temperatures. This effect is attributed to the effect of Al, Mo and Si, which stabilize the ferrite phase and retard the ferrite to austenite phase transformation upon heating, shifting the transformation temperatures to higher values [70]. The region between the ferrite and bainite transformation curves upon cooling also increases slightly due to the addition of the alphagene elements (compare Figure 2a with Figure 2b).
With increments in the C (austenite former) and Mn concentrations (austenite former, austenite stabilizers), the transformation temperatures A1 and A3 decrease, and the intercritical range is cut short to ΔT = 66 °C (Figure 2c). This behavior is associated with the stabilization of austenite, which in turn shortens the intercritical range [71]. Similar behavior to the one observed in the Fe-C metastable equilibrium diagram, the length of the intercritical region for carbon contents above 0.02 wt.% is reduced, up to it practically disappears for carbon contents of about 0.8 wt.%. Increasing the amount of Cu (austenite former), Mo and Si (ferrite formers and ferrite stabilizers), shortens the intercritical range even more to ΔT = 49.2 °C (Figure 2d), which suggests that the combined effects of C, Mn and Cu predominate over the effects of Mo and Si. The contents of Al, Cu, Mn, Mo, Ni and C were reduced to open the intercritical range, reducing the extension of the martensite transformation temperature, and shifting the bainite transformation curve to the left of the diagram (Figure 2e). Finally, to adapt the transformation temperatures to conditions that could be reproducible at the industrial level, the contents of Ni and C were reduced, while that of Al was increased to produce the CCT diagram shown in Figure 2f.
The main conclusion that can be drawn from the computer simulation is that the behavior of CCT diagrams is influenced not only by the presence of alloying elements and their relative amounts, but also by how they interact with one another. Variations in the Vickers hardness (HV) are also related to the phases resulting after cooling and to solution hardening caused by the alloying elements.
Furthermore, it can be observed from this study that cooling rate and chemical composition have an influence in the resulting microstructures and hardness. The effect of chemical composition for constant cooling conditions can be analyzed from the CCT diagrams of Figure 2e,f. Keeping in mind that the calculated CCT diagrams show the decomposition of intercritical austenite, it is observed that for a cooling rate of 100 °C/s (first main cooling curve from left to right in the diagram), austenite decomposes to martensite in both steels, however, hardness produced from the austenite to martensite phase transformation varies from 374 HV (Figure 2e) to 534 HV (Figure 2f). When decomposition of austenite in both steels promotes the formation of bainite and martensite on continuous cooling, i.e., when the cooling is conducted at 10 °C/s (second main cooling curve from left to right in the diagram), the hardness calculated by the transformation of austenite is about 373 HV and 526 HV (Figure 2e,f, respectively). These results reflect the importance of alloying elements on hardness.
The cooling conditions have also an influence in the resulting microstructure and hardness for a given composition. For instance, for the chemical composition employed to calculate the diagram of Figure 2f, the hardness calculated for cooling rates of 100 °C/s, 10 °C/s, 1 °C/s, 0.1 °C/s and 0.01 °C/s (main cooling curves from left to right in the diagram) was 534 HV, 526 HV, 354 HV, 247 HV and 220 HV, respectively. The variation of this property is related to the resulting microstructures: martensite, bainite + martensite, pearlite + bainite, pearlite and ferrite + pearlite, respectively. For this reason, for the development of new AHSS grades, it is necessary to consider both thermal treatment conditions and chemical composition.
Due to the importance of chemical composition on the kinetics of phase transformations and properties, some authors determined the continuous cooling transformation (CCT) diagrams for eight Cr-Mo steels [72]. These steels are used for the manufacture of automotive parts such as differential and transmission gears, transmission shafts, steering-knuckle pins, rear-axle shafts, steering-knuckles, and the like. Steels had two levels of C (0.07 wt.% and 0.17 wt.%), Mn (0.35 wt.% and 0.85 wt.%), Cr (1.5 wt.% and 2.8 wt.%) and Mn (0.3 wt.% and 1.27 wt.%). Steels were thermally treated in a quenching dilatometer at cooling rates varying between 725 °C/min and 1.2 °C/min. Changes in length, hardness and microstructure were determined in each sample. Results showed that chemical composition is just as important as cooling conditions for producing the required microstructure and improving the mechanical properties.
The highest hardness values were obtained for a steel with 0.17 wt.% C, 0.85 wt.% Mn, 2.78 wt.% Cr, 1.27 wt.% Mo, 0.24 wt.% Si and 0.009 wt.% P. After continuous cooling, the hardness values for the microstructures of martensite, martensite + bainite, bainite and bainite + ferrite + pearlite were 407 HV, 398–378 HV, 370 HV and 370–369 HV, respectively. The transformation temperatures were Ac1 = 785 °C, Ac3 = 868 °C and a Bs of about 500 °C [72]. Martensite was obtained when cooling was conducted at rates between 692 °C/min and 30.5 °C/min. The transformation curve of ferrite was observed at the right of the CCT diagram for cooling rates between 3.02 and 1.22 °C/min. In contrast, the lowest hardness values (233–195 HV in the presence of bainite + ferrite; 144–105 HV in presence of bainite + pearlite + ferrite) were obtained for the steel containing 0.071 wt.% C, 0.37 wt.% Mn, 1.53 wt.% Cr, 0.63 wt.% Mo, 0.26 wt.% Si and 0.009 wt.% P. Transformation temperatures were Ac1 = 775 °C, Ac3 = 924 °C and Bs around 600–550 °C. In this case, the transformation curve of ferrite was observed from left to right in the diagram and transformation of martensite was not promoted [72].
The higher contents of carbon, manganese, chromium and molybdenum contribute to the increase in hardness [72]. This behavior is similar to the one observed in the present investigation where the highest hardness was observed in simulations with higher contents of carbon and manganese (Figure 2c). The decrease in C and Mn (gamma gene elements) move the ferrite transformation curve to the left of the diagram leading to lower hardness values [72]. Similar behavior is observed in the present work for lower concentrations of C and Mn (compare Figure 2c with Figure 2b). Decreasing the amount of Mo also contributes to the reduction in hardness [72], as can be also seen by comparing Figure 2c with Figure 2b.
The variation in the Ac1 and Ac3 transformation temperatures indicates that the intercritical range opens when the contents of Mn and C are lower [72], this behavior is similar to the one observed in the present research (compare Figure 2a,b with Figure 2c,d).
Although the determination of CCT diagrams by dilatometry is more precise than computer simulations, the time and cost associated with the application of thermal treatments, preparation and characterization of samples and evaluation of mechanical properties are significantly higher.
The results of the present work show that computer simulations can be used as a potential tool to investigate, at first instance, the influence of the concentration of the alloying elements and cooling conditions on the resulting microstructure and hardness. Hardness can be related to mechanical strength, but not with elongation to fracture; this represents the main disadvantage of using just CCT diagrams for the development of AHSS. In this context, multiple linear regression analysis can be complementary to predict the ultimate tensile strength-to-elongation to fracture ratio as a function of the concentration of the alloying elements, which in addition to the behavior of CCT diagrams can help to develop advanced high-strength TRIP steels by using thermal cycles similar than those of a CAG process.

3.2. Prediction of Mechanical Properties

As mentioned above, to obtain the mathematical model by multiple linear regression, the indirect effects of processing parameters were considered including both the mechanical properties reported for a specific steel grade, and the mechanical properties reported for different processing conditions, but for the same chemical composition.
Figure 3 shows residual plots for elongation to fracture (Ef), four in one, obtained from the multiple linear regression. They are presented for detecting non-random variation, non-normality, non-constant variance and outliers of the data. As can be seen, the residuals exhibit an approximately straight line in the plot of normal probability (Figure 3a), and the histogram shows an approximate symmetric nature (Figure 3c) indicating a normal distribution of residuals. Residuals are scattered randomly in the plot of residuals versus the fitted values and the vertical width of the scatter does not appear to increase or decrease across the fitted values, so we can assume a constant variance in the error terms (Figure 3b). Residuals do not show a clear pattern in the residual versus order plot, which indicates that there is no undesirable effect (Figure 3d). The normal probability plot, histogram plot, residuals versus the fitted values and residual versus observation order plot do not exhibit any abnormal behavior of the residuals.
Figure 4 shows residual plots for ultimate tensile strength (UTS), four in one, obtained from the MLR. The behavior of the residuals is similar to the one observed for elongation to fracture. The normal probability plot shows an approximately straight line (Figure 4a), with the approximate symmetric nature of the histogram (Figure 4c) indicating a normal distribution of the residuals. The residuals are scattered randomly around zero, which allow us to assume a constant variance (Figure 4b). A clear pattern is not observed for residuals in the residual versus order plot, suggesting that there is no undesirable effect (Figure 4d). The normal distribution of residuals in the normal probability plot, histogram plot, residuals versus the fitted values and residual versus observation order plot is one condition that must be met in the multiple linear regression model.
The general MLR models proposed to predict the elongation to fracture (Ef) and ultimate tensile strength (UTS) can be written as Equations (2) and (3), respectively:
Ef = 34.51 + 4.41C − 0.25Mn + 1.49Si + 0.11Al − 207.23P − 7.57Cr − 47.52Nb + 9.61Ni − 27.27Cu + 9.07Mo − 134.21Ti + 448.80S − 41.45V − 272.00N
UTS = 625.87 + 320.74C + 41.35Mn + 7.73Si + 18.10Al + 229.60P − 53.00Cr + 978.50Nb + 185.54Ni + 83.62Cu + 210.10Mo + 3498.30Ti − 1693S + 11.00V + 4488N
The coefficient of determination obtained from the multiple regression was R2 = 0.84 and R2 = 0.94, for Ef and UTS, respectively. Furthermore, the mechanical properties calculated from these equations with the chemical composition employed to obtain the CCT diagram of Figure 2f were Ef = 25% and UTS = 995 MPa, properties that can classify the steel within the third generation AHSS.
MLR analysis has been employed widely in the cast-iron and steel industry to predict certain physical and mechanical properties especially when several processing variables are involved. This method has been used with success in hot-rolled low carbon steel strips to predict their properties [33], components for structural applications [34], cast-iron rolls [35], high-strength bainitic steels for pipeline applications [36] and steel rebars [37]. The most common variables used in those works were chemical composition and processing variables [33,34,35,37], and microstructural characteristics [36]. The use of MLR has been scarcely investigated to predict the mechanical properties of thin steel sheets of advanced high-strength TRIP steels.
The work reported in Ref. [37] is of special interest since statistical methods were employed for the prediction of the mechanical properties of several low carbon steels. Compositions selected in that work to predict the mechanical properties were selected for steel rebars rather than for plain steel sheet products. The work does not consider the use of CCT diagrams, which makes it difficult to propose processing routes to produce the required microstructures and mechanical properties for desirable chemical composition. In addition, yield strength was the only property predicted, but equations for UTS or Ef to fracture were not reported [37].
The coefficient of determination obtained in the present work from the multiple regression was R2 = 0.84 and R2 = 0.94, for Ef and UTS, respectively. The lower value in the coefficient of determination obtained for elongation to fracture suggests that this property is more sensitive to changes in the microstructural characteristics of the steels investigated, which were not considered in the present work to obtain the equations. It is important to mention that, although this method can be used at first along with intercritical CCT diagrams to propose chemical compositions for developing AHSS by thermal cycles simulating a CAG process, it becomes necessary to consider the microstructural aspects in future works to obtain more reliable results.

