Calphad Modeling of LRO and SRO Using ab initio Data
Abstract
1. Introduction
1.1. The Pure Element Data
1.2. The New Unary Database
1.3. Terminology
- CEF stands for compound energy formalism, a family of models using sublattices to describe LRO assuming ideal mixing of the constituents on each sublattice. There can be energetic interactions between the constituents.
- Cluster is an assembly of sites in the crystal (in the context of CVM). Each possible set of constituents occupying these sites represent a cluster probability. In some models species are used to represent clusters.
- Components are normally the elements but for convenience, to set conditions for an equilibrium calculation, they can be defined as any orthogonal subset of the species—for example, “AlO, CaO, O” rather than “Al, Ca, O”.
- Composition of a phase is the fraction of its components which can be calculated from its model and the fraction of its constituents or cluster probabilities. It can be per moles, mass or volume.
- Constituent is a species in a specific phase and sublattice.
- Constituent fraction, denoted for constituent i in sublattice s of a phase. When a specific value is used for either or both indices, a comma “,” is used in between.
- CVM stands for cluster variation method where the configurational entropy is evaluated using a sequence of clusters representing points, pairs, triangles, etc., in the lattice. Both LRO and SRO can be described by the clusters.
- A disordered fraction set can be used to include parameters which do not depend on the constitution of a phase with sublattices; see, for example, Sundman et al. [23]. The disordered fractions can be calculated from the constituent fractions using Equation (2). Phases with order–disorder transitions can have separate interstitial sublattices.
- Element is an atom in the periodic chart.
- Endmember is used in CEF to denote a compound with a specific constituent in each sublattice of a phase.
- An ideal solution is a model where all constituents of a phase mix randomly without any energetic interactions.
- LRO: long range ordering in a crystalline phase depends on the arrangement of the constituents in the sublattices in the whole phase.
- Mole fraction in a CEF model for a component A is denoted and calculated as:where is the site ratio, is a constituent fraction and is a stoichiometric factor.
- Phase has a defined lattice or is a gas, liquid or amorphous phase and has a thermodynamic model.
- Reciprocal model within CEF has two sublattices with two constituents in each.
- Site ratio, denoted for sublattice s, is the number of sites in the sublattice in the unit cell.
- Species is a molecule-like aggregate with one or more elements with fixed ratios—for example, HO. The vacancy, denoted Va, is a special species used to represent a vacant site in a phase. A species may also have an electric charge and be called ion.
- SRO: Short range ordering is present when the local environment of a given species is not randomly surrounded by other species. However, the deviation from randomness vanishes as the distance increases.
- Stoichiometric factor, denoted is the ratio of element A in species i.
- Sublattice: A specific set of sites in the unit cell of the lattice. Only sites which are, at least partially, occupied by atoms in a crystal structures are recognized as sublattices. In some cases a sublattice may combine sites which are crystallographically different.
- A substitutional regular solution is a model where all constituents are assumed to mix randomly with energetic interaction parameters between sets of two or more constituents.
- The thermodynamic model describes the Gibbs energy of a phase as a function of and its constitution or cluster probabilities.
1.4. Modeling Long and Short Range Ordering
2. Using the Reciprocal Model in CEF to Model LRO and SRO
- An interstitial solution of C in the FCC phase in a C–Fe–Ti system is modeled as (Fe,Ti)(C,Va); see Section 4.1.
- A Laves phase with anti-site defects, (A,B)(A,B), and other topologically close-packed (TCP) phases; see Section 4.2.1.
- BCC ordering as in Fe–Al or Al–Ni; see Section 2.3 and Section 4.5.3.
- Oxides and other metal-nonmetal phases modeled with two or more sublattices; see Section 4.3.
- Phases with defects; see Section 4.4.
2.1. The Endmember Concept and Metastability
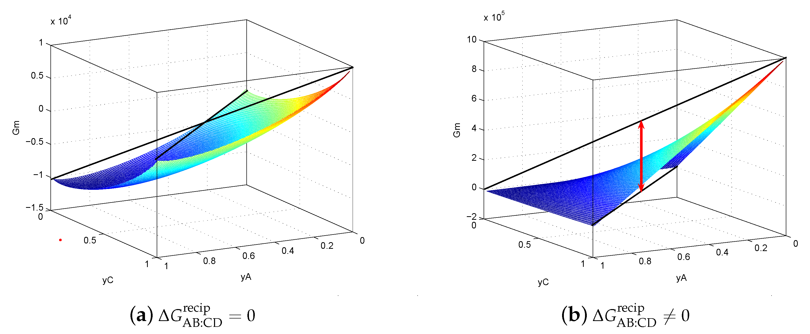
2.2. The Reciprocal Energy and Miscibility Gap
2.3. The Reciprocal Model for Order–Disorder Transitions
2.4. An Approximation of the SRO Contribution
2.5. The Disordered Fraction Set
2.6. CEF Calculations for Prototype FCC Ordering
3. Fe–Ni as an Example for Modeling with DFT
3.1. Effective Cluster Interaction
3.2. CVM Calculation
3.3. CEM and CVM Calculations for Fe–Ni
3.4. CEF Calculation for Fe–Ni
3.5. The Experimentally Assessed Fe–Ni System
4. Examples Using DFT Data for CEF Models with LRO and SRO
4.1. Interstitial Solutions, Carbides and Nitrides
4.2. Intermetallic Phases
4.2.1. The Phase and Other TCP Phases
4.2.2. The Effective Bond Energy Formalism
4.3. CEF Models with Ionic Constituents
4.4. CEF Models for Defects
4.5. Phases with Order–Disorder Transitions
4.5.1. BCC Ordring Using Two Sublattices
4.5.2. Never Model FCC Ordering with Two Sublattices
4.5.3. The Four-Sublattice Model for Order–Disorder
4.6. Modeling SRO in Liquids
- 1.
