General Research on the Process of the Indirect Hot Stamping Ultra-High-Strength Steel
Abstract
1. Introduction
2. Model of the New TV Bracket
2.1. Design of the New TV Bracket
2.2. Finite Element Model
3. Finite Element Analyses
3.1. Effect of the Punch Speed
3.2. Effect of the Quenching Force and the Quenching Time
3.3. Comprehensive Results
4. Analysis of Experimental Results of Hot Stamping
4.1. Hot Stamping Process
4.2. Microstructure Analysis
5. Conclusions
- (1)
- The FE simulation of the beam part manufactured by the indirect hot stamping process was discussed. After two-stages of pre-forming, the blank was in good formability and without visible cracks. During the hot stamping, the punch speed had to be higher than 80 mm/s to guarantee the blank was in full austenite stage before quenching. With the higher quenching force and enough quenching time, the blank obtained a more complete martensite transformation after quenching.
- (2)
- For the beam part, the reasonable parameters during the hot stamping were concluded: punch speed of 80 mm/s, quenching force of 1000 kN, and quenching time was up to 10 s. Based on the FE results, the maximum thinning ratio of the beam part was 19.1%, which satisfied the requirements of hot stamping.
- (3)
- According to the experiment results, the beam part was formed without failure after the indirect hot stamping process. Tests on mechanical properties were carried out and the results were in good consistency with the simulation results. The microstructures at different regions of the beam part were discussed and the over-plane regions had a better quenching effect than the sidewall regions. Furthermore, this paper confirmed that the FE simulation of the beam part was reliable.
Author Contributions
Funding
Conflicts of Interest
References
- Peng, Y.; Wang, G.; Zhu, T.; Pan, S.; Rong, Y. Dynamic Mechanical Behaviors of 6082-T6 Aluminum Alloy. Adv. Mech. Eng. 2013, 5, 878016. [Google Scholar]
- Lan, F.; Chen, J.; Lin, J. Comparative Analysis for Bus Side Structures and Lightweight Optimization. Proc. Inst. Mech. Eng. Part D J. Automob. Eng. 2004, 218, 1067–1075. [Google Scholar] [CrossRef]
- Su, R.Y.; Gui, L.J.; Fan, Z.J. Multi-Objective Optimization for Bus Body with Strength and Rollover Safety Constraints Based on Surrogate Models. Struct. Multidiscip. Optim. 2011, 44, 431–441. [Google Scholar] [CrossRef]
- Gauchia, A.; Diaz, V.; Boada, M.J.L.; Boada, B.L. Torsional Stiffness and Weight Optimization of a Real Bus Structure. Int. J. Automot. Technol. 2010, 11, 41–47. [Google Scholar] [CrossRef]
