Evaluation of Surface Integrity in 18CrNiMo7-6 Steel after Multiple Abrasive Waterjet Peening Process
Abstract
1. Introduction
2. Experimental Methods
2.1. Materials
2.2. AWJP Processes
2.3. Residual Stresses and Microstructure Measurements
3. Results and Discussion
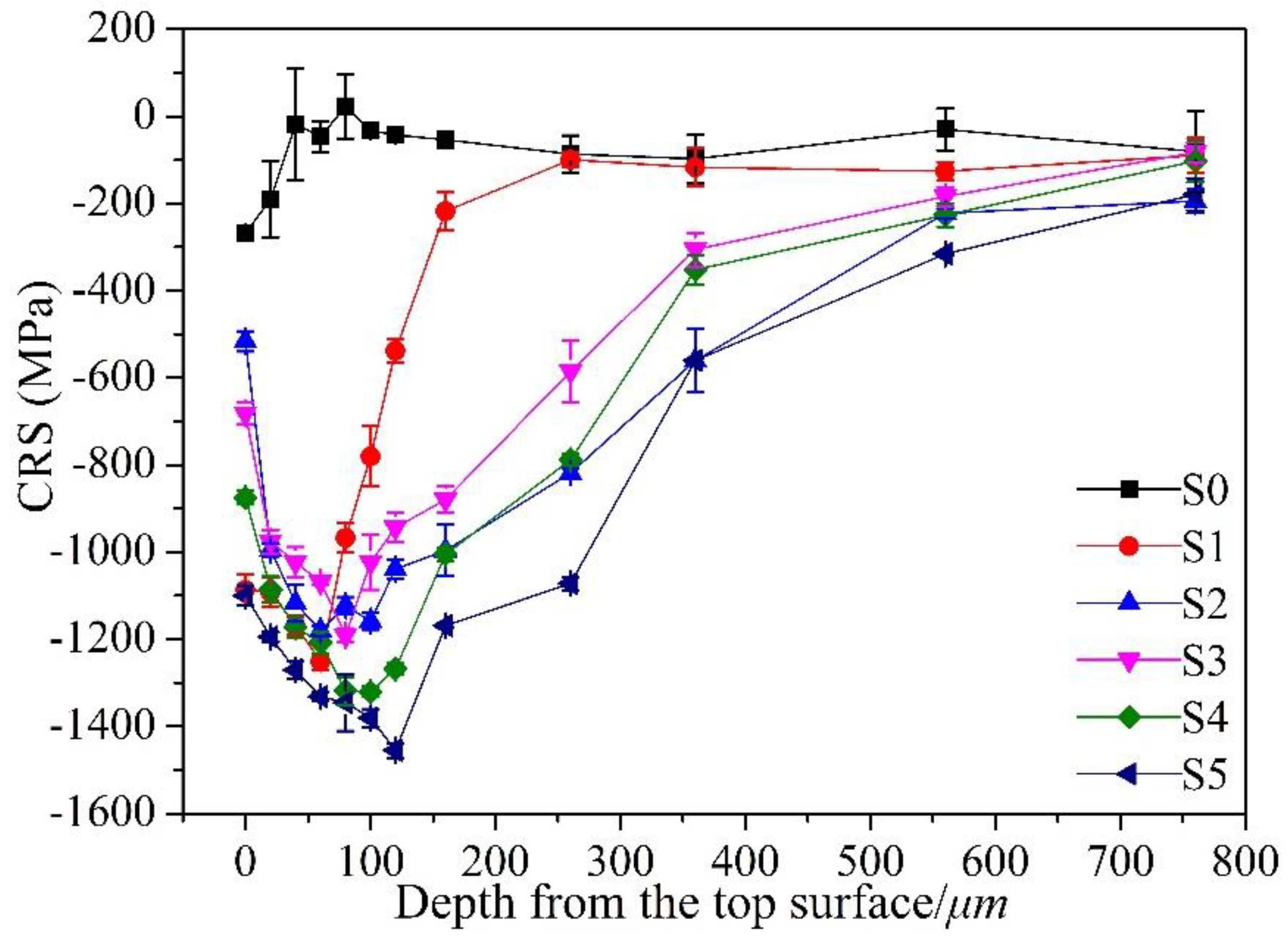
3.1. Residual Stress Analyses
3.2. Surface Morphology and Roughness
3.3. Hardness
3.4. Microstructure
4. Conclusions
Author Contributions
Funding
Conflicts of Interest
References
- Smith, D.; Joris, O.P.J.; Sankaran, A.; Weekes, H.E.; Bull, D.J.; Prior, T.J.; Dye, D.; Errandonea, D.; Proctor, J.E. On the high-pressure phase stability and elastic properties of β-titanium alloys. J. Phys. Condens. Matter 2017, 29, 1–7. [Google Scholar] [CrossRef] [PubMed]
- Grajcar, A.; Morawiec, M.; Zalecki, W. Austenite Decomposition and Precipitation Behavior of Plastically Deformed Low-Si Microalloyed Steel. Metals 2018, 8, 1028. [Google Scholar] [CrossRef]
- Mandal, P.; Olasolo, M.; Silva, L.D.; Lalvani, H. Impact of a Multi-Step Heat Treatment on Different Manufacturing Routes of 18crnimo7-6 Steel. Met. Mater. Trans. A 2020, 51, 3009–3029. [Google Scholar] [CrossRef]
- Wagner, L. Mechanical Surface Treatments on Titanium, Aluminum and Magnesium Alloys. Mater. Sci. Eng. A Struct. Mater. Prop. Microstruct. Process. 1999, 263, 210–216. [Google Scholar] [CrossRef]
- Ho, H.S.; Li, D.L.; Zhang, E.L.; Niu, P.H. Shot Peening Effects on Subsurface Layer Properties and Fatigue Performance of Case-Hardened 18crnimo7-6 Steel. Adv. Mater. Sci. Eng. 2018, 2018, 3795798. [Google Scholar] [CrossRef]
- Soyama, H. Comparison between Shot Peening, Cavitation Peening, and Laser Peening by Observation of Crack Initiation and Crack Growth in Stainless Steel. Metals 2010, 10, 63–80. [Google Scholar] [CrossRef]
- Lu, Y.; Sun, G.F.; Wang, Z.D.; Su, B.Y.; Zhang, Y.K.; Ni, Z.H. The Effects of Laser Peening on Laser Additive Manufactured 316l Steel. Int. J. Adv. Manuf. Technol. 2020, 107, 2239–2249. [Google Scholar] [CrossRef]
- Langer, K.; Spradlin, T.J.; Fitzpatrick, M.E. Finite Element Analysis of Laser Peening of Thin Aluminum Structures. Metals 2020, 10, 93. [Google Scholar] [CrossRef]
- Tao, N.R.; Lu, K. Preparation Techniques for Nano Structured Metallic Materials via Plastic Deformation. Acta Met. Sin. 2014, 5, 141–147. [Google Scholar] [CrossRef]
- Li, W.L.; Tao, N.R.; Lu, K. Fabrication of a Gradient Nano-Micro-Structured Surface Layer on Bulk Copper by Means of a Surface Mechanical Grinding Treatment. Scr. Mater. 2008, 59, 546–549. [Google Scholar] [CrossRef]
- Huang, H.W.; Wang, Z.B.; Liu, L.; Yong, X.P.; Lu, K. Formation of a Gradient Nanostructured Surface Layer on a Martensitic Stainless Steel and Its Effects on the Electrochemical Corrosion Behavior. Acta Met. Sin. 2015, 51, 513–518. [Google Scholar] [CrossRef]
- Tao, N.R.; Wang, Z.B.; Tong, W.P.; Sui, M.L.; Lu, J.; Lu, K. An Investigation of Surface Nanocrystallization Mechanism in Fe Induced by Surface Mechanical Attrition Treatment. Acta Mater. 2020, 50, 4603–4616. [Google Scholar] [CrossRef]
- Li, X.Y.; Lu, K. Playing with Defects in Metals. Nat. Mater. 2017, 16, 700–701. [Google Scholar] [CrossRef] [PubMed]
- Fu, H.; Liang, Y.L. Study of the Surface Integrity and High Cycle Fatigue Performance of Aisi 4340 Steel after Composite Surface Modification. Metals 2019, 9, 856. [Google Scholar] [CrossRef]
- Zhang, M.; He, Z.S.; Zhang, Y.X.; Wang, X.D.; Zhao, S.S.; Fu, T.; Chen, L. Theoretical and Finite Element Analysis of Residual Stress Field for Different Geometrical Features after Abrasive Waterjet Peening. J. Press. Vessel Technol. Trans. ASME 2018, 141, 11401–11412. [Google Scholar] [CrossRef]
- Arola, D.; Alade, A.E.; Weber, W. Improving Fatigue Strength of Metals Using Abrasive Waterjet Peening. Mach. Sci. Tech. 2006, 10, 197–218. [Google Scholar] [CrossRef]
- Arola, D.; McCain, M.L.; Kunaporn, S.; Ramulu, M. Waterjet and Abrasive Waterjet Surface Treatment of Titanium: A Comparison of Surface Texture and Residual Stress. Wear 2001, 249, 943–950. [Google Scholar] [CrossRef]
- Sadasivam, B.; Arola, D. Finite Element Based Evaluation of Abrasive Waterjet Peening with Elastic Prestress: Effect of Prestress Loading. Int. Mech. Eng. Congr. Expo. 2013, 3, 2091–2096. [Google Scholar] [CrossRef]
- Chen, M.; Liu, H.B.; Wang, L.B.; Wang, C.X.; Zhu, K.Y.; Xu, Z.; Jiang, C.H.; Ji, V. Evaluation of the Residual Stress and Microstructure Character in Saf 2507 Duplex Stainless Steel after Multiple Shot Peening Process. Surf. Coat. Technol. 2018, 344, 132–140. [Google Scholar] [CrossRef]
- Feng, Q.; She, J.; Wu, X.Y.; Wang, C.X.; Jiang, C.H. The Effect of Multiple Shot Peening on the Corrosion Behavior of Duplex Stainless Steel. J. Mater. Eng. Perform. 2018, 27, 1396–1403. [Google Scholar] [CrossRef]
- Fu, P.; Jiang, C.H.; Ji, V. Microstructural Evolution and Mechanical Response of the Surface of 18crnimo7-6 Steel after Multistep Shot Peening during Annealing. Mater. Trans. 2013, 54, 2180–2184. [Google Scholar] [CrossRef]
- Fu, P.; Zhan, K.; Jiang, C.H. Micro-Structure and Surface Layer Properties of 18crnimo7-6 Steel after Multistep Shot Peening. Mater. Des. 2013, 51, 309–314. [Google Scholar] [CrossRef]
- Zhan, K.; Jiang, C.H.; Ji, V. Uniformity of Residual Stress Distribution on the Surface of S30432 Austenitic Stainless Steel by Different Shot Peening Processes. Mater. Lett. 2013, 99, 61–64. [Google Scholar] [CrossRef]
- Zou, Y.; Sang, Z.K.; Wang, Q.L.; Li, T.C.; Li, D.L.; Li, Y. Improving the Mechanical Properties of 304 Stainless Steel Using Waterjet Peening. Mater. Sci. Med. 2020, 26, 161–167. [Google Scholar] [CrossRef]
- Noyan, I.C.; Cohen, J.B. Residual Stress Measurement by Diffraction and Interpretation; Springer: New York, NY, USA, 1987. [Google Scholar] [CrossRef]
- Mohamed, A.M.O.; Farhat, Z.; Warkentin, A.; Gillis, J. Effect of a Moving Automated Shot Peening and Peening Parameters on Surface Integrity of Low Carbon Steel. J. Mater. Proc. Technol. 2020, 277, 116399. [Google Scholar] [CrossRef]
- Kobayashi, M.; Matsui, T.; Murakami, Y. Mechanism of Creation of Compressive Residual Stress by Shot Peening. Int. J. Fatigue 1998, 20, 351–357. [Google Scholar] [CrossRef]
- Huber, N.; Heerens, J. On the effect of a general residual stress state on indentation and hardness testing. Acta Mater. 2008, 56, 6205–6213. [Google Scholar] [CrossRef]
- An, X.H.; Lin, Q.Y.; Wu, S.D.; Zhang, Z.F. Improved fatigue strengths of nanocrystalline Cu and Cu-Al alloys. Mater. Res. Lett. 2015, 3, 135–141. [Google Scholar] [CrossRef]








| C | Si | Mn | S | P | Cr | Ni | Mo | Fe | 
|---|---|---|---|---|---|---|---|---|
| 0.18 | 0.4 | 0.60 | ≤0.035 | ≤0.035 | 1.70 | 1.60 | 0.30 | bal | 
| Parameters | Values | 
|---|---|
| Water pressure (MPa) | 5 to 430 | 
| Nozzle diameter (mm) | 2.0 | 
| Moving speed (mm/min) | 500 | 
| Feed (mm) | 0.25 | 
| Incidence angle (°) | 90 | 
| Standoff distance (mm) | 10 | 
| AWJP Method | Sample | Media Materials | Pressure (MPa) | Diameter of Balls (mm) | Peening Time (min) | 
|---|---|---|---|---|---|
| Corresponding sample | S0 | none | none | none | none | 
| Single AWJP | S1 | Ceramic | 200 | 0.1 | 3.2 | 
| Single AWJP | S2 | Cast steel | 200 | 0.2 | 3.2 | 
| Single AWJP | S3 | Cast steel | 300 | 0.2 | 3.2 | 
| Dual AWJP | S4 | Cast steel + ceramic | 300 + 200 | 0.2 + 0.1 | 6.4 | 
| Triple AWJP | S5 | Cast steel + cast steel + ceramic | 300 + 200 + 200 | 0.2 + 0.2 + 0.1 | 9.6 | 
| Sample | Range of Residual Stress/MPa | Average of Residual Stress/MPa | Standard Deviation Values/MPa | R | 
|---|---|---|---|---|
| S0 | −380.79~−420.17 | −410.79 | 17.60 | 23.33 | 
| S1 | −976.94~−1053.4 | −1019.89 | 20.22 | 50.41 | 
| S2 | −443.31~−531.21 | −498.78 | 27.02 | 18.13 | 
| S3 | −655.35~−875.27 | −765.65 | 63.26 | 12.10 | 
| S4 | −604.14~−659.22 | −634.96 | 17.05 | 37.24 | 
| S5 | −1020.99~−1119.77 | −1064.98 | 22.05 | 48.30 | 
| Variant | S0 | S1 | S2 | S3 | S4 | S5 | 
|---|---|---|---|---|---|---|
| Sa (μm) | 0.19 | 1.19 | 0.66 | 2.96 | 0.69 | 1.64 | 
© 2020 by the authors. Licensee MDPI, Basel, Switzerland. This article is an open access article distributed under the terms and conditions of the Creative Commons Attribution (CC BY) license (http://creativecommons.org/licenses/by/4.0/).
Share and Cite
Zou, Y.; Xu, Y.; Li, J.; Liu, S.; Wang, D.; Li, Y. Evaluation of Surface Integrity in 18CrNiMo7-6 Steel after Multiple Abrasive Waterjet Peening Process. Metals 2020, 10, 844. https://doi.org/10.3390/met10060844
Zou Y, Xu Y, Li J, Liu S, Wang D, Li Y. Evaluation of Surface Integrity in 18CrNiMo7-6 Steel after Multiple Abrasive Waterjet Peening Process. Metals. 2020; 10(6):844. https://doi.org/10.3390/met10060844
Chicago/Turabian StyleZou, Yun, Yafeng Xu, Jingkai Li, Shuhao Liu, Dong Wang, and Yang Li. 2020. "Evaluation of Surface Integrity in 18CrNiMo7-6 Steel after Multiple Abrasive Waterjet Peening Process" Metals 10, no. 6: 844. https://doi.org/10.3390/met10060844
APA StyleZou, Y., Xu, Y., Li, J., Liu, S., Wang, D., & Li, Y. (2020). Evaluation of Surface Integrity in 18CrNiMo7-6 Steel after Multiple Abrasive Waterjet Peening Process. Metals, 10(6), 844. https://doi.org/10.3390/met10060844
 
        
 
       