- The associated model which add constituents with a stoichiometry close to the SRO composition and include interactions between these and the constituents representing the elements, all mixing randomly. This overestimates the configurational entropy and requires many interaction parameters between the constituents. It includes substitutional regular solutions as a subset.
- 2.
- The ionic two-sublattice liquid model [75] is a reciprocal model with cations on one sublattice and anions, vacancies and neutrals on the other. It is similar to a CEF model but the site ratios are variable. This model includes the substitutional regular solution and some associated models as subsets but can have problems with reciprocal miscibility gaps.
- 3.
- The quasichemical model which is the simplest CVM based model has been modified by Pelton et al. [76] to exclude LRO and use only two bonds per constituent to avoid negative configurational entropy. The stoichiometries of the constituents are selected according to the SRO composition. It has some problems incorporating substitutional regular solutions.
5. Assessments Using CEF Models Including ab initio Data
- 1.
- Physical soundness.
- 2.
- Compatibility with existing assessments that should be combined with the new assessment.
- 3.
- Amount of experimental and theoretical data.
- 4.
- Extrapolations to higher order systems.
5.1. The Number of Sublattices to Use
5.2. Reducing the Number of Endmember Parameters
5.2.1. Mechanically Unstable Endmembers
5.2.2. Estimating Endmember parameters
6. Conclusions
- DFT is a powerful method to obtain many different kinds of information about materials from basic physical theories.
- The Calphad method uses a mean field theory to model the Gibbs energies of different phases, mainly based on experimental data, in order to calculate phase diagrams and extract the thermodynamic properties of a system.
- Results from DFT calculations fill an important gap in the data needed to determine thermodynamic properties for phase diagram calculations when experiments are very complicated or impossible.
- Increasing the number of DFT calculations and using complex CVM models does not generally give a better phase diagram when compared with experimental data than a simple CEF model based on much fewer DFT calculations.
- Data for stable and metastable phases for the elements and many binary compounds cannot be modified for each phase diagram. For the construction of a multicomponent database, such values must be agreed on at an early stage and can only be slightly modified even if new DFT or experimental data become available later.
- The success of the Calphad method is providing reasonable extrapolations to multi-component systems based on binary and ternary assessments, not giving exact values at a specific composition.
- The SRO contribution to the Gibbs energy of a phase can be approximated with CEF parameters for a phase with LRO.
- For a phase with order–disorder transition, the reciprocal model parameter gives a reasonable approximation to SRO, even when the phase has no LRO.
- Experimental and DFT data can be used together to determine the model parameters in a CEF model.
- The correct crystallography for the phases should be used in the Calphad models. It is possible to fit different sets of model parameters for a phase in order to be compatible with older databases as well.
Author Contributions
Funding
Acknowledgments
Conflicts of Interest
Appendix A. DFT Results
| Formula | Space Grope | Lattice | Sites | Total Energy |
|---|---|---|---|---|
| Parameters | (eV/Atom) | |||
| A1-Fe | Fmm (225) | a = b = c = 3.644 | Fe (4a) 0.000 0.000 0.000 | −8.0585024 |
