Effect of Severe Welding Conditions on Liquid Metal Embrittlement of a 3rd-Generation Advanced High-Strength Steel
Abstract
1. Introduction
- Type A cracks are located at the weld surface, in the middle of the electrode indentation zone. They may reach the interior of the weld nugget.
- Type B cracks are in the corner of the electrode indentation zone, where the microstructure usually corresponds to the Heat Affected Zone (HAZ).
- Type C cracks are located near the notch tip at the faying surface.
2. Materials and Methods
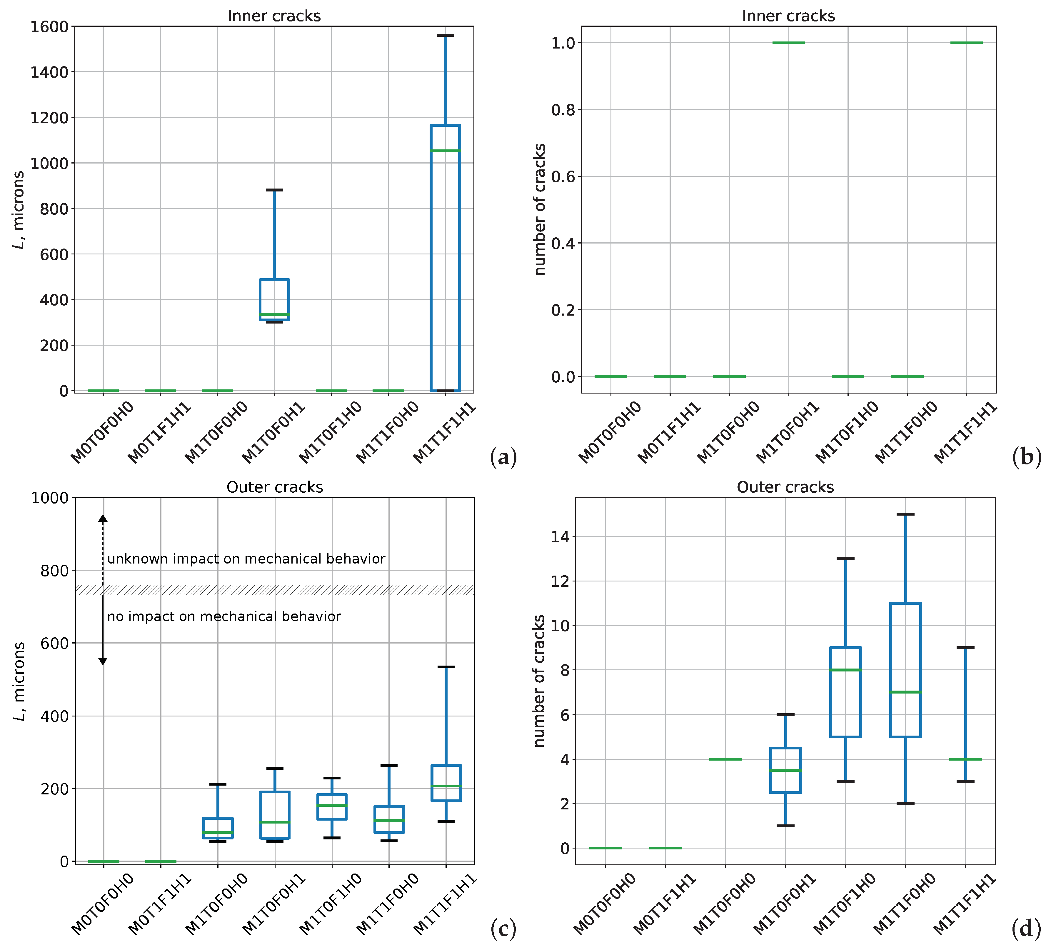
3. Results
4. Discussion
5. Conclusions
- Liquid Metal Embrittlement is not only a steel-dependent phenomenon. Indeed, one steel grade could be considered to be non-sensitive to LME in certain conditions while it will be identified as sensitive to LME in other conditions. Welding conditions and environment have a strong impact on the LME occurrence.
- Severe welding conditions such as: electrode misalignment, short holding time, low electrode force and long welding time are the major parameters that influence the most the LME occurrence.
- In this study, an electrode misalignment of 5°, a short holding time of 20 ms, a low electrode force of 2kN and a long welding time of 760 ms constitute a propitious environment for both inner and outer LME cracks.
- The electrode misalignment and the short holding time are responsible for the occurrence of long inner cracks (+137 μm and +412 μm respectively in the linear model).