3.3. Microstructural Characteristics and Mechanical Properties of Experimental Steel

To validate the results obtained by the analysis of CCT diagrams and MLR, the experimental steel was obtained at a laboratory scale. The chemical composition considered to fabricate the steel was that needed to obtain the diagram shown in Figure 2f, which according to MLR, could lead to the following mechanical properties: Ef = 25% and UTS = 995 MPa. The chemical composition obtained after fusion and casting was C: 0.14%, Mn: 1.9%, Si: 1.1%, Al: 0.31%, Mo: 0.20%, Ni: 0.06%, Cu: 0.21%, Nb: 0.12%, Cr: 0.06%, P:0.011% and S: 0.004% (all in wt.%), which shows minor variations in the alloying elements compared to the composition proposed.
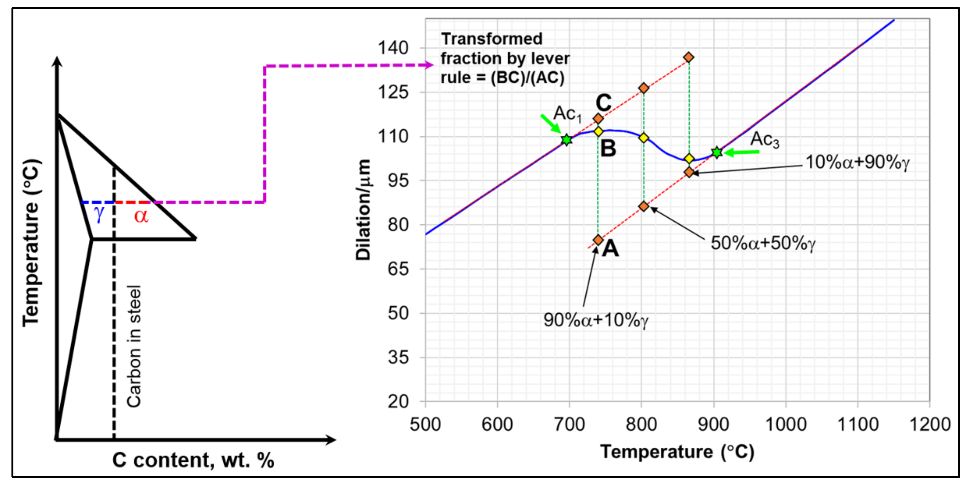
Figure 5 shows the transformed fraction of austenite with continuous heating determined by dilatometry and the lever rule. As can be seen, as the temperature of steel increases above Ac1, the amount of ferrite (α) decreases, and the amount of austenite (γ) increases up to Ac3. Austenite is stable above Ac3, which is characterized by a linear behavior between dilation and temperature. Within the two phases (ferrite + austenite) field, the variation of the BC/AC ratio is related to the transformed fraction of austenite. The temperature needed to obtain 50% α + 50% γ with continuous heating is about 805 °C, which is similar than that calculated by JMatPro to obtain the same proportion of phases (Figure 2f).
The transformation temperatures calculated by the software JMatPro for the chemical composition proposed were A1 = 714.4 °C and A3 = 891.8 °C (Figure 2f). The critical transformation temperatures determined with continuous heating for the experimental steel were about Ac1 = 696 °C and Ac3 = 903 °C (Figure 5), which means a variation of 18.4 °C and 11.2 °C, respectively. These differences can be associated with the variations between the proposed chemical composition and the composition obtained in the experimental steel after fusion and casting. These results suggest that calculations by JMatPro can provide a good approximation of the transformation temperatures in low-alloyed steels.
Other authors have reported a comparative study between the transformation temperatures calculated by JMatPro and the ones obtained by dilatometry in three different spring steel grades [73]. It was concluded that empirical heat treatment data are helpful for guidance; however, for optimisation purposes, the exact parameters are a requirement.
In the present work, intercritical annealing was conducted at 800 °C based on the results of Figure 2f and Figure 5. Isothermal bainitic treatment (IBT) was conducted at 450 °C considering that this temperature is similar to the one used in a CAG process. Figure 6a–c show temperature vs time plots obtained experimentally for times of IBT of 30 s and 120 s, respectively. The corresponding dilation curves are presented in Figure 6b–d.
Samples with IBT = 30 s show a first change in the dilation curve during annealing at 800 °C, which relates to the ferrite to austenite transformation (Figure 6b). During IBT, there is another change in the dilation curve, which relates to the austenite-to-bainite phase transformation. Furthermore, an additional change is observed in the final cooling, which corresponds to the austenite-to-martensite phase transformation. All these observations are supported by the CCT diagram of Figure 2f and the results of Figure 5. As can be seen in Figure 6d, samples with IBT = 120 s also exhibit three changes, which are associated with the ferrite-to-austenite, austenite-to-bainite and austenite-to-martensite phase transformations. However, the latter change is more significant than in samples with IBT = 30 s. The results suggest that the lower amount of bainite, for shorter IBT times, causes carbon enrichment in austenite favoring its retention at room temperature (Figure 6b). For larger IBT times, the amount of bainite is higher and it is accompanied with the precipitation of carbides; therefore, carbon in austenite is reduced causing the transformation of austenite to martensite (Figure 6d).
Some authors investigated the evolution of phase transformations in cold-rolled steel sheets (2.47% Mn, 1.51% Si and 0.22% C) with a thickness of 1.2 mm (similar to the steel thickness used in the present work) [74]. Steel samples were thermally treated by dilatometry and phase transformation was followed by the changes in the dilation curve. Austenitization was conducted at 900 °C (1 min), followed by quenching at 100 °C/s to 350 °C, 375 °C and 400 °C. Holding time at these temperatures was varied from 1000 s to 3600 s, followed by a second rapid cooling to room temperature conducted at 100 °C/s [74]. The results show two changes in the slop of the dilation curve. The first change was associated with the austenite formation and the second was related to the austenite to bainite phase transformation [74]. No further transformation was observed during the final cooling. The absence of a third transformation during the second quenching was attributed to the completion of the austenite to bainite phase transformation even after 1000 s.
The temperatures used to follow the evolution of bainite were equal or lower than 400 °C [74], meaning that the bainite transformation in such work was promoted at temperatures even lower than the melting point of zinc (about 420 °C). Galvanizing of steel is usually conducted at temperatures equal to or higher than 450 °C and thus, to obtain multiphase steels under similar conditions, the bainite should be promoted at temperatures near 450 °C.
The results of the present work give evidence of the austenite to bainite phase transformation at 450 °C (expansion in the dilation curve during IBT, Figure 6b–d). A third change is also observed during the final cooling to room temperature even when samples were cooled down at a slow cooling rate (2 °C/s). The transformation of austenite to martensite observed during cooling is more significant in samples with 120 s of IBT. It has been reported that the unstable austenite may transform to martensite during final cooling if carbon enrichment in austenite is not sufficient [75]. It appears then that carbon depletion by formation of carbides, is more significant for larger IBT times, leading to a more significant change during final cooling.
The third dilation change observed in Figure 6 is consistent with the lower IBT times (30 s and 120 s), in the case of the work reported in [74], there is no austenite available after 1000 s and 3600 s of IBT, and thus no further transformation can occur even if a rapid cooling rate (100 °C/s) is used.
Microstructures resulting from thermal cycles are present in Figure 7. Figure 7a–c show images obtained by optical microscopy (OM), while Figure 7b–d show images obtained by scanning electron microscopy (SEM). Ferrite (α), bainite (αB) and retained austenite/martensite (γ/α’) are colored in gray, brown and white, respectively, when they are observed by OM (Figure 7a–c). Their morphology is observed in Figure 7b–d, which shows a dark gray phase (ferrite), light gray + white (bainite) and white (austenite/martensite) as indicated by the yellow, green and blue arrows, respectively.
It is important to mention that both austenite and martensite acquire the same color (white) when etching with LePera reagent, however, considering the results of Figure 6b–d, it is possible to conclude that aggregates of these phases are mainly constituted by austenite in samples with IBT = 30 s, and by martensite in samples with IBT = 120 s.
According to the CCT diagram of Figure 2f, ferrite and austenite can be obtained during heating of steel at 800 °C, and bainite can be formed during IBT at 450 °C. These results are consistent with the changes in the dilation curve and with the resulting microstructure (Figure 6 and Figure 7, respectively).
Other authors have designed the microstructure of low-alloyed multi-phase TRIP steels combining computer simulations with experimental data [76], reporting similar morphologies to the ones obtained in the present work. Thermodynamics and kinetics calculations were employed to obtain a useful methodology to predict maximum ferrite and retained austenite fractions by a two-stage thermal cycle consisting of an intercritical annealing and subsequent isothermal bainitic treatment. Processing of steel used for the validation stage was done by equal channel angular pressing (ECAP). ECAP methods are very effective in deforming metals in the severe plastic deformation range, but so far it does not seem easy to make them industrially viable [77].
In the present work, the chemical composition was designed to develop multi-phase low-alloy TRIP steels based on intercritical CCT diagrams and analysis by MLR, considering the possibility of obtaining these steels by thermal cycles simulating CAG lines, which offers an advantage over the proposed methodology reported in [76].
Figure 8 shows the stress vs strain curves of cold-rolled and heat-treated samples subjected to thermal cycles shown in Figure 6a,c. As can be observed, cold-rolled samples have the highest UTS values and the lowest values of elongation to fracture (Ef). After thermal treatment, a significant reduction in UTS and an increase in Ef are observed. UTS of cold-rolled samples was about 1655 MPa with an Ef lower than 5% (average obtained from two tests). In the case of thermally treated samples, strength decreases with a significant increase in Ef. Samples subjected to an IBT of 30 s show UTS values of about 1020 MPa and Ef around 25.3%. Increasing the time of IBT to 120 s causes an increase in the average UTS value to 1080 MPa and a reduction in the average Ef to 21.5%. According to the results of Figure 6 and Figure 7, the thermal treatment causes the formation of multiphase structures consisting mainly of ferrite phase + bainite microconstituent + austenite/martensite islands or a mixture of ferrite phase + bainite microconstituent + martensite/austenite islands with an IBT time of 30 s and 120 s, respectively. This result suggests that the amount of martensite favors the increment in strength and the reduction in elongation to fracture.
Table 2 shows a comparison between the mechanical properties obtained by the multiple linear regression model (Equations (2) and (3)), and the ones obtained experimentally in thermally treated samples. The percentage error is also included; as can be seen, the proposed model can be satisfactorily used for the prediction of ultimate tensile strength, which is consistent with the coefficient of determination obtained for this property (R2 = 0.94); the percentage error for this property is less than 8%. Elongation to fracture shows a higher percentage error (less than 17%), which is consistent with the lower coefficient of determination (R2 = 0.84). These results suggest that elongation to fracture is more sensitive to microstructural changes (grain size, type, amount, morphology of second phases), which were not considered to obtain the model.
The mechanical properties of the AHSS−TRIP steels predicted by the proposed equations exhibit a better approach to real values when typical microconstituents are obtained (ferrite, bainite, austenite). This observation is supported by the lower relative errors observed in the presence of ferrite + bainite + retained austenite/martensite in samples subjected to times of IBT = 30 s. When carbide precipitation is more significant (IBT = 120 s), unstable austenite transforms to martensite as observed in Figure 6d, leading to a microstructure consisting mainly of ferrite + bainite + martensite/austenite, which leads to higher relative error (Table 2).

4. Conclusions

  • The use of intercritical CCT diagrams and the proposed multiple linear regression model, both obtained as a function of the concentration of the alloying elements, provide an approach for the prediction of both microstructures and mechanical properties of low-alloyed AHSS−TRIP steels of the third generation.
  • Theoretical study of phase transformations from CCT diagrams shows a good approximation with the results obtained by dilatometry.
  • Percentage error for ultimate tensile strength varies from 2.45% to 7.87%, while the one of elongation to fracture varies from 1.18% to 16.27%, which suggests that the latter is more sensitive to microstructural changes that were not considered to obtain the model.
  • The methodology presented in this investigation represents a potential tool for the development of low-alloyed advanced high-strength steels obtained under conditions that simulate continuous annealing and galvanizing lines.

Author Contributions

Conceptualization and funding acquisition, E.J.G.C.; software, A.A.T.C.; validation, L.H.H. and R.D.L.; formal analysis, A.S.R., A.B.J. and R.M.S.; investigation, B.Y.N.P. and L.A.E.Z.; writing—original draft preparation, R.S.G.; writing—review and editing, J.A.C.; supervision, I.A.R.D. and C.G.G.R. All authors have read and agreed to the published version of the manuscript.

Funding

This research was funded by “SEP-CONACYT, grant number CB-A1-S-35877” and “The APC was funded by the Autonomous University of San Luis Potosi (UASLP) through current funds (C19-FRC-08-10.10)”.

Acknowledgments

E. Gutiérrez, I. Reyes and J. Aguilar thank Conacyt for the Cátedra assigned at the Institute of Metallurgy of the Autonomous University of San Luis Potosi. The technical assistance of Rosa Tovar Tovar, Claudia Hernández Galván, Nubia Arteaga Larios and Izanami López Acosta (UASLP), Felipe Marquez Torres and Francisco Botello Rionda (CINVESTAV) is appreciated and recognized.

Conflicts of Interest

The authors declare no conflict of interest.

References

  1. Sharma, A. Engineering Steels and High Entropy-Alloys; IntechOpen: London, UK, 2020; p. 22. [Google Scholar] [CrossRef]
  2. Tisza, M.; Czinege, I. Comparative study of the application of steels and aluminium in lightweight production of automotive parts. Int. J. Lightweight Mater. Manuf. 2018, 1, 229–238. [Google Scholar] [CrossRef]
  3. Bachman, K. Lightweighting Still Dominates Great Designs in Steel; FMA The Fabricator. 2018. Available online: https://www.thefabricator.com/stampingjournal/article/stamping/lightweighting-still-dominates-great-designs-in-steel-seminar (accessed on 10 October 2021).
  4. Hertwich, E.G.; Ali, S.; Ciacci, L.; Fishman, T.; Heeren, N.; Masanet, E.; Asghari, F.N.; Olivetti, E.; Pauliuk, S.; Tu, Q.; et al. Material efficiency strategies to reducing greenhouse gas emissions associated with buildings, vehicles, and electronics—A review. Environ. Res. Lett. 2019, 14, 043004. [Google Scholar] [CrossRef] [Green Version]
  5. Liu, B.; Dai, Y.; Huang, X.; Wang, Y. Development of the third generation advanced high strength steel for automobile. J. Adv. Eng. Res. 2018, 163, 1199–1202. [Google Scholar] [CrossRef] [Green Version]
  6. Samodajev, N. Advanced High Strength Steel (AHSS) for Stronger, Lighter and Safer Cars. 2019. Available online: https://matmatch.com/blog/advanced-high-strength-steel-stronger-lighter-safer-cars/ (accessed on 10 September 2021).
  7. Barrado, F.; Zhou, T.; Overby, D.; Badgley, P.; Martin-Root, C.; Zhang, S.; Zhang, R. Development of advanced high-strength steels for automobile applications. In The Minerals, Metals & Materials Series, Proceedings of the TMS 2019 148th Annual Meeting & Exhibition Supplemental Proceedings, Pittsburgh, PA, USA; Springer International Publishing: Pittsburgh, PA, USA, 2019; pp. 519–527. [Google Scholar] [CrossRef]
  8. Tisza, M. Three Generations of Advanced High Strength Steels in the Automotive Industry. In Vehicle and Automotive Engineering 3; Jármai, K., Voith, K., Eds.; Lecture Notes in Mechanical Engineering; Springer: Singapore, 2021; pp. 81–95. [Google Scholar] [CrossRef]
  9. Li, N.; Kingkam, W.; Bao, Z.; Han, R.; Huang, Y.; Zhang, H.; Zhao, C. Effect of Alloying Elements on Mechanical Properties of High-Strength Low-Alloy Steel. Mater. Sci. Forum 2020, 1007, 41–46. [Google Scholar] [CrossRef]
  10. Oliver, S.; Jones, T.B.; Fourlaris, G. Dual phase versus TRIP strip steels: Comparison of dynamic properties for automotive crash performance. Mater. Sci. Technol. 2007, 23, 423–431. [Google Scholar] [CrossRef]
  11. Mohrbacher, H. Martensitic Automotive Steel Sheet-Fundamentals and Metallurgical Optimization Strategies. Adv. Mater. Res. 2014, 1063, 130–142. [Google Scholar] [CrossRef]
  12. de Cooman, B.C. High Mn TWIP steel and medium Mn steel. In Automotive Steels-Design, Metallurgy, Processing and Applications; Woodhead Publishing: Kidlington, UK, 2017; pp. 317–385. [Google Scholar] [CrossRef]
  13. Tewary, N.K.; Ghosh, S.K.; Chatterjee, S. Deformation behaviour of low carbon high Mn twinning-induced plasticity steel. Proc. Inst. Mech. Eng. Part C 2019, 233, 763–771. [Google Scholar] [CrossRef]
  14. Yang, G.; Kim, J.-K. An Overview of High Yield Strength Twinning-Induced Plasticity Steels. Metals 2021, 11, 124. [Google Scholar] [CrossRef]
  15. Soleimani, M.; Kalhor, A.; Mirzadeh, H. Transformation-induced plasticity (TRIP) in advanced steels: A review. Mater. Sci. Eng. A 2020, 795, 140023. [Google Scholar] [CrossRef]
  16. Kim, M.S.; Kwak, J.H.; Kim, J.S.; Liu, Y.H.; Gao, N.; Tang, N.-Y. Galvanizability of Advanced High-Strength Steels 1180TRIP and 1180CP. Metall. Mater. Trans. A 2009, 40, 1903–1910. [Google Scholar] [CrossRef]
  17. Necati, C.Ö.; Muammer, K. Promises and Problems of Ultra/Advanced High Strength Steel (U/AHSS) Utilization in Auto Industry; OTEKON’14: Bursa, Turkey, 2014; pp. 1–8. [Google Scholar] [CrossRef]
  18. Pereira, A.B.; Santos, R.O.; Carvalho, B.S.; Butuc, M.C.; Vincze, G.; Moreira, L.P. The Evaluation of Laser Weldability of the Third-Generation Advanced High Strength Steel. Metals 2019, 9, 1051. [Google Scholar] [CrossRef] [Green Version]
  19. Wolfgang, B.; Fritz, B.; Yan, M.; Caesar, S. Materials and Processes for the Third-generation Advanced High-strength Steels. BHM 2019, 164, 466–474. [Google Scholar] [CrossRef]
  20. Nanda, T.; Singh, V.; Singh, V.; Chakraborty, A.; Sharma, S. Third generation of advanced high-strength steels: Processing routes and properties. J. Mater. Des. Appl. 2016, 233, 209–238. [Google Scholar] [CrossRef]
  21. Raabe, D.; Sun, B.; da Silva, A.K.; Gault, B.; Yen, H.-W.; Sedighiani, K.; Sukumar, P.T.; Isnaldi, R.; Filho, S.; Katnagallu, S.; et al. Current Challenges and Opportunities in Microstructure-Related Properties of Advanced High-Strength Steels. Metall. Mater. Trans. A 2020, 51, 5517–5586. [Google Scholar] [CrossRef]
  22. Roy, T.K.; Bhattacharya, B.; Ghosh, C.; Ajmani, S.K. Advanced High Strength Steel Processing and Applications; Springer: Singapore, 2018. [Google Scholar] [CrossRef]
  23. Schmitt, J.-H.; Iung, T. New developments of advanced high-strength steels for automotive applications. Comptes Rendus Phys. 2018, 19, 641–656. [Google Scholar] [CrossRef]
  24. Pichler, A.; Stiaszny, P. TRIP steel with reduced silicon content. Steel Res. 2016, 70, 459–465. [Google Scholar] [CrossRef]
  25. Sandhya, N.; Sowmya, V.; Bandaru, C.R.; Babu, G.R. Prediction of mechanical properties of steel using data science techniques. Int. J. Recent Technol. Eng. 2019, 8, 235–241. [Google Scholar] [CrossRef]
  26. Noa, S.; Guo, Z.; Li, X.; Miodownik, A.; Schillé, J. Using JMatPro to model materials properties and behavior. JOM 2003, 55, 60–65. [Google Scholar] [CrossRef]
  27. Bublíková, D.; Jirková, H.; Behúlová, M.; Krajčovič, J. Determination of transformation temperatures of advanced high-strength steels and their use in designing Q&P process routes. Manuf. Technol. 2019, 19, 8–22. [Google Scholar]
  28. Skowronek, A.; Morawiec, M.; Ruiz-Jimenez, V.; Garcia-Mateo, C.; Grajcar, A. Physical simulation and dilatometric study of double-step heat treatment of medium-Mn steel. Archiv. Civ. Mech. Eng 2020, 20, 1–11. [Google Scholar] [CrossRef]
  29. Cerda Vázquez, P.J.; Pacheco-Cedeño, J.S.; Ramos-Azpeitia, M.O.; Garnica-González, P.; Garibay-Febles, V.; Moreno-Palmerin, J.; Cruz-Rivera, J.D.J.; Hernández-Rivera, J.L. Casting and constitutive hot flow behavior of medium-Mn automotive steel with Nb as Microalloying. Metals 2020, 10, 206. [Google Scholar] [CrossRef] [Green Version]
  30. Gao, H.; Agarwal, G.; Amirthalingam, M.; Hermans, M.J.M. Hot cracking investigation during laser welding of high-strength steels with multi-scale modelling approach. Sci. Technol. Weld. Join. 2018, 23, 287–294. [Google Scholar] [CrossRef] [Green Version]
  31. Zamberger, S. Through Process Modeling of Microalloyed Steel Production. Ph.D. Thesis, Institute of Materials Science and Technology, Vienna, Austria, December 2015. [Google Scholar]
  32. Bräutigam, K.; Altamirano, G.; Salinas, A.; Flores, A.; Goodwin, F. Experimental Determination of Continuous Cooling Transformation (CCT) Diagrams for Dual-Phase Steels from the Intercritical Temperature Range. Metals 2018, 8, 674. [Google Scholar] [CrossRef] [Green Version]
  33. Noppon, J.; Chandra-Ambhorn, S. Prediction of the mechanical properties of hot-rolled low carbon steel strips in correlation to chemical compositions and rolling conditions. Key Eng. Mater. 2011, 462, 401–406. [Google Scholar] [CrossRef]
  34. Shiraiwa, T.; Miyazawa, Y.; Enoki, M. Prediction of Fatigue Strength in Steels by Linear Regression and Neural Network. Mater. Trans. 2018, 60, 189–198. [Google Scholar] [CrossRef] [Green Version]
  35. Imre, K.; Vasile, A.; Cioata, V.G. Statistical analysis using the multiple regression research in areas of the indefinite chilled cast–iron rolls manufacturing. IOP Conf. Ser. Mater. Sci. Eng. 2017, 200, 012021. [Google Scholar] [CrossRef] [Green Version]