| L1-FeNi | Pmm (221) | a = b = c = 3.585 | Fe (3d) 0.500 0.000 0.000 | −7.4830550 |
| Ni (1b) 0.500 0.500 0.500 | ||||
| L1-FeNi | P4/mmm (123) | a = b = 2.521 | Fe (1a) 0.000 0.000 0.000 | −6.9027660 |
| c = 3.552 | Ni (1d) 0.500 0.500 0.500 | |||
| L1-FeNi | Pmm (221) | a = b = c = 3.544 | Fe (1a) 0.000 0.000 0.000 | −6.2428418 |
| Ni (3c) 0.500 0.000 0.500 | ||||
| A1-Ni | Fmm (225) | a = b = c = 3.515 | Ni (4a) 0.000 0.000 0.000 | −5.4699578 |
| FeNi | Rm (166) | a = b = 2.464 | Fe (3b) 0.000 0.000 0.500 | −6.8065125 |
| c = 12.052 | Ni (3a) 0.667 0.333 0.333 | |||
| = 120.0 | ||||
| FeNi | Pm1 (164) | a = b = 2.533 | Fe (2d) 0.667 0.333 0.672 | −7.2544473 |
| c = 6.262 | Ni (1a) 0.000 0.000 0.000 | |||
| = 120.0 | ||||
| FeNi | Pm1 (164) | a = b = 2.513 | Fe (1a) 0.000 0.000 0.000 | −6.4067287 |
| c = 6.171 | Ni (2d) 0.667 0.333 0.668 | |||
| = 120.0 | ||||
| FeNi | Immm (71) | a = 2.517 | Fe (2a) 0.000 0.000 0.500 | −6.4476193 |
| b = 3.534 | Ni (4i) 0.500 0.500 0.334 | |||
| c = 7.540 | ||||
| FeNi | Rm (166) | a = b = 2.480 | Fe (6c) 0.000 0.000 0.748 | −7.4203427 |
| c = 24.501 | Fe (3a) 0.333 0.667 0.667 | |||
| = 120.0 | Ni (3b) 0.667 0.333 0.833 | |||
| FeNi | Rm (166) | a = b = 2.524 | Fe (6c) 0.000 0.000 0.875 | −6.8181210 |
| c = 24.589 | Ni (6c) 0.333 0.667 0.042 | |||
| = 120.0 | ||||
| FeNi | Rm (166) | a = b = 2.480 | Fe (3b) 0.667 0.333 0.833 | −6.1560090 |
| c = 24.148 | Ni (6c) 0.333 0.667 0.916 | |||
| = 120.0 | Ni (3a) 0.000 0.000 0.000 | |||
| FeNi | C2/m (12) | a = 8.174 | Fe (4i) 0.875 0.000 0.626 | −6.8229973 |
| b = 2.464 | Ni (4i) 0.375 0.000 0.126 | |||
| c = 4.262 | ||||
| = 100.4 | ||||
| FeNi | C2/m (12) | a = 8.187 | Fe (2c) 0.000 0.000 0.500 | −6.1755375 |
| b = 2.479 | Ni (4i) 0.750 0.500 0.250 | |||
| c = 4.275 | Ni (2b) 0.000 0.500 0.000 | |||
| = 100.0 | ||||
| FeNi | I4/amd (141) | a = b = 3.566 | Fe (4b) 0.500 0.000 0.250 | −6.8589782 |
| c = 7.181 | Ni (4a) 0.000 0.000 0.000 | |||
| FeNi | I4/mmm (139) | a = b = 3.499 | Fe (2b) 0.000 0.000 0.500 | −6.2167388 |
| c = 6.995 | Ni (2a) 0.000 0.000 0.000 | |||
| Ni (4d) 0.000 0.500 0.250 | ||||
| FeNi | Pmmn (59) | a = 2.536 | Fe (2b) 0.500 0.000 0.627 | −6.8469643 |
| b = 3.553 | Ni (2b) 0.500 0.000 0.126 | |||
| c = 5.071 | ||||
| FeNi | P4/nmm (129) | a = b = 2.447 | Fe (2c) 0.000 0.500 0.616 | −6.7401110 |
| c = 6.907 | Ni (2c) 0.000 0.500 0.128 | |||
| FeNi | Rm (166) | a = b = 2.515 | Fe (6c) 0.333 0.667 0.067 | −6.5908792 |
| c = 30.900 | Ni (6c) 0.667 0.333 0.133 | |||
| = 120.0 | Ni (3a) 0.000 0.000 0.000 | |||
| FeNi | Rm (166) | a = b = 2.488 | Fe (6c) 0.000 0.000 0.800 | −6.5399970 |
| c = 30.220 | Ni (6c) 0.667 0.333 0.734 | |||
| = 120.0 | Ni (3a) 0.333 0.667 0.667 | |||
| FeNi | C2/m (12) | a = 8.140 | Fe (4i) 0.207 0.000 0.314 | −7.0140706 |
| b = 2.446 | Fe (2c) 0.500 0.500 0.500 | |||
| c = 6.040 | Ni (4i) 0.598 0.000 0.898 | |||
| = 119.2 | ||||
| FeNi | C2/m (12) | a = 8.324 | Fe (4i) 0.900 0.500 0.101 | −6.5823584 |
| b = 2.520 | Ni (4i) 0.800 0.000 0.701 | |||
| c = 6.171 | Ni (2c) 0.500 0.500 0.500 | |||
| = 119.6 | ||||
| FeNi | C2/m (12) | a = 8.319 | Fe (4i) 0.199 0.000 0.298 | −6.5991808 |
| b = 2.524 | Ni (4i) 0.600 0.000 0.900 | |||
| c = 6.162 | Ni (2c) 0.500 0.500 0.500 | |||
| = 119.6 | ||||
| FeNi | C2/m (12) | a = 7.929 | Fe (4i) 0.099 0.000 0.299 | −6.6103016 |
| b = 3.555 | Ni (4i) 0.700 0.000 0.100 | |||
| c = 5.616 | Ni (2d) 0.500 0.000 0.500 | |||
| = 134.7 | ||||
| FeNi | I4/m (87) | a = b = 5.534 | Fe (2b) 0.500 0.500 0.000 | −6.0571414 |
| c = 3.498 | Ni (8h) 0.800 0.600 0.500 | |||
| FeNi | Immm (71) | a = 2.455 | Fe (2c) 0.500 0.500 0.000 | −7.0520604 |
| b = 3.467 | Fe (4i) 0.000 0.000 0.094 | |||
| c = 12.351 | Ni (4i) 0.500 0.500 0.198 | |||
| FeNi | Immm (71) | a = 2.503 | Fe (4j) 0.000 0.500 0.601 | −6.6265112 |
| b = 3.543 | Ni (4j) 0.500 0.000 0.700 | |||
| c = 12.637 | Ni (2d) 0.500 0.000 0.500 | |||
| FeNi | Immm (71) | a = 2.508 | Fe (4i) 0.500 0.500 0.699 | −6.5780444 |
| b = 3.548 | Ni (4i) 0.000 0.000 0.600 | |||
| c = 12.637 | Ni (2a) 0.000 0.000 0.000 | |||
| FeNi | I4/mmm (139) | a = b = 2.454 | Fe (4e) 0.500 0.500 0.303 | −7.5419412 |
| c = 17.283 | Fe (4e) 0.500 0.500 0.104 | |||
| Ni (2a) 0.000 0.000 0.000 | ||||
| FeNi | I4/mmm (139) | a = b = 2.461 | Fe (4e) 0.000 0.000 0.205 | −7.0416628 |
| c = 17.416 | Fe (2a) 0.500 0.500 0.500 | |||
| Ni (4e) 0.000 0.000 0.599 | ||||
| FeNi | I4/mmm (139) | a = b = 2.513 | Fe (4e) 0.000 0.000 0.100 | −6.6305130 |
| c = 17.771 | Ni (4e) 0.500 0.500 0.200 | |||
| Ni (2b) 0.500 0.500 0.000 | ||||
| FeNi | I4/mmm (139) | a = b = 2.514 | Fe (4e) 0.500 0.500 0.700 | −6.5752088 |
| c = 17.829 | Ni (4e) 0.000 0.000 0.600 | |||
| Ni (2a) 0.000 0.000 0.000 | ||||
| FeNi | Cmmm (65) | a = 3.559 | Fe (2a) 0.500 0.000 0.000 | −6.8790688 |
| b = 10.714 | Fe (4j) 0.000 0.666 0.500 | |||
| c = 3.561 | Ni (4i) 0.500 0.667 0.000 | |||
| Ni (2c) 0.000 0.000 0.500 | ||||
| FeNi | Cmmm (65) | a = 3.547 | Fe (4i) 0.500 0.666 0.000 | −6.4522342 |
| b = 10.645 | Ni (4j) 0.000 0.667 0.500 | |||
| c = 3.548 | Ni (2b) 0.500 0.000 0.000 | |||
| Ni (2d) 0.000 0.000 0.500 | ||||
| FeNi | C2/m (12) | a = 4.275 | Fe (2a) 0.000 0.000 0.000 | −6.8185202 |
| b = 7.365 | Fe (4h) 0.000 0.833 0.500 | |||
| c = 4.271 | Ni (4g) 0.000 0.333 0.000 | |||
| = 110.0 | Ni (2d) 0.000 0.500 0.500 | |||
| FeNi | C2/m (12) | a = 4.361 | Fe (4h) 0.000 0.833 0.500 | −6.4018230 |
| b = 7.552 | Ni (4g) 0.000 0.333 0.000 | |||
| c = 4.345 | Ni (2d) 0.000 0.500 0.500 | |||
| = 109.8 | Ni (2a) 0.000 0.000 0.000 | |||
| FeNi | Pm1 (164) | a = b = 2.462 | Fe (2d) 0.333 0.667 0.167 | −6.7631747 |
| c = 11.976 | Fe (1a) 0.000 0.000 0.000 | |||
| = 120.0 | Ni (2d) 0.333 0.667 0.667 | |||
| Ni (1b) 0.000 0.000 0.500 | ||||
| FeNi | Pmmm (47) | a = 2.466 | Fe (2r) 0.000 0.500 0.332 | −6.7725910 |
| b = 3.462 | Fe (1d) 0.500 0.000 0.500 | |||
| c = 7.406 | Ni (1e) 0.000 0.500 0.000 | |||
| Ni (2s) 0.500 0.000 0.833 | ||||
| FeNi | P4/mmm (123) | a = b = 2.445 | Fe (2g) 0.000 0.000 0.667 | −7.6497458 |
| c = 10.406 | Fe (2h) 0.500 0.500 0.826 | |||
| Fe (1d) 0.500 0.500 0.500 | ||||
| Ni (1a) 0.000 0.000 0.000 | ||||
| FeNi | P4/mmm (123) | a = b = 2.468 | Fe (1a) 0.000 0.000 0.000 | −7.2382870 |
| c = 10.384 | Fe (1d) 0.500 0.500 0.500 | |||
| Fe (2g) 0.000 0.000 0.667 | ||||
| Ni (2h) 0.500 0.500 0.167 | ||||
| FeNi | P4/mmm (123) | a = b = 2.454 | Fe (1b) 0.000 0.000 0.500 | −6.7959257 |
| c = 10.400 | Fe (2h) 0.500 0.500 0.667 | |||
| Ni (2g) 0.000 0.000 0.167 | ||||
| Ni (1c) 0.500 0.500 0.000 | ||||
| FeNi | R (148) | a = b = 6.569 | Fe (3a) 0.000 0.000 0.000 | −5.8977626 |
| c = 6.077 | Ni (18f) 0.952 0.762 0.333 | |||
| = 120.0 | ||||
| FeNi | Rm (166) | a = b = 2.458 | Fe (6c) 0.333 0.667 0.810 | −6.9524643 |
| c = 42.012 | Fe (6c) 0.667 0.333 0.905 | |||
| = 120.0 | Ni (6c) 0.333 0.667 0.952 | |||
| Ni (3a) 0.000 0.000 0.000 | ||||
| FeNi | Immm (71) | a = 2.466 | Fe (4i) 0.500 0.500 0.643 | −6.6858293 |
| b = 3.485 | Fe (2a) 0.500 0.500 0.500 | |||
| c = 17.359 | Ni (4i) 0.000 0.000 0.714 | |||
| Ni (4i) 0.000 0.000 0.571 | ||||
| FeNi | P2/m (10) | a = 6.012 | Fe (2n) 0.256 0.500 0.762 | −7.0955182 |
| b = 2.452 | Fe (1b) 0.000 0.500 0.000 | |||
| c = 6.040 | Fe (2m) 0.624 0.000 0.885 | |||
| = 109.3 | Ni (1h) 0.500 0.500 0.500 | |||
| Ni (2m) 0.123 0.000 0.373 | ||||
| FeNi | I4/mmm (139) | a = b = 3.497 | Fe (4e) 0.000 0.000 0.875 | −6.2303445 |
| c = 14.022 | Ni (4c) 0.000 0.500 0.000 | |||
| Ni (4e) 0.500 0.500 0.875 | ||||
| Ni (4d) 0.500 0.000 0.750 | ||||
| FeNi | Immm (71) | a = 2.444 | Fe (8l) 0.000 0.162 0.331 | −7.4754769 |
| b = 7.358 | Fe (4j) 0.500 0.000 0.827 | |||
| c = 10.423 | Fe (2d) 0.500 0.000 0.500 | |||
| Ni (4g) 0.500 0.667 0.500 |
References
- Kikuchi, R. A theory of Cooperative Phenomena. Phys. Rev. 1951, 81, 988. [Google Scholar] [CrossRef]
- Hillert, M. The Compound Energy Formalism. J. Alloys Compd. 2001, 320, 161–176. [Google Scholar] [CrossRef]
- Sundman, B.; Fries, S.; Oates, W. A Thermodynamic Assessment of the Au-Cu System. Calphad 1998, 22, 335–354. [Google Scholar] [CrossRef]
- Liu, Z.K.; Chen, L.Q.; Raghavan, P.; Du, Q.; Sofo, J.O.; Langer, S.A.; Wolvertion, C. An integrated framework for multi-scale materials simulation and design. J. Computer-Aided Mater. Des. 2004, 11, 183–199. [Google Scholar] [CrossRef]
- Korzhavyi, P.A.; Sundman, B.; Selleby, M.; Johansson, B. Atomic, Electronic and Magnetic structure of iron based sigma phases. MRS Online Proc. Library Arch. 2005, 842. [Google Scholar] [CrossRef]
- Turchi, P.; Abrikosov, I.; Burton, B.; Fries, S.; Grimvall, G.; Kaufman, L.; Korzhavyi, P.; Manga, V.R.; Ohno, M.; Pisch, A.; et al. Interface between quantum-mechanical-based approaches, experiments and Calphad methodology. Calphad 2007, 31, 14–27. [Google Scholar] [CrossRef]
- Palumbo, M.; Burton, B.; Costa e Silva, A.; Grabowski, B.; Grimvall, G.; Hallstedt, B.; Hellman, O.; Lindahl, B.; Schneider, A.; Turchi, P.E.A.; et al. Thermodynamic modelling of crystalline unary phases. Phys. Status Solidi B 2014, 251, 14–32. [Google Scholar] [CrossRef]
- Lindahl, B.B.; Burton, B.P.; Selleby, M. Ordering in ternary BCC alloys applied to the Al-Fe-Mn system. Calphad 2015, 51, 211–219. [Google Scholar] [CrossRef]
- Dupin, N.; Kattner, U.R.; Sundman, B.; Palumbo, M.; Fries, S.G. Implementation of an Effective Bond Energy Formalism in the Multicomponent Calphad Approach. J. Res. NIST 2019, 123, 123020. [Google Scholar] [CrossRef]
- Dinsdale, A. SGTE data for pure elements. Calphad 1991, 15, 317–425. [Google Scholar] [CrossRef]
- Lukas, H.L.; Fries, S.G.; Sundman, B. Computational Thermodynamics, the Calphad Method; Cambridge University Press: Cambridge, UK, 2007. [Google Scholar] [CrossRef]
- Kopp, H. Über die spezifische Wärme starrer Körper, und folgerungen bezueglich der Zusammengesetzheit s. g. chemischer elemente. Ann. Chem. Pharm. 1864, 126, 362–372. [Google Scholar] [CrossRef]
- Neumann, F. Beobachtungen über die spezifische Wärme verschiedener namentlish zusammengesetzter Körper. Ann. Phys. Chem. 1865, 202, 123–142. [Google Scholar] [CrossRef]
- Kaufman, L. The lattice stability of Metals - I. Titanium and zirconium. Acta Metall. 1959, 7, 575–587. [Google Scholar] [CrossRef]
- Kaufman, L.; Bernstein, H. Computer Calculations of Phase Diagrams; Academic Press: New York, NY, USA, 1970. [Google Scholar]
- Skriver, H.L. Crystal structure from one-electon theory. Phys. Rev. B 1985, 31. [Google Scholar] [CrossRef] [PubMed]
- van de Walle, A. Reconciling SGTE and Ab initio enthalpies of the elements. Calphad 2018, 60, 1–6. [Google Scholar] [CrossRef]
- Chen, Q.; Sundman, B. Modeling of Thermodynamic Properties for Bcc, Fcc, Liquid and Amorphous Iron. J. Phase Equilib. 2001, 22. [Google Scholar] [CrossRef]
- Becker, C.A.; Ågren, J.; Baricco, M.; Chen, Q.; Decterov, S.A.; Kattner, U.R.; Perepezko, J.H.; Pottlacher, G.R.; Selleby, M. Thermodynamic modelling of liquids: CALPHAD approaches and contributions from statistical physics. Phys. Status Solidi B 2014, 251, 33–52. [Google Scholar] [CrossRef]
- Bigdeli, S.; Ehtehsami, H.; Chen, Q.; Mao, H.; Korzhavyi, P.A.; Selleby, M. New description of metastable hcp phase for unaries Fe and Mn: Coupling between first-principles calculations and Calphad modeling. Phys. Status Solidi B 2016, 253, 1830–1836. [Google Scholar] [CrossRef]
- Bigdeli, S.; Zhu, L.; Glensk, A.; Grabowski, B.; Lindahl, B.; Hickel, T.; Selleby, M. An insight into using DFT data for Calphad modeling of solid phases in the third generation of Calphad databases, a case study for Al. Calphad 2019, 65, 79–85. [Google Scholar] [CrossRef]
- Sundman, B.; Kattner, U.R.; Hillert, M.; Selleby, M.; Ågren, J.; Bigdeli, S.; Chen, Q.; Dinsdale, A.; Hallstedt, B.; Khvan, A.; et al. A method for handling the extrapolation of solid crystalline phases to temperatures far above their melting point. Calphad 2020, 68, 101737. [Google Scholar] [CrossRef]
- Sundman, B.; Ohnuma, I.; Dupin, N.; Kattner, U.; Fries, S. An Assessment of the entire Al-Fe system including D03 ordering. Acta Mater. 2009, 57, 2896–2908. [Google Scholar] [CrossRef]
- Lui, X.; Vinograd, V.L.; Nichenko, S.; Kulik, D.A.; Lu, X.; Björn, W. Emulation of short-range ordering within the Compound Energy Formalism: Application to the calcite-magnesite solid solution. Calphad 2019, 64, 115–125. [Google Scholar]
- Temkin, M. Mixtures of Fused Salts as Ionic Solutions. Acta Phys. Chem. 1945, 20, 411–420. [Google Scholar]
- Hillert, M.; Staffansson, L.I. The Regular Solution Model for Stoichiometric Phases and Ionic Melts. Acta Chem. Scand. 1970, 24, 3618–3626. [Google Scholar] [CrossRef]
- Sundman, B.; Ågren, J. A regular solution model for phases with several components and sublattices, suitable for computer applications. J. Phys. Chem. Solids 1981, 42, 297–301. [Google Scholar] [CrossRef]
- Andersson, J.O.; Helander, T.; Höglund, L.; Shi, P.; Sundman, B. Thermo-Calc & DICTRA, computational tools for materials science. Calphad 2002, 26, 273–312. [Google Scholar] [CrossRef]
- Hillert, M. Phase Equilibria, Phase Diagrams and Phase Transformations, 2nd ed.; Cambridge University Press: Cambridge, UK, 2007. [Google Scholar] [CrossRef]
- Sluiter, M.H.F. Ab initio lattice stabilities of some elemental complex structures. Calphad 2006, 30, 357–366. [Google Scholar] [CrossRef]
- Ansara, I.; Sundman, B.; Willemin, P. Thermodynamic Modeling of Ordered Phases in the Ni-Al System. Acta Metall. 1988, 36, 977–982. [Google Scholar] [CrossRef]
- Kusoffsky, A.; Sundman, B. Irregular composition-dependence of the configurational heat capacity in the modelling of ordered alloys. J. Phys. Chem. Solids 1998, 59, 1449–1553. [Google Scholar] [CrossRef]
- Sluiter, M.; Kawazoe, Y. Explanation for the configurational heat capacity of ordered phases. Phys. Rev. B 1999, 59, 3280–3282. [Google Scholar] [CrossRef]
- Ansara, I.; Dupin, N.; Lukas, H.; Sundman, B. Thermodynamic Assessment of the Al-Ni System. J. Alloys Compd. 1997, 247, 20–30. [Google Scholar] [CrossRef]
- Shockley, W. Theory of Order for the Copper Gold Alloy System. J. Chem. Phys. 1938, 6, 130–144. [Google Scholar] [CrossRef]
- van Baal, C.M. Order-disorder transformations in a generalized Ising alloy. Physica 1973, 64, 571–586. [Google Scholar] [CrossRef]
- Kikuchi, R.; van Baal, C.M. Phase diagrams of FCC and BCC ordered alloys. Scr. Metall. 1974, 8, 425–429. [Google Scholar] [CrossRef]
- Kikuchi, R.; de Fontaine, D. Calculation of Cu-Au phase-diagram by Cluster Variation Method. JOM 1976, 28, A27. [Google Scholar]
- Kusoffsky, A.; Dupin, N.; Sundman, B. On the Compound Energy Formalism Applied to fcc Ordering. Calphad 2001, 25, 549–565. [Google Scholar] [CrossRef]
- TCSAB Superalloy Database. Available online: https://www.thermocalc.com (accessed on 15 May 2020).
- Cacciamani, G.; Dinsdale, A.; Palumbo, M.; Pasturel, A. The Fe-Ni system: Thermodynamic modelling assisted by atomistic calculations. Intermetallics 2010, 18, 1148–1162. [Google Scholar] [CrossRef]
- Ohnuma, I.; Shimenouchi, S.; Omori, T.; Ishida, K.; Kainuma, R. Experimental determiination and thermodynamic evaluation of low-temperature phase equilibria in the Fe-Ni system. Calphad 2019, 67, 101677. [Google Scholar] [CrossRef]
- de Fontaine, D. Configurational Thermodynamics of Solid Solutions; Elsevier: Amsterdam, The Netherlands, 1979; Volume 34, pp. 73–274. [Google Scholar] [CrossRef]
- Kresse, G.; Furthmüller, J. Efficient iterative schemes for ab inito total-energy calculations using a plane-wave basis set. Phys. Rev. B 1996, 54, 11169–11186. [Google Scholar] [CrossRef]
- Kresse, G.; Furthmüller, J. Efficiency of ab-initio total energy calculations for metals and semicinductors using a plane-wave basis. Comp. Mater. Sci. 1996, 6, 15–50. [Google Scholar] [CrossRef]
- Blöchl, P.E. Projector augmented-wave method. Phys. Rev. B 1994, 50, 17953–17979. [Google Scholar] [CrossRef] [PubMed]
- Kresse, G.; Joubert, D. From ultrasoft pseudopotentials to the projector augmented-wave method. Phys. Rev. B 1999, 59, 1758–1775. [Google Scholar] [CrossRef]
- Perdew, J.P.; Burke, K.; Ernzerhof, M. Generalized gradient approximation made simple. Phys. Rev. Lett. 1997, 78, 1396. [Google Scholar] [CrossRef]
- Methfessel, M.; Paxton, A.T. High-precision sampling for Brillouin-zone integration in metals. Phys. Rev. B 1989, 40, 3616–3621. [Google Scholar] [CrossRef] [PubMed]
- Sluiter, M.H.F.; Colinet, C.; Pasturel, A. Ab initio calculation of the phase stability in Au-Pd and Ag-Pt alloys. Phys. Rev. B 2006, 73, 174204. [Google Scholar] [CrossRef]
- Sluiter, M.H.F.; Watanabe, Y.; de Fontaine, D.; Kawazoe, Y. First-principles calculation of the pressure dependence of phase equilibria in the Al-Li system. Phys. Rev. B 1996, 53, 6137. [Google Scholar] [CrossRef] [PubMed]
- Inden, G. The role of magnetism in the calculation of phase-diagrams. Phys. B 1981, 103B, 82–100. [Google Scholar] [CrossRef]
- Ohtani, H.; Tanaka, T.; Hasebe, M.; Nishizawa, T. Calculation of the Fe-C-Ti ternary phase diagram. Calphad 1988, 12, 225–246. [Google Scholar] [CrossRef]
- Connetable, D.; Lacaze, J.; Maugis, P.; Sundman, B. A Calphad Assessment of Al-C-Fe System with the κ Carbide Modeled as an Ordered Form of the fcc Phase. Calphad 2008, 32, 361–370. [Google Scholar] [CrossRef]
- Zheng, W.; He, S.; Selleby, M.; He, Y.; Li, L.; Lu, X.G.; Ågren, J. Thermodynamic assessment of the Al-C-Fe system. Calphad 2017, 58, 34–49. [Google Scholar] [CrossRef]
- Sundman, B. An Assessment of the Fe-O System. J. Phase Equilib. 1991, 12, 127–140. [Google Scholar] [CrossRef]
- Jak, E.; Hayes, P.C.; Degterov, S.; Pelton, A.D. Coupled experimental and thermodynamic study of the Zn-Fe-Si-O system. Metall. Mater. Trans. B 2001, 32B, 793–800. [Google Scholar] [CrossRef]
- Kjellqvist, L.; Selleby, M.; Sundman, B. Thermodynamic modelling of the Cr-Fe-Ni-O system. Calphad 2008, 32, 577–592. [Google Scholar] [CrossRef]
- Brese, R.G.; McMurray, J.W.; Shin, D.; Bessman, T.M. Thermodynamic assessment of the U-Y-O system. J. Nucl. Mater. 2015, 40, 5–12. [Google Scholar] [CrossRef]
- Guéneau, C.; Flèche, J.L. Thermodynamic assessment of the cesium-oxygen system by coupling density functional theory and CALPHAD approaches. Calphad 2015, 49, 67–78. [Google Scholar] [CrossRef]
- Lin, C.; Wang, S.; Chen, G.; Wang, K.; Cheng, Z.; Lu, X.; Li, C. Thermodynamic evaluation of the BaO-ZrO2-YO1.5 system. Ceram. Int. 2016, 42, 13738–13747. [Google Scholar] [CrossRef]
- Kang, Y.B.; Jung, I.H. Critical evaluations and thermodynamic optimizations of the MnO-Mn2O3-SiO2 and FeO-Fe2O3-MnO-Mn2O3-SiO2 systems. Metal. Mater. Trans. B 2017, 48B, 1721–1735. [Google Scholar] [CrossRef]
- Shishin, D.; Hidayat, T.; Jak, E. Thermodynamic assessment of the CaO-Cu2O-FeO-Fe2O3 system. Calphad 2020, 68, 101715. [Google Scholar] [CrossRef]
- Guéneau, C.; Baichi, M.; Labroche, M.; Chatillon, C.; Sundman, B. Thermodynamic Assessment of the Uranium-Oxygen System. J. Nucl. Mater. 2002, 304, 161–175. [Google Scholar] [CrossRef]
- Samuelsson, K.; Dumas, J.C.; Sundman, B.; Lamontagne, J.; Guéneau, C. Simulation of the chemical state of high burnup (U,Pu)O2 fuel in fast reactors based on thermodynamic calculations. J. Nucl. Mater. 2020, 532, 151969. [Google Scholar] [CrossRef]
- Thermodynamics of Advanced Fuels, International Database. Available online: https://www.oecd-nea.org/science/taf-id (accessed on 15 May 2020).
- Crocombette, J.P.; Jollet, F.; Then Nga, L.; Petit, T. Plane-wave pseudopotental study of point defects in uranium oxide. Phys. Rev. B 2001, 64, 104107. [Google Scholar] [CrossRef]
- Vathonne, E.; Wiktor, J.; Freyss, M.; Jomard, G.; Bertolus, M. DFT + U investigation of charged point defects and clusters in UO2. J. Phys. Condens. Matter 2014, 26, 325501. [Google Scholar] [CrossRef] [PubMed]
- Sundman, B.; Guéneau, C.; Dupin, N. Modeling multiple defects in ionic phases like UO2±x using the compound energy formalism. Acta Mater. 2011, 59, 6039–6047. [Google Scholar] [CrossRef]
- Wagner, C.; Schottky, W. Theorie der geordneten Mischphasen. Z. Phys. Chem. B 1930, 11, 163–210. [Google Scholar]
- Rogal, J.; Divinski, S.; Finnis, M.; Glensk, A.; Neugebauer, J.; Perepezko, J.; Schuwalow, S.; Sluiter, M.; Sundman, B. Perspectives on Point Defect Thermodynamics. Phys. Status Solidi B 2014, 251, 97–129. [Google Scholar] [CrossRef]
- Sundman, B.; Dupin, N. Personal communication, 2003.
- Lu, X.G.; Sundman, B.; Ågren, J. Thermodynamic Assessments of the Ni-Pt and Al-Ni-Pt systems. Calphad 2009, 33, 450–456. [Google Scholar] [CrossRef]
- Delandar, A.H.; Gorbatov, O.I.; Selleby, M.; Gornostyrev, Y.N.; Korzhavyi, P.A. End-member compounds of a 4-sublattice model of multicomponent BCC solid solutions. Data Brief 2018, 20, 1018–1022. [Google Scholar] [CrossRef]
- Hillert, M.; Jansson, B.; Sundman, B.; Ågren, J. A Two-sublattice Model for Molten Solutions with Different Tendency for Ionization. Metall. Trans. A 1985, 16, 261–266. [Google Scholar] [CrossRef]
- Pelton, A.; Degterov, S.; Eriksson, G.; Robelin, C.; Dessureault, Y. The Modified Quasichemical Model I - Binary Solutions. Metall. Mater. Trans. B 2000, 31, 651–659. [Google Scholar] [CrossRef]
- Crivello, J.C.; Joubert, J.M.; Mohri, T. Atomic interactions in C15 Laves phases. J. Mater. Sci. 2018, 54, 4742–4753. [Google Scholar] [CrossRef]
- Palumbo, M.; Fries, S.G.; Hammerschmidt, T.; Abe, T.; Crivello, J.C.; Breidi, A.A.; Joubert, J.M.; Drautz, R. First-principles-based phase diagrams and thermodynamic properties of TCP phases in the Re-X systems (X=Ta, V, W). Comp. Mat. Sci. 2014, 81, 433–445. [Google Scholar] [CrossRef]
- Antolin, N.; Restrepo, O.D.; Windl, W. Fast free-energy calculations for unstable high-temperature phases. Phys. Rev. B 2012, 86, 05119. [Google Scholar] [CrossRef]
- Ansara, I. (LTPCM, INPG, Grenoble). Personal communication, 1990.
- Hillert, M.; Kjellqvist, L.; Mao, H.; Selleby, M.; Sundman, B. Parameters in the compound energy formalism for ionic systems. Calphad 2009, 33, 227–232. [Google Scholar] [CrossRef]












| Type | Site | ||||
|---|---|---|---|---|---|
| 0 | null | - | 1 | 1 | 1 |
| 1 | single | A | 3/4 | 1/2 | 1/4 |
| 2 | pair | A, B | 1/2 | 1/6 | 0 |
| 3 | pair | A, C | 3/4 | 1/2 | 1/4 |
| 4 | 3 points | A, B, D | 1/4 | 0 | 0 |
| 5 | 3 points | A, B, C | 1/2 | 1/6 | 0 |
| 6 | 4 points | A, B, F, G | 0 | 0 | 0 |
| 7 | 4 points | A, B, C, D | 1/4 | 0 | 0 |
| 8 | 4 points | A, B, C, E | 1/2 | 1/6 | 0 |
| 9 | 5 points | A, B, C, D, E | 1/4 | 0 | 0 |
| 10 | 6 points | A, B, C, D, E, G | 1/4 | 0 | 0 |
© 2020 by the authors. Licensee MDPI, Basel, Switzerland. This article is an open access article distributed under the terms and conditions of the Creative Commons Attribution (CC BY) license (http://creativecommons.org/licenses/by/4.0/).
Share and Cite
Enoki, M.; Sundman, B.; Sluiter, M.H.F.; Selleby, M.; Ohtani, H. Calphad Modeling of LRO and SRO Using ab initio Data. Metals 2020, 10, 998. https://doi.org/10.3390/met10080998
Enoki M, Sundman B, Sluiter MHF, Selleby M, Ohtani H. Calphad Modeling of LRO and SRO Using ab initio Data. Metals. 2020; 10(8):998. https://doi.org/10.3390/met10080998
Chicago/Turabian StyleEnoki, Masanori, Bo Sundman, Marcel H. F. Sluiter, Malin Selleby, and Hiroshi Ohtani. 2020. "Calphad Modeling of LRO and SRO Using ab initio Data" Metals 10, no. 8: 998. https://doi.org/10.3390/met10080998
APA StyleEnoki, M., Sundman, B., Sluiter, M. H. F., Selleby, M., & Ohtani, H. (2020). Calphad Modeling of LRO and SRO Using ab initio Data. Metals, 10(8), 998. https://doi.org/10.3390/met10080998