- Outer cracks are mainly promoted by electrode misalignment (+197 μm in the linear model), with a small and scattered increase in severity under the additional and combined action of the other parameters.
- Standard ISO welding conditions do not promote the occurrence of LME cracks. The application of ISO standard conditions appears as a suitable solution to limit the number and depth of LME cracks in such homogeneous welding configuration.
Author Contributions
Funding
Acknowledgments
Conflicts of Interest
Abbreviations
| AHSS | Advanced High-Strength Steels |
| AWS | American Welding Society |
| BIW | Body-In-White |
| DPI | Dye Penetrant Inspection |
| HAZ | Heat Affected Zone |
| LME | Liquid Metal Embrittlement |
| RSW | Resistance Spot-Welding |
References
- Huin, T.; Dancette, S.; Fabrègue, D.; Dupuy, T. Investigation of the Failure of Advanced High Strength Steels Heterogeneous Spot Welds. Metals 2016, 6, 111. [Google Scholar] [CrossRef]
- Yu, J. Adaptive Resistance Spot Welding Process that Reduces the Shunting Effect for Automotive High-Strength Steels. Metals 2018, 8, 775. [Google Scholar] [CrossRef]
- Zuidema, B.K. Introduction to 3rd Generation Advanced High Strength Steels. Available online: https://fdocuments.us/document/introduction-to-3rd-generation-high-strength-high-formability-hshf-for-cold.html (accessed on 7 August 2020).
- Advanced High-Strength Steel Market Size, Share | Growth by 2023. Available online: https://www.alliedmarketresearch.com/advanced-high-strength-steel-market (accessed on 7 August 2020).
- Marder, A. The metallurgy of zinc-coated steel. Prog. Mater. Sci. 2000, 45, 191–271. [Google Scholar] [CrossRef]
- Kim, Y.; Lee, J.; Park, J.; Jeon, S.H. Effect of Si content on wettability of dual phase high strength steels by liquid Zn-0.23 wt.%Al. Met. Mater. Int. 2011, 17, 607–611. [Google Scholar] [CrossRef]
- Oh, M.S.; Kim, S.H.; Kim, J.S.; Lee, J.W.; Shon, J.H.; Jin, Y.S. Surface and cut-edge corrosion behavior of Zn-Mg-Al alloy-coated steel sheets as a function of the alloy coating microstructure. Met. Mater. Int. 2016, 22, 26–33. [Google Scholar] [CrossRef]
- Ertek Emre, H.; Kaçar, R. Resistance Spot Weldability of Galvanize Coated and Uncoated TRIP Steels. Metals 2016, 6, 299. [Google Scholar] [CrossRef]
- Pouranvari, M.; Marashi, S.P.H. Critical review of automotive steels spot welding: Process, structure and properties. Sci. Technol. Weld. Join. 2013, 18, 361–403. [Google Scholar] [CrossRef]
- Russo Spena, P.; Rossi, S.; Wurzer, R. Effects of Welding Parameters on Strength and Corrosion Behavior of Dissimilar Galvanized Q&P and TRIP Spot Welds. Metals 2017, 7, 534. [Google Scholar] [CrossRef]
- Habibi, N.; Sundararaghavan, V.P.U.; Ramazani, A. Experimental and Numerical Investigations into the Failure Mechanisms of TRIP700 Steel Sheets. Metals 2018, 8, 775. [Google Scholar] [CrossRef]
- Jiang, C.; Thompson, A.; Shi, M.; Agashe, S.; Zhang, J.; Zhang, H. Liquid metal embrittlement in resistance spot welds of AHSS steels. AWS Prof. Prog. 2003, 9A. [Google Scholar]
- Beal, C.; Kleber, X.; Fabregue, D.; Bouzekri, M. Embrittlement of a zinc coated high manganese TWIP steel. Mater. Sci. Eng. A 2012, 543, 76–83. [Google Scholar] [CrossRef]
- Choi, D.; Uhm, S.; Enloe, C.; Lee, H.; Kim, G.; Horvath, C. Liquid metal embrittlement of resistance spot welded 1180TRIP steel-effects of crack geometry on weld mechanical performance. Mater. Sci. Technol. 2017, 454–462. [Google Scholar] [CrossRef]
- DiGiovanni, C.; Biro, E.; Zhou, Y. Effect of Liquid Metal Embrittlement cracks on resistance spot weld fracture path. Sci. Technol. Weld. Join. 2018, 24, 218–224. [Google Scholar] [CrossRef]
- Jeon, W.S.; Sharma, A.; Jung, J.P. Liquid Metal Embrittlement of Galvanized TRIP Steels in Resistance Spot Welding. Metals 2020, 10, 787. [Google Scholar] [CrossRef]
- AWS D8.9M:2012 Test Methods for Evaluating the Resistance Spot Welding Behavior of Automotive Sheet Steel Materials. 2012. Available online: https://pubs.aws.org/p/1067/d89m2012-test-methods-for-evaluating-the-resistance-spot-welding-behavior-of-automotive-sheet-steel-materials (accessed on 7 August 2020).
- Jung, G.; Woo, I.S.; Suh, D.W.; Kim, S.J. Liquid Zn assisted embrittlement of advanced high strength steels with different microstructures. Met. Mater. Int. 2016, 22, 187–195. [Google Scholar] [CrossRef]
- Beal, C.; Kleber, X.; Fabregue, D.; Bouzekri, M. Liquid zinc embrittlement of a high-manganese-content TWIP steel. Philos. Mag. Lett. 2011, 91, 297–303. [Google Scholar] [CrossRef]
- Beal, C.; Kleber, X.; Fabregue, D.; Bouzekri, M. Liquid zinc embrittlement of twinning-induced plasticity steel. Scr. Mater. 2012, 66, 1030–1033. [Google Scholar] [CrossRef]
- Vermeersch, M.; De Waele, W.; Van Caenegem, N. LME susceptibility of galvanised welded structures of high strength steels. In Sustainable Construction and Design; Van Wittenberghe, J., Ed.; Ghent University, Laboratory Soete: Ghent, Belgium, 2011; Volume 2, pp. 442–447. [Google Scholar]
- Fernandes, P.J.L.; Jones, D.R.H. Mechanisms of liquid metal induced embrittlement. Int. Mater. Rev. 1997, 42, 251–261. [Google Scholar] [CrossRef]
- Benlatreche, Y. Link between Metallurgy and LME Risk; Technical Report; ArcelorMittal Maizières Research: Maizières-lès-Metz, France, 2017. [Google Scholar]
- Bhattacharya, D. Liquid metal embrittlement during resistance spot welding of Zn-coated high-strength steels. Mater. Sci. Technol. 2018, 34, 1809–1829. [Google Scholar] [CrossRef]
- Choi, D.Y.; Sharma, A.; Uhm, S.H.; Jung, J.P. Liquid metal embrittlement of resistance spot welded 1180 TRIP steel: Effect of electrode force on cracking behavior. Met. Mater. Int. 2019, 25, 219–228. [Google Scholar] [CrossRef]
- Benlatreche, Y. Effect of LME cracks on mechanical performances of spot welds. In Proceedings of the 5th International Conference on Steels in Cars and Trucks, Milan, Italy, 10–14 January 2017. [Google Scholar]
- Rethmeier, M.; Brauser, S.; Schwenk, C.; Noack, T.; Jüttner, S. Influence of welding-induced cracks on the fatigue strength of resistance-spot-welded joints made of high-strength austenitic steel. Weld. Cut. 2012, 11, 232–235. [Google Scholar]
- Benlatreche, Y.; Ghassemi-Armaki, H.; Duchet, M.; Dupuy, T.; Cornette, D.; Carollo, G.; Dietsch, P. Spot-weld integrity of Zn-coated 3rd gen. advanced high strength steels in presence of LME. In Proceedings of the International Automotive Body Congress, Detroit, MI, USA, 20–21 September 2017. [Google Scholar]
- Benlatreche, Y. Design rules to minimize liquid metal embrittlement (LME) cracking. In Joining in Car Body Engineering; Automotive Circle: Hannover, Germany, 2019. [Google Scholar]
- ISO Central Secretary. Resistance Welding—Weldability—Part 2: Evaluation Procedures for Weldability in Spot Welding; Standard ISO 18278-2:2016; International Organization for Standardization: Geneva, Switzerland, 2016. [Google Scholar]
- ISO Central Secretary. Non-Destructive Testing—Penetrant Testing—Part 1: General Principles; Standard ISO 3452-1:2013; International Organization for Standardization: Geneva, Switzerland, 2013. [Google Scholar]
- Kamdar, M. Liquid Metal Embrittlement. Treatise Mater. Sci. Technol. 1983, 25, 361–459. [Google Scholar]
- Di Gabriele, F.; Hojna, A.C.M.; Klecka, J. Behavior of the Steel T91 under Multi Axial Loading in Contact with Liquid and Solid Pb. Metals 2017, 7, 342. [Google Scholar] [CrossRef]






| Test | Code | Misalignment (degrees) | Welding Time (ms) | Electrode Force (kN) | Holding Time (ms) | Welding Current (kA) | Number of Welds |
|---|---|---|---|---|---|---|---|
| 0 | M0T0F0H0 | 0 | 380 | 4.5 | 260 | 7.5 | 5 |
| 1 | M1T0F0H0 | 5 | 380 | 4.5 | 260 | 8.2 | 5 |
| 2 | M1T1F0H0 | 5 | 760 | 4.5 | 260 | 8.5 | 5 |
| 3 | M1T0F1H0 | 5 | 380 | 2.0 | 260 | 7.0 | 5 |
| 4 | M1T0F0H1 | 5 | 380 | 4.5 | 20 | 8.5 | 5 |
| 5 | M1T1F1H1 | 5 | 760 | 2.0 | 20 | 7.0 | 5 |
| 6 | M0T1F1H1 | 0 | 760 | 2.0 | 20 | 5.8 | 5 |
| Test | Code | Nugget Diameter (mm) | Indentation Depth (mm) |
|---|---|---|---|
| 0 | M0T0F0H0 | 6.5–6.7 | 0.18–0.23 |
| 1 | M1T0F0H0 | 6.6–6.9 | 0.23–0.29 |
| 2 | M1T1F0H0 | 6.8–7.5 | 0.36–0.62 |
| 3 | M1T0F1H0 | 4.9–6.2 | 0.06–0.16 |
| 4 | M1T0F0H1 | 7.0–7.3 | 0.23–0.26 |
| 5 | M1T1F1H1 | 7.0–7.2 | 0.17–0.22 |
| 6 | M0T1F1H1 | 5.5–5.8 | 0.09–0.12 |
| Model | Residuals [min; median; max] | M Coefficient | T Coefficient | F Coefficient | H Coefficient | |
|---|---|---|---|---|---|---|
| 0.89 | [−121.2; −7.6; 273.0] | 196.7 [160.9; 232.5] *** | −4.5 [−60.2; 51.3] | 21.7 [−34.1; 77.5] | 47.1 [−11.3; 105.5] | |
| 0.79 | [−5.2; 0.0; 7.8] | 5.5 [4.1; 6.9] *** | 1.7 [−0.5; 3.9] | 1.3 [−0.9; 3.5] | −3.0 [−5.3; −0.7] * | |
| 0.43 | [−412.1; −68.7; 1147.9] | 137.3 [−35.9; 310.5] | −68.6 [−338.8; 201.7] | −68.6 [−338.8; 201.7] | 411.9 [129.0; 694.8] ** | |
| 0.81 | [−0.35; 0.0; 0.39] | 0.26 [0.14; 0.39] *** | −0.22 [−0.41; −0.03] * | −0.22 [−0.41; −0.03] * | 0.79 [0.59; 0.99] *** |
© 2020 by the authors. Licensee MDPI, Basel, Switzerland. This article is an open access article distributed under the terms and conditions of the Creative Commons Attribution (CC BY) license (http://creativecommons.org/licenses/by/4.0/).
Share and Cite
Siar, O.; Benlatreche, Y.; Dupuy, T.; Dancette, S.; Fabrègue, D. Effect of Severe Welding Conditions on Liquid Metal Embrittlement of a 3rd-Generation Advanced High-Strength Steel. Metals 2020, 10, 1166. https://doi.org/10.3390/met10091166
Siar O, Benlatreche Y, Dupuy T, Dancette S, Fabrègue D. Effect of Severe Welding Conditions on Liquid Metal Embrittlement of a 3rd-Generation Advanced High-Strength Steel. Metals. 2020; 10(9):1166. https://doi.org/10.3390/met10091166
Chicago/Turabian StyleSiar, Outhmane, Yacine Benlatreche, Thomas Dupuy, Sylvain Dancette, and Damien Fabrègue. 2020. "Effect of Severe Welding Conditions on Liquid Metal Embrittlement of a 3rd-Generation Advanced High-Strength Steel" Metals 10, no. 9: 1166. https://doi.org/10.3390/met10091166
APA StyleSiar, O., Benlatreche, Y., Dupuy, T., Dancette, S., & Fabrègue, D. (2020). Effect of Severe Welding Conditions on Liquid Metal Embrittlement of a 3rd-Generation Advanced High-Strength Steel. Metals, 10(9), 1166. https://doi.org/10.3390/met10091166