  36. Lee, S.I.; Lee, J.; Hwang, B. Microstructure-based prediction of yield ratio and uniform elongation in high-strength bainitic steels using multiple linear regression analysis. Mater. Sci. Eng. A 2019, 758, 56–59. [Google Scholar] [CrossRef]
  37. Tumrate, C.S.; Chowdhury, S.R.; Mishrac, D. Development of Regression Model to Predicting Yield Strength for Different Steel Grades. IOP Conf. Ser. Earth Environ. Sci. 2021, 796, 012033. [Google Scholar] [CrossRef]
  38. Guo, Z.; Li, L.; Yang, W.; Sun, Z. Microstructures and Mechanical Properties of High-Mn TRIP Steel Based on Warm Deformation of Martensite. Metall. Mater. Trans. A 2015, 46, 1704–1714. [Google Scholar] [CrossRef]
  39. Daniella, M.; Joseph, P.; McDermid, R. Mechanical property development of a 0.15C–6Mn–2Al–1Si third-generation advanced high strength steel using continuous galvanizing heat treatments. Mater. Sci. Eng. A 2020, 778, 139111. [Google Scholar] [CrossRef]
  40. Kwok, T.W.J.; Rahman, K.M.; Xu, X.; Bantounas, I.; Kelleher, J.F.; Dasari, S.; Alam, T.; Banerjee, R.; Dye, D. Design of a high strength, high ductility 12 wt% Mn medium manganese steel with hierarchical deformation behaviour. Mater. Sci. Eng. A 2020, 782, 139258. [Google Scholar] [CrossRef] [Green Version]
  41. Li, Z.C.; Ding, H.; Misra, R.D.K.; Cai, Z.H. Microstructure-mechanical property relationship and austenite stability in medium-Mn TRIP steels: The effect of austenite-reverted transformation and quenching-tempering treatments. Mater. Sci. Eng. A 2017, 682, 211–219. [Google Scholar] [CrossRef] [Green Version]
  42. Yang, F.; Luo, H.; Hu, C.; Pu, E.; Dong, H. Effects of intercritical annealing process on microstructures and tensile properties of cold-rolled 7Mn steel. Mater. Sci. Eng. A 2017, 685, 115–122. [Google Scholar] [CrossRef]
  43. Bellhouse, E.M.; McDermid, J.R. Analysis of the Fe–Zn interface of galvanized high Al–low Si TRIP steels. Mater. Sci. Eng. A 2008, 491, 39–46. [Google Scholar] [CrossRef]
  44. Traint, S.; Pichler, A.; Hauzenberger, K.; Stiaszny, P.; Werner, E. Influence of silicon, aluminium, phosphorus, and copper on the phase transformations of low alloyed TRIP-steels. J. Mater. Sci. Technol. 2016, 73, 259–266. [Google Scholar] [CrossRef]
  45. El-Sherbiny, A.; El-Fawkhry, M.K.; Shasha, A.Y.; El Hossany, T. Replacement of silicon by aluminum with the aid of vanadium for galvanized TRIP steel. J. Mater. Res. Technol. 2020, 9, 3578–3589. [Google Scholar] [CrossRef]
  46. El-Din, H.N.; Reda, R. Retained Austenite Attributes and Mechanical Performance of Different Compositions of TRIP Steel Alloys. J. Mater. Eng. Perform. 2019, 28, 2167–2177. [Google Scholar] [CrossRef]
  47. Srivastava, A.K.; Jha, G.; Gope, N.; Singh, S.B. Effect of heat treatment on microstructure and mechanical properties of cold rolled C–Mn–Si TRIP-aided steel. Mater. Charact. 2006, 57, 127–135. [Google Scholar] [CrossRef]
  48. Ding, W.; Hedström, P.; Lib, Y. Heat treatment, microstructure and mechanical properties of a C–Mn–Al–P hot dip galvanizing TRIP steel. Mater. Sci. Eng. A 2016, 674, 151–157. [Google Scholar] [CrossRef]
  49. Wiewiorowska, S.; Muskalski, Z.; Michalczyk, J. The influence of hot dip galvanizing process on TRIP steel wire structure and properties. Arch. Metall. Mater. 2019, 64, 129–132. [Google Scholar] [CrossRef]
  50. Traint, S.; Pichler, A.; Blaimschein, M.; Röthler, B.; Krempaszky, C.; Werner, E. Alloy Design, Processing and Properties of TRIP Steels: A Critical Comparison. Available online: https://www.researchgate.net/publication/289883782_Alloy_design_processing_and_properties_of_TRIP_steels_A_critical_comparison (accessed on 10 September 2021).
  51. Xu, B.; Chen, P.; Li, Z.; Wu, D.; Wang, G.; Guo, J.; Liu, R.; Misra, R.D.K.; Yi, H. The Significance of Optimizing Mn-Content in Tuning the Microstructure and Mechanical Properties of δ-TRIP Steels. Metals 2021, 11, 523. [Google Scholar] [CrossRef]
  52. Pino, B.Y.N.; Castañeda, E.G. Computational Study of the Effects of Chemical Composition on the Behavior of CCT Diagrams Calculated from the Two-Phase Field Region for the Development of Advanced High Strength Steels. Master’s Thesis, Autonomous University of San Luis Potosi, San Luis Potosi, Mexico, October 2020. [Google Scholar]
  53. Calderón, L.S.; Castañeda, E.G. Effect of Temperature and Time of the Intercritical Annealing on the Microstructure and Mechanical Properties of Advanced High Strength Steels. Master’s Thesis, Autonomous University of San Luis Potosi, San Luis Potosi, Mexico, February 2021. [Google Scholar]
  54. Cervantes, S. Statistics for Administration and Economy; Pearson Prentice Hall: Madrid, Spain, 2018. [Google Scholar]
  55. Zhou, W.; Guo, H.; Xie, Z.; Wang, X.; Shang, C. High strength low-carbon alloyed steel with good ductility by combining the retained austenite and nano-sized precipitates. Mater. Sci. Eng. A 2013, 587, 365–371. [Google Scholar] [CrossRef]
  56. Contreras, A.; Lopez, A.; Gutierrez, E.J.; Fernandez, B.; Salinas, A.; Deaquino, R.; Bedolla, A.; Saldana, R.; Reyes, I.; Aguilar, J.; et al. An approach for the design of multiphase advanced high-strength steels based on the behavior of CCT diagrams simulated from the intercritical temperature range. Mater. Sci. Eng. A 2020, 772, 38708. [Google Scholar] [CrossRef]
  57. Shen, Y.F.; Qiu, L.N.; Sun, X.; Zuo, L.; Liaw, P.K.; Raabe, D. Effects of retained austenite volume fraction, morphology, and carbon content on strength and ductility of nanostructured TRIP-assisted steels. Mater. Sci. Eng. A 2015, 636, 551–564. [Google Scholar] [CrossRef] [Green Version]
  58. Kučerová, L.; Bystrianský, M. The effect of chemical composition on microstructure and properties of TRIP steels. J. Achiev. Mater. Manuf. Eng. 2016, 77, 5–12. [Google Scholar] [CrossRef]
  59. Lun, N.; Saha, D.C.; Macwan, A.; Pan, H.; Wang, L.; Goodwin, F.; Zhou, Y. Microstructure and mechanical properties of fibre laser welded medium manganese TRIP steel. Mater. Des. 2017, 131, 450–459. [Google Scholar] [CrossRef]
  60. Grajcar, A.; Kilarski, A.; Kozlowska, A. Microstructure–Property Relationships in Thermomechanically Processed Medium-Mn Steels with High Al Content. Metals 2018, 8, 929. [Google Scholar] [CrossRef] [Green Version]
  61. Daniel, M.F.; Qing, J.; David, C.; Aken, V. Chemistry and Properties of Medium-Mn Two-Stage TRIP Steels. Metall. Mater. Trans. A 2018, 94A, 4615–4632. [Google Scholar] [CrossRef]
  62. Oja, O.; Saastamoinen, A.; Patnamsetty, M.; Honkanen, M.; Peura, P.; Järvenpää, M. Microstructure and Mechanical Properties of Nb and V Microalloyed TRIP-Assisted Steels. Metals 2019, 9, 887. [Google Scholar] [CrossRef] [Green Version]
  63. Wang, T.; Hu, J.; Misra, R.D.K. Microstructure evolution and strain behavior of a medium Mn TRIP/TWIP steel for excellent combination of strength and ductility. Mater. Sci. Eng. A 2019, 753, 99–108. [Google Scholar] [CrossRef]
  64. Chen, S.-C.; Huang, C.-Y.; Wang, Y.T.; Huang, C.-Y.; Yen, H.-Y. Role of the crystallographic texture in anisotropic mechanical properties of a newly-developed hot-rolled TRIP steel. Mater. Sci. Eng. A 2020, 790, 139683. [Google Scholar] [CrossRef]
  65. Zeng, Z.; Reddy, K.M.; Song, S.; Wang, J.; Wang, L.; Wang, X. Microstructure and mechanical properties of Nb and Ti microalloyed lightweight δ-TRIP Steel. Mater. Charact. 2020, 164, 110324. [Google Scholar] [CrossRef]
  66. Kong, H.; Chao, Q.; Rolfe, B.; Beladi, H. One-step quenching and partitioning treatment of a tailor welded blank of boron and TRIP steels for automotive applications. Mater. Des. 2019, 174, 107799. [Google Scholar] [CrossRef]
  67. Gu, X.; Xu, Y.; Wang, X.; Liu, R.; Peng, F.; Liu, H.; Misra, R.D.K.; Li, J.; Hou, X. Austenite formation and mechanical behavior of a novel TRIP-assisted steel with ferrite/martensite initial structure. Mater. Sci. Eng. A 2020, 803, 140468. [Google Scholar] [CrossRef]
  68. Tilak Kumar, J.V.; Sudha, J.; Padmanabhan, K.A.; Frolova, A.V.; Stolyarov, V.V. Influence of strain rate and strain at temperature on TRIP effect in a metastable austenitic stainless Steel. Mater. Sci. Eng. A 2020, 777, 139046. [Google Scholar] [CrossRef]
  69. Zhang, Y.; Huia, W.; Zhaoa, X.; Wang, C.; Cao, W.; Dong, H. Effect of reverted austenite fraction on hydrogen embrittlement of TRIP-aided medium Mn steel (0.1C-5Mn). Eng. Fail Anal. 2019, 97, 605–616. [Google Scholar] [CrossRef]
  70. Haldar, A.; Suwas, S.; Bhattacharjee, D. Microstructure and Texture in Steels and Other Materials; Springer: Jamshedpur, India, 2008; pp. 145–159. [Google Scholar] [CrossRef]
  71. Maalekian, M. The Effects of Alloying Elements on Steels (I), Institut für Werkstoffkunde; Technische Universität Graz: Graz, Austria, 2007. [Google Scholar]
  72. Tartaglia, J.M.; Kuelz, A.N.; Thelander, V.H. The Effects of alloying elements on the continuous cooling transformation behavior of 2¼ Cr-1Mo Steels. J. Mater. Eng. Perform. 2018, 27, 6349–6364. [Google Scholar] [CrossRef]
  73. Matjeke, V.J.; van der Merwe, J.W.; Vithi, N.L. Determination of Critical Transformation Temperatures for the Optimisation of Spring Steel Heat Treatment Processes. Metals 2021, 11, 1014. [Google Scholar] [CrossRef]
  74. Christina, H.; Florian, W.; Helmut, C.; Sophie, P. Morphology change of retained austenite during austempering of carbide-free bainitic steel. Mater. Sci. Eng. A 2016, 664, 1–31. [Google Scholar]
  75. Fonstein, N. Advanced High Strength Sheet Steels: Physical Metallurgy, Design, Processing, and Properties, 1st ed.; Springer International Publishing: Cham, Switzerland, 2015. [Google Scholar] [CrossRef] [Green Version]
  76. Zhu, R.; Li, S.; Karaman, I.; Arróyave, R.; Niendorf, T.; Maier, H.J. Multi-phase microstructure design of a low-alloy TRIP-assisted steel through a combined computational and experimental methodology. Acta Mater. 2012, 60, 3022–3033. [Google Scholar] [CrossRef]
  77. Adeva, P.; Garcés, G.; Medina, J.; Pérez, P. New Processing Routes for Nanostructuration of Light Alloys. Encycl. Mater. Met. Alloy. 2020, 1, 224–233. [Google Scholar] [CrossRef]
Figure 1. Thermal treatment parameters employed to obtain TRIP steels: stage (I) intercritical annealing, stage (II) isothermal bainitic treatment, stage (III) final cooling.
Figure 1. Thermal treatment parameters employed to obtain TRIP steels: stage (I) intercritical annealing, stage (II) isothermal bainitic treatment, stage (III) final cooling.
Metals 11 01768 g001
Figure 2. Intercritical CCT diagrams: (a) AISI-1015; (b) modification of contents of Cu, Al, Mo and Si; (c) variation in the concentrations of C and Mn; (d) changes in the contents of Ni, Cu, Mo, Si; (e) modification in the amount of Al, Cu, Mn, Mo, Ni, Nb, C; (f) experimental steel.
Figure 2. Intercritical CCT diagrams: (a) AISI-1015; (b) modification of contents of Cu, Al, Mo and Si; (c) variation in the concentrations of C and Mn; (d) changes in the contents of Ni, Cu, Mo, Si; (e) modification in the amount of Al, Cu, Mn, Mo, Ni, Nb, C; (f) experimental steel.
Metals 11 01768 g002
Figure 3. Residual plot for elongation to fracture (Ef): (a) normal probability, (b) versus fit, (c) histogram and (d) versus order.
Figure 3. Residual plot for elongation to fracture (Ef): (a) normal probability, (b) versus fit, (c) histogram and (d) versus order.
Metals 11 01768 g003
Figure 4. Residual plot for ultimate tensile strength (UTS): (a) normal probability, (b) versus fit, (c) histogram and (d) versus order.
Figure 4. Residual plot for ultimate tensile strength (UTS): (a) normal probability, (b) versus fit, (c) histogram and (d) versus order.
Metals 11 01768 g004
Figure 5. Determination of the annealing temperature needed to achieve 50% α + 50% γ by dilatometry and the lever rule.
Figure 5. Determination of the annealing temperature needed to achieve 50% α + 50% γ by dilatometry and the lever rule.
Metals 11 01768 g005
Figure 6. (a,c) Experimental temperature vs time plots and (b,d) dilation vs. time plots.
Figure 6. (a,c) Experimental temperature vs time plots and (b,d) dilation vs. time plots.
Metals 11 01768 g006
Figure 7. Microstructure of samples resulting from annealing at 800 °C—15 s and isothermal treatment at 450 °C with different holding times: (a,b) 30 s and (c,d) 120 s.
Figure 7. Microstructure of samples resulting from annealing at 800 °C—15 s and isothermal treatment at 450 °C with different holding times: (a,b) 30 s and (c,d) 120 s.
Metals 11 01768 g007
Figure 8. Stress vs. strain curves corresponding to the experimental steel. Mechanical properties of samples with IBT times of 30 s and 120 s were used for validation.
Figure 8. Stress vs. strain curves corresponding to the experimental steel. Mechanical properties of samples with IBT times of 30 s and 120 s were used for validation.
Metals 11 01768 g008
Table 1. Chemical composition and mechanical properties of AHSS to obtain the multiple linear regression model.
Table 1. Chemical composition and mechanical properties of AHSS to obtain the multiple linear regression model.
Alloying Elements (wt.%)UTS (MPa)Ef (%)Reference
CMnSiAlPCrNbNiCuMoTiSVN
0.26.1-1.6----------103842.0[41]
0.2092.0720.1521.487--------0.012-78022.0[45]
0.201.50-1.20.07---------78022.0[48]
0.401.55-3.45----------82440.0[51]
0.161.950.900.750.070.650.030.500.350.350.0020.020.003 88527.0[53]
0.161.950.900.750.070.650.030.500.350.350.0020.020.003 98025.0
0.161.950.900.750.070.650.030.500.350.350.0020.020.003 101320.0
0.102.010.780.78--0.081.001.010.26----117817.0[55]
0.141.70.60.46-0.40.30.420.260.3--0.002 116020.0[56]
0.191.760.301.520.012--0.0070.0070.0030.0020.004 -80035.0[57]
0.400.62.0--1.30.3-------103515.0[58]
0.201.502.0---0.06-------85934.0
0.201.502.0---0.06-------80540.0
0.201.500.601.40--0.06-------83238.0
0.1510.400.171.49----------112632.0[59]
0.173.300.221.700.010----0.23-0.014-0.004395715.5[60]
0.164.70.221.60.008----0.20-0.004-0.0039121511.5
0.2711.11.371.49---------0.018133026.5[61]
0.1614.32.970.89---------0.022137033.7
0.1710.22.380.30---------0.024140034.1
0.1111.52.460.38---------0.029130027.5
0.1013.82.010.40---------0.028132024.8
0.1013.01.570.45---------0.045145027.7
0.211.510.710.97-0.0210.001-0.500.210.024-0.0020.002588722.0
0.211.510.710.97-0.0210.001-0.500.210.024-0.0020.002593924.0[62]
0.211.510.710.97-0.0210.001-0.500.210.024-0.0020.002595017.0
0.201.540.721.00-0.0180.043-0.500.210.023-0.0020.001093719.0
0.201.540.721.00-0.0180.043-0.500.210.023-0.0020.001099925.0
0.201.540.721.00-0.0180.043-0.500.210.023-0.0020.0010105019.0
0.211.500.690.92-0.0220.002-0.490.210.023-0.0970.004595618.0
0.211.500.690.92-0.0220.002-0.490.210.023-0.0970.004597520.0
0.211.500.690.92-0.0220.002-0.490.210.023-0.0970.0045103515.0
0.1810.241.002.78----------110040.0[63]
0.1810.241.002.78----------125035.0
0.212.041.041.10.015-0.064--0.20.02--0.003104027.9[64]
0.361.10.384.1-- -------90232.0[65]
0.381.10.384.1--0.05---0.03---100331.5
0.241.150.280.03-0.29----0.02---80234.0[66]
0.212.01.64-0.006-0.025---0.050.001--99529.8[67]
0.240.720.33-0.01314.46-5.210.172.81-0.08-0.06164415.0[68]
0.240.720.33-0.01314.46-5.210.172.81-0.08-0.06170919.4
0.15.0--0.005------0.002-0.00587026.0[69]
Table 2. Comparison between mechanical properties obtained by the model and those obtained experimentally.
Table 2. Comparison between mechanical properties obtained by the model and those obtained experimentally.
Elongation to Fracture (%)Percentage
Error (%)
Ultimate Tensile Strength (MPa)Percentage
Error (%)
Model (Equations (2) and (3))25-995-
Experimental-Steel
IBT = 30 s
25.31.18%10202.45
Experimental-Steel
IBT = 120 s
21.516.27%10807.87
Publisher’s Note: MDPI stays neutral with regard to jurisdictional claims in published maps and institutional affiliations.

Share and Cite

MDPI and ACS Style

Navarrete Pino, B.Y.; Torres Castillo, A.A.; Gutiérrez Castañeda, E.J.; Espinosa Zúñiga, L.A.; Hernández Hernández, L.; Salinas Rodríguez, A.; Deaquino Lara, R.; Saldaña Garcés, R.; Reyes Domínguez, I.A.; Aguilar Carrillo, J.; et al. Using Intercritical CCT Diagrams and Multiple Linear Regression for the Development of Low-Alloyed Advanced High-Strength Steels. Metals 2021, 11, 1768. https://doi.org/10.3390/met11111768

AMA Style

Navarrete Pino BY, Torres Castillo AA, Gutiérrez Castañeda EJ, Espinosa Zúñiga LA, Hernández Hernández L, Salinas Rodríguez A, Deaquino Lara R, Saldaña Garcés R, Reyes Domínguez IA, Aguilar Carrillo J, et al. Using Intercritical CCT Diagrams and Multiple Linear Regression for the Development of Low-Alloyed Advanced High-Strength Steels. Metals. 2021; 11(11):1768. https://doi.org/10.3390/met11111768

Chicago/Turabian Style

Navarrete Pino, Bryan Y., Antonio A. Torres Castillo, Emmanuel J. Gutiérrez Castañeda, Luis A. Espinosa Zúñiga, Lorena Hernández Hernández, Armando Salinas Rodríguez, Rogelio Deaquino Lara, Rocío Saldaña Garcés, Iván A. Reyes Domínguez, Javier Aguilar Carrillo, and et al. 2021. "Using Intercritical CCT Diagrams and Multiple Linear Regression for the Development of Low-Alloyed Advanced High-Strength Steels" Metals 11, no. 11: 1768. https://doi.org/10.3390/met11111768

APA Style

Navarrete Pino, B. Y., Torres Castillo, A. A., Gutiérrez Castañeda, E. J., Espinosa Zúñiga, L. A., Hernández Hernández, L., Salinas Rodríguez, A., Deaquino Lara, R., Saldaña Garcés, R., Reyes Domínguez, I. A., Aguilar Carrillo, J., Bedolla Jacuinde, A., Garay Reyes, C. G., & Martínez Sánchez, R. (2021). Using Intercritical CCT Diagrams and Multiple Linear Regression for the Development of Low-Alloyed Advanced High-Strength Steels. Metals, 11(11), 1768. https://doi.org/10.3390/met11111768

Note that from the first issue of 2016, this journal uses article numbers instead of page numbers. See further details here.

Article Metrics

Back to TopTop