- Han, Y.; Xue, S.; Fu, R.; Lin, L.; Lin, Z.; Pei, Y.; Sun, H. Influence of Hydrogen Embrittlement on Impact Property and Microstructural Characteristics in Aluminum Alloy Weld. Vacuum 2020, 172, 109073. [Google Scholar] [CrossRef]
- Santos, M.C., Jr.; Machado, A.R.; Sales, W.F.; Barrozo, M.A.S.; Ezugwu, E.O. Machining of Aluminum Alloys: A Review. Int. J. Adv. Manuf. Technol. 2016, 86, 3067–3080. [Google Scholar] [CrossRef]
- Hwang, J.S.; Moon, J.H.; Kang, C.-G. Prediction of Springback During Indirect Hot Press Forming through Tensile Test with Simultaneous Cooling. Proc. Inst. Mech. Eng. Part B J. Eng. Manuf. 2013, 227, 1013–1022. [Google Scholar] [CrossRef]
- Han, X.H.; Wang, C.L.; Li, Y.Y.; Liu, G. Effects of Quenching and Partitioning Process on Mechanical Properties of Trip780 Steel. J. Iron Steel Res. Int. 2019, 26, 991–999. [Google Scholar] [CrossRef]
- Neugebauer, R.; Schieck, F.; Polster, S.; Mosel, A.; Rautenstrauch, A.; Schonherr, J.; Pierschel, N. Press Hardening—An Innovative and Challenging Technology. Arch. Civ. Mech. Eng. 2012, 12, 113–118. [Google Scholar] [CrossRef]
- Karbasian, H.; Tekkaya, A.E. A Review on Hot Stamping. J. Mater. Process. Technol. 2010, 210, 2103–2118. [Google Scholar] [CrossRef]
- Quan, G.-Z.; Zhan, Z.-Y.; Zhang, L.; Wu, D.-S.; Luo, G.-C.; Xia, Y.-F. A Study on the Multi-Phase Transformation Kinetics of Ultra-High-Strength Steel and Application in Thermal-Mechanical-Phase Coupling Simulation of Hot Stamping Process. Mater. Sci. Eng. A 2016, 673, 24–38. [Google Scholar] [CrossRef]
- Wang, W.; Zhang, L.; Guo, M.; Huang, L.; Wei, X. Non-Isothermal Deformation Behavior and Fe Simulation of Ultrahigh Strength Br1500hs Steel in Hot Stamping Process. Int. J. Adv. Manuf. Technol. 2016, 87, 2951–2965. [Google Scholar] [CrossRef]
- Cheng, W.; Zhang, H.; Fu, S.; Xie, H.; Tang, Z.; Zhu, Z. A Process-Performance Coupled Design Method for Hot-Stamped Tailor Rolled Blank Structure. Thin-Walled Struct. 2019, 140, 132–143. [Google Scholar] [CrossRef]
- Lee, M.-G.; Kim, S.-J.; Han, H.N. Finite Element Investigations for the Role of Transformation Plasticity on Springback in Hot Press Forming Process. Comput. Mater. Sci. 2009, 47, 556–567. [Google Scholar] [CrossRef]
- Cui, J.J.; Lei, C.X.; Xing, Z.W.; Li, C.F.; Ma, S.M. Predictions of the Mechanical Properties and Microstructure Evolution of High Strength Steel in Hot Stamping. J. Mater. Eng. Perform. 2012, 21, 2244–2254. [Google Scholar] [CrossRef]
- Tang, Z.M.; Gu, Z.W.; Jia, L.; Li, X.; Zhu, L.J.; Xu, H.; Yu, G. Research on Lightweight Design and Indirect Hot Stamping Process of the New Ultra-High Strength Steel Seat Bracket. Metals 2019, 9, 833. [Google Scholar] [CrossRef]
- Naderi, M.; Ketabchi, M.; Abbasi, M.; Bleck, W. Analysis of Microstructure and Mechanical Properties of Different High Strength Carbon Steels after Hot Stamping. J. Mater. Process. Technol. 2011, 211, 1117–1125. [Google Scholar] [CrossRef]
- Liu, H.S.; Liu, W.; Bao, J.; Xing, Z.W.; Song, B.Y.; Lei, C.X. Numerical and Experimental Investigation into Hot Forming of Ultra High Strength Steel Sheet. J. Mater. Eng. Perform. 2011, 20, 1–10. [Google Scholar] [CrossRef]
- Martin, D. Application of Kolmogorov–Johnson–Mehl–Avrami Equations to Non-Isothermal Conditions. Comput. Mater. Sci. 2010, 47, 796–800. [Google Scholar] [CrossRef]
- Åkerström, P.; Oldenburg, M. Austenite Decomposition During Press Hardening of a Boron Steel—Computer Simulation and Test. J. Mater. Process. Technol. 2006, 174, 399–406. [Google Scholar] [CrossRef]
- Jiang, C.; Shan, Z.D.; Zhuang, B.L.; Zhang, M.L.; Xu, Y. Hot Stamping Die Design for Vehicle Door Beams Using Ultra-High Strength Steel. Int. J. Precis. Eng. Manuf. 2012, 13, 1101–1106. [Google Scholar] [CrossRef]
- Bok, H.-H.; Lee, M.-G.; Pavlina, E.J.; Barlat, F.; Kim, H.-D. Comparative Study of the Prediction of Microstructure and Mechanical Properties for a Hot-Stamped B-Pillar Reinforcing Part. Int. J. Mech. Sci. 2011, 53, 744–752. [Google Scholar] [CrossRef]
- Choi, H.S.; Kim, B.M.; Nam, K.J.; Ha, S.Y.; Cha, S.H.; Kang, C.G. Development of Hot Stamped Center Pillar Using Form Die with Channel Type Indirect Blank Holder. Int. J. Automot. Technol. 2011, 12, 887–894. [Google Scholar] [CrossRef]












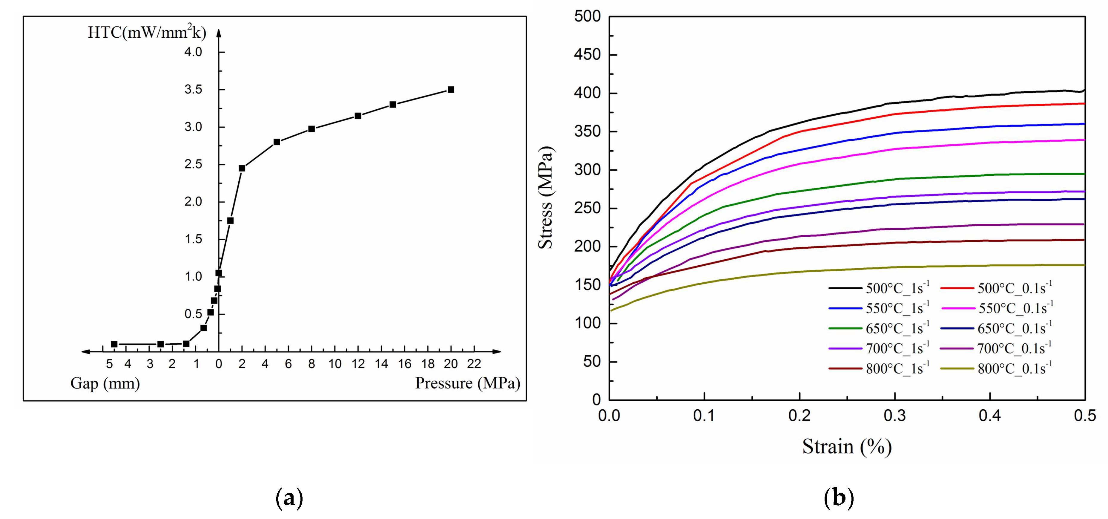
| Material | 22MnB5 | 
|---|---|
| Thickness (mm) | 2 | 
| Young’s modulus (GPa) | 212 | 
| Poisson’s ratio | 0.3 | 
| Density (kg/m3) | 7.89 × 103 | 
| Simulation conditions | |
| Punch speed (mm/s) | 40–140 | 
| Die temperature (°C) | 25 | 
| Friction coefficient | 0.3 | 
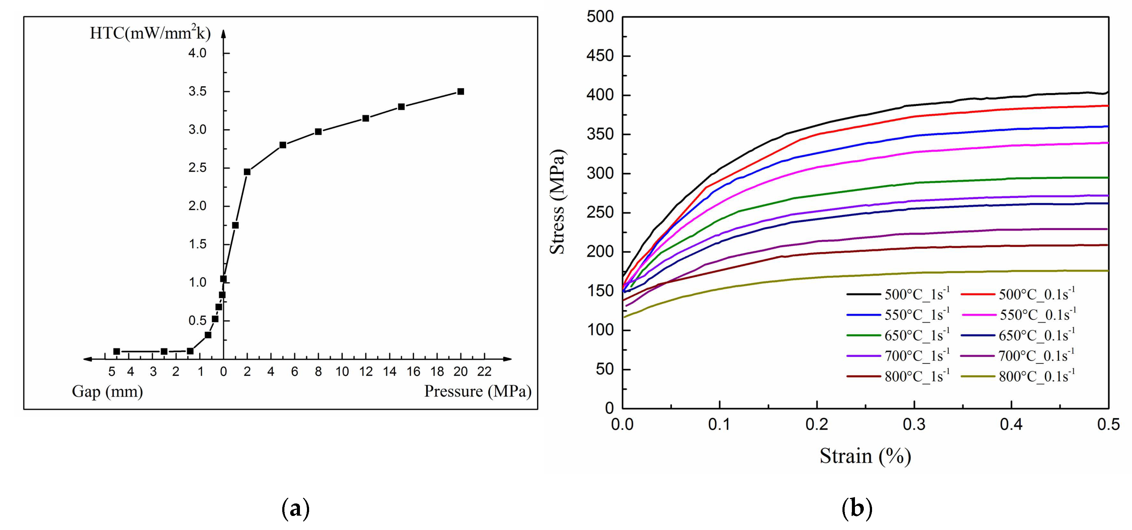
| Heat transfer coefficient for the tools (mW/mm2k) | The function of pressure/gap | 
| Heat transfer coefficient for ambient (mW/mm2k) | 20 °C-0.002 950 °C-0.075 | 
| Quenching force (kN) | 0–4000 | 
| Quenching time (s) | 0–12 s | 
| C | Mn | Si | Cr | B | P | 
|---|---|---|---|---|---|
| 0.22–0.25 | 1.2–1.4 | 0.2–0.3 | 0.11–0.2 | 0.002–0.004 | ≤0.02 | 
| Publisher’s Note: MDPI stays neutral with regard to jurisdictional claims in published maps and institutional affiliations. