Formation and Thermal Stability of ω-Ti(Fe) in α-Phase-Based Ti(Fe) Alloys
Abstract
1. Introduction
2. Materials and Methods
3. Results
3.1. Characterization of the Initial State of the Samples
3.2. Characterization of the Deformed Samples after HPT Process
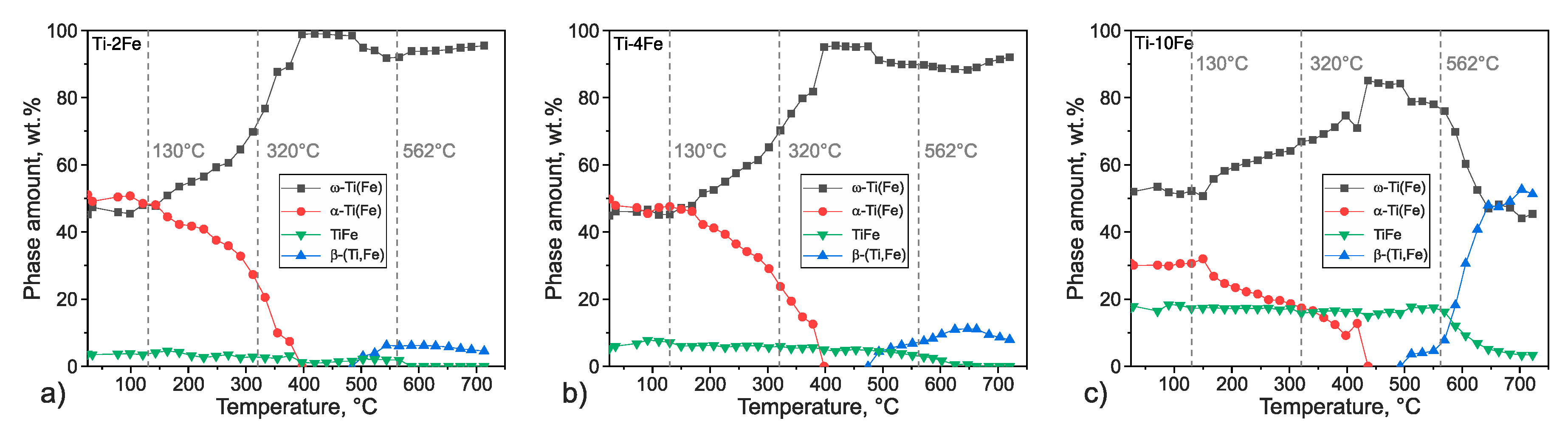
3.3. Thermal Stability of ω-Ti(Fe) Produced by the HPT Process
3.4. Thermodynamic Calculations
4. Discussion
4.1. HPT-Induced Formation of ω-Ti(Fe) in Samples Containing α-Ti As a Dominant Phase
4.2. Thermal Stability of the HPT-Deformed Microstructure
5. Conclusions
Author Contributions
Funding
Acknowledgments
Conflicts of Interest
References
- Lütjering, G.; Williams, J.C. Titanium, 2nd ed.; Springer: Berlin/Heidelberg, Germany, 2007; ISBN 978-3-540-71397-5. [Google Scholar]
 - Ehtemam-Haghighi, S.; Prashanth, K.G.; Attar, H.; Chaubey, A.K.; Cao, G.H.; Zhang, L.C. Evaluation of mechanical and wear properties of TixNb7Fe alloys designed for biomedical applications. Mater. Des. 2016, 111, 592–599. [Google Scholar] [CrossRef]
 - Abdelrhman, Y.; Gepreel, M.A.-H.; Kobayashi, S.; Okano, S.; Okamoto, T. Biocompatibility of new low-cost (α+β)-type Ti-Mo-Fe alloys for long-term implantation. Mater. Sci. Eng. C 2019, 99, 552–562. [Google Scholar] [CrossRef] [PubMed]
 - Zhang, L.-C.; Chen, L.-Y. A review on biomedical titanium alloys: Recent progress and prospect. Adv. Eng. Mater. 2019, 21, 1801215. [Google Scholar] [CrossRef]
 - Sandrock, G. A panoramic overview of hydrogen storage alloys from a gas reaction point of view. J. Alloy. Compd. 1999, 293, 877–888. [Google Scholar] [CrossRef]
 - Sujan, G.K.; Pan, Z.; Li, H.; Liang, D.; Alam, N. An overview on TiFe intermetallic for solid-state hydrogen storage: Microstructure, hydrogenation and fabrication processes. Crit. Rev. Solid State Mater. Sci. 2019, 1–18. [Google Scholar] [CrossRef]
 - Edalati, K.; Akiba, E.; Horita, Z. High-pressure torsion for new hydrogen storage materials. Sci. Technol. Adv. Mater. 2018, 19, 185–193. [Google Scholar] [CrossRef]
 - Emami, H.; Edalati, K.; Matsuda, J.; Akiba, E.; Horita, Z. Hydrogen storage performance of TiFe after processing by ball milling. Acta Mater. 2015, 88, 190–195. [Google Scholar] [CrossRef]
 - Valiev, R.Z.; Islamgaliev, R.K.; Alexandrov, I.V. Bulk nanostructured materials from severe plastic deformation. Prog. Mater. Sci. 2000, 45, 103–189. [Google Scholar] [CrossRef]
 - Zhilyaev, A.P.; Langdon, T.G. Using high-pressure torsion for metal processing: Fundamentals and applications. Prog. Mater. Sci. 2008, 53, 893–979. [Google Scholar] [CrossRef]
 - Bachmaier, A.; Pippan, R. High-Pressure Torsion Deformation Induced Phase Transformations and Formations: New Material Combinations and Advanced Properties. Mater. Trans. 2019, 60, 1256–1269. [Google Scholar] [CrossRef]
 - Mazilkin, A.; Straumal, B.; Kilmametov, A.; Straumal, P.; Baretzky, B. Phase transformations induced by severe plastic deformation. Mater. Trans. 2019, 60, 1489–1499. [Google Scholar] [CrossRef]
 - Sauvage, X.; Chbihi, A.; Quelennec, X. Severe plastic deformation and phase transformations. J. Phys. Conf. Ser. 2010, 240, 12003. [Google Scholar] [CrossRef]
 - Murray, J.L. The Fe-Ti (iron-titanium) system. Bull. Alloy Phase Diagr. 1981, 2, 320–334. [Google Scholar] [CrossRef]
 - Dobromyslov, A.V.; Elkin, V.A. Martensitic transformation and metastable β-phase in binary titanium alloys with d-metals of 4–6 periods. Scr. Mater. 2001, 44, 905–910. [Google Scholar] [CrossRef]
 - Levi, I.; Shechtman, D. The microstructure of rapidly solidified Ti-Fe melt-spun ribbons. Metall. Trans. A 1989, 20, 2841–2845. [Google Scholar] [CrossRef]
 - Stupel, M.M.; Ron, M.; Weiss, B.Z. Phase identification in titanium-rich Ti-Fe system by Mössbauer spectroscopy. J. Appl. Phys. 1976, 47, 6–12. [Google Scholar] [CrossRef]
 - Banerjee, S.; Mukhopadhyay, P. Phase Transformations; Elsevier Science: Amsterdam, The Netherlands, 2007. [Google Scholar]
 - Heo, T.W.; Shih, D.S.; Chen, L.Q. Kinetic pathways of phase transformations in two-phase Ti alloys. Metall. Mater. Trans. A 2014, 45, 3438–3445. [Google Scholar] [CrossRef]
 - Matyka, J.; Faudot, F.; Bigot, J. Study of iron solubility in α titanium. Scr. Metall. 1979, 13, 645–648. [Google Scholar] [CrossRef]
 - Nosova, G.I.; D’yakonova, N.B.; Lyasotskii, I.V. Metastable phases of electron type in titanium alloys with 3d-metals. Met. Sci. Heat Treat. 2006, 48, 427–432. [Google Scholar] [CrossRef]
 - Sikka, S.K.; Vohra, Y.K.; Chidambaram, R. Omega phase in materials. Prog. Mater. Sci. 1982, 27, 245–310. [Google Scholar] [CrossRef]
 - Straumal, B.B.; Kilmametov, A.R.; Ivanisenko, Y.; Gornakova, A.S.; Mazilkin, A.A.; Kriegel, M.J.; Fabrichnaya, O.B.; Baretzky, B.; Hahn, H. Phase transformations in Ti-Fe alloys Induced by high-pressure torsion. Adv. Eng. Mater. 2015, 17, 1835–1841. [Google Scholar] [CrossRef]
 - Straumal, B.B.; Kilmametov, A.R.; Ivanisenko, Y.; Mazilkin, A.A.; Valiev, R.Z.; Afonikova, N.S.; Gornakova, A.S.; Hahn, H. Diffusive and displacive phase transitions in Ti-Fe and Ti-Co alloys under high pressure torsion. J. Alloy. Compd. 2018, 735, 2281–2286. [Google Scholar] [CrossRef]
 - Kilmametov, A.; Ivanisenko, Y.; Straumal, B.; Mazilkin, A.A.; Gornakova, A.S.; Kriegel, M.J.; Fabrichnaya, O.B.; Rafaja, D.; Hahn, H. Transformations of α’ martensite in Ti-Fe alloys under high pressure torsion. Scr. Mater. 2017, 136, 46–49. [Google Scholar] [CrossRef]
 - Kilmametov, A.R.; Ivanisenko, Y.; Mazilkin, A.A.; Straumal, B.B.; Gornakova, A.S.; Fabrichnaya, O.B.; Kriegel, M.J.; Rafaja, D.; Hahn, H. The α → ω and β → ω phase transformations in Ti-Fe alloys under high-pressure torsion. Acta Mater. 2018, 144, 337–351. [Google Scholar] [CrossRef]
 - Kriegel, M.J.; Kilmametov, A.; Rudolph, M.; Straumal, B.B.; Gornakova, A.S.; Stöcker, H.; Ivanisenko, Y.; Fabrichnaya, O.; Hahn, H.; Rafaja, D. Transformation pathway upon heating of Ti-Fe alloys deformed by high-pressure torsion. Adv. Eng. Mater. 2018, 20, 1700933. [Google Scholar] [CrossRef]
 - Chong, Y.; Deng, G.; Shibata, A.; Tsuji, N. Microstructure Evolution and Phase Transformation of Ti-1.0 wt%Fe Alloy with an Equiaxed α + β Initial Microstructure during High-Pressure Torsion and Subsequent Annealing. Adv. Eng. Mater. 2019, 21. [Google Scholar] [CrossRef]
 - Kriegel, M.J.; Kilmametov, A.; Klemm, V.; Schimpf, C.; Straumal, B.B.; Gornakova, A.S.; Ivanisenko, Y.; Fabrichnaya, O.; Hahn, H.; Rafaja, D. Thermal stability of athermal ω-Ti(Fe) produced upon quenching of β-Ti(Fe). Adv. Eng. Mater. 2019, 21, 1800158. [Google Scholar] [CrossRef]
 - Rietveld, H.M. Line profiles of neutron powder-diffraction peaks for structure refinement. Acta Crystallogr. 1967, 22, 151–152. [Google Scholar] [CrossRef]
 - Rietveld, H.M. A profile refinement method for nuclear and magnetic structures. J. Appl. Crystallogr. 1969, 2, 65–71. [Google Scholar] [CrossRef]
 - Coelho, A.A. TOPAS, Version 5; Bruker AXS GmbH: Karlsruhe, Germany, 2014. [Google Scholar]
 - Gornakova, A.S.; Prokofiev, S.I.; Kolesnikova, K.I.; Straumal, B.B. Formation regularities of grain-boundary interlayers of the α-Ti phase in binary titanium alloys. Russ. J. Non-Ferr. Met. 2016, 57, 229–235. [Google Scholar] [CrossRef]
 - Gornakova, A.S.; Prokofiev, S.I.; Straumal, B.B.; Kolesnikova, K.I. Growth of (αTi) grain-boundary layers in Ti-Co alloys. Russ. J. Non-Ferr. Met. 2016, 57, 703–709. [Google Scholar] [CrossRef]
 - Gornakova, A.S.; Straumal, B.B.; Nekrasov, A.N.; Kilmametov, A.; Afonikova, N.S. Grain Boundary Wetting by a Second Solid Phase in Ti-Fe Alloys. J. Mater. Eng. Perform. 2018, 27, 4989–4992. [Google Scholar] [CrossRef]
 - Gornakova, A.S.; Straumal, B.B.; Prokofiev, S.I. Coarsening of (αTi) + (βTi) Microstructure in the Ti-Al-V Alloy at Constant Temperature. Adv. Eng. Mater. 2018, 20, 1800510. [Google Scholar] [CrossRef]
 - Gornakova, A.S.; Straumal, A.B.; Khodos, I.I.; Gnesin, I.B.; Mazilkin, A.A.; Afonikova, N.S.; Straumal, B.B. Effect of composition, annealing temperature, and high pressure torsion on structure and hardness of Ti–V and Ti-V-Al alloys. J. Appl. Phys. 2018, 125, 82522. [Google Scholar] [CrossRef]
 - March, A. Mathematische Theorie der Regelung nach der Korngestalt bei affiner Deformation. Z. Krist. 1932, 81, 285–297. [Google Scholar]
 - Thompson, P.; Reilly, J.J.; Hastings, J.M. The application of the Rietveld method to a highly strained material with microtwins TiFeD1.9. J. Appl. Crystallogr. 1989, 22, 256–260. [Google Scholar] [CrossRef]
 - Kubaschewski, O. IRON—Binary Phase Diagrams; Springer: Berlin/Heidelberg, Germany, 1982; ISBN 978-3-662-08026-9. [Google Scholar]
 - Bo, H.; Wang, J.; Duarte, L.; Leinenbach, C.; Liu, L.B.; Liu, H.S.; Jin, Z.P. Thermodynamic re-assessment of Fe-Ti binary system. Trans. Nonferrous Met. Soc. China 2012, 22, 2204–2211. [Google Scholar] [CrossRef]
 - Jonsson, S. Assessment of the Fe-Ti system. Metall. Trans. 1998, 29, 361–370. [Google Scholar] [CrossRef]
 - Hari Kumar, K.C.; Wollaiits, P.; Delaey, L. Thermodynamic reassessment and calculation of Fe-Ti phase diagram. Calphad 1994, 18, 223–234. [Google Scholar] [CrossRef]
 - Schlieter, A.; Kühn, U.; Eckert, J.; Löser, W.; Gemming, T.; Friák, M.; Neugebauer, J. Anisotropic mechanical behavior of ultrafine eutectic TiFe cast under non-equilibrium conditions. Intermetallics 2011, 19, 327–335. [Google Scholar] [CrossRef]
 - Kao, Y.L.; Tu, G.C.; Huang, C.A.; Liu, T.T. A study on the hardness variation of α-and β-pure titanium with different grain sizes. Mater. Sci. Eng. A 2005, 398, 93–98. [Google Scholar] [CrossRef]
 - Ungár, T.; Schafler, E.; Hanák, P.; Bernstorff, S.; Zehetbauer, M. Vacancy production during plastic deformation in copper determined by in situ X-ray diffraction. Mater. Sci. Eng. A 2007, 462, 398–401. [Google Scholar] [CrossRef]
 - Devaraj, A.; Nag, S.; Srinivasan, R.; Williams, R.E.A.; Banerjee, S.; Banerjee, R.; Fraser, H.L. Experimental evidence of concurrent compositional and structural instabilities leading to ω precipitation in titanium-molybdenum alloys. Acta Mater. 2012, 60, 596–609. [Google Scholar] [CrossRef]
 - Hickman, B.S. The formation of omega phase in titanium and zirconium alloys: A review. J. Mater. Sci. 1969, 4, 554–563. [Google Scholar] [CrossRef]
 - Lukas, H.; Fries, S.G.; Sundman, B. Computational Thermodynamics: The Calphad Method; Cambridge University Press: Cambridge, UK, 2007; ISBN 9780521868112. [Google Scholar]
 - Kriegel, M.J.; Fabrichnaya, O. Pressure dependent modelling of the phase stabilities in the binary Ti-Fe system. Calphad 2020. in preparation. [Google Scholar]
 - Ivanisenko, Y.; Kilmametov, A.; Rösner, H.; Valiev, R.Z. Evidence of α → ω phase transition in titanium after high pressure torsion. Int. J. Mater. Res. 2008, 99, 36–41. [Google Scholar] [CrossRef]
 - Polmear, I.; StJohn, D.; Nie, J.-F.; Qian, M. (Eds.) Light Alloys, 5th ed.; Butterworth-Heinemann: Boston, MA, USA, 2017; ISBN 978-0-08-099431-4. [Google Scholar]
 








| Samples | Phase Fractions | |||
|---|---|---|---|---|
| Measured by XRD | Calculated | |||
| α-Ti | TiFe | α-Ti | TiFe | |
| Ti-2Fe | 95 | 5 | 95.9 | 4.1 | 
| Ti-4Fe | 92 | 8 | 92.6 | 7.4 | 
| Ti-10Fe | 77 | 23 | 81.3 | 18.7 | 
| Samples | Phase Fractions XRD | ||||
|---|---|---|---|---|---|
| α-Ti(Fe) | TiFe | ω-Ti(Fe) | nα→ω | ||
| Ti-2Fe | 45 | 4 | 51 | 0.53 | |
| Ti-4Fe | 45 | 5 | 50 | 0.53 | |
| Ti-10Fe | 52 | 17 | 31 | 0.37 | |
© 2020 by the authors. Licensee MDPI, Basel, Switzerland. This article is an open access article distributed under the terms and conditions of the Creative Commons Attribution (CC BY) license (http://creativecommons.org/licenses/by/4.0/).
Share and Cite
Kriegel, M.J.; Rudolph, M.; Kilmametov, A.; Straumal, B.B.; Ivanisenko, J.; Fabrichnaya, O.; Hahn, H.; Rafaja, D. Formation and Thermal Stability of ω-Ti(Fe) in α-Phase-Based Ti(Fe) Alloys. Metals 2020, 10, 402. https://doi.org/10.3390/met10030402
Kriegel MJ, Rudolph M, Kilmametov A, Straumal BB, Ivanisenko J, Fabrichnaya O, Hahn H, Rafaja D. Formation and Thermal Stability of ω-Ti(Fe) in α-Phase-Based Ti(Fe) Alloys. Metals. 2020; 10(3):402. https://doi.org/10.3390/met10030402
Chicago/Turabian StyleKriegel, Mario J., Martin Rudolph, Askar Kilmametov, Boris B. Straumal, Julia Ivanisenko, Olga Fabrichnaya, Horst Hahn, and David Rafaja. 2020. "Formation and Thermal Stability of ω-Ti(Fe) in α-Phase-Based Ti(Fe) Alloys" Metals 10, no. 3: 402. https://doi.org/10.3390/met10030402
APA StyleKriegel, M. J., Rudolph, M., Kilmametov, A., Straumal, B. B., Ivanisenko, J., Fabrichnaya, O., Hahn, H., & Rafaja, D. (2020). Formation and Thermal Stability of ω-Ti(Fe) in α-Phase-Based Ti(Fe) Alloys. Metals, 10(3), 402. https://doi.org/10.3390/met10030402
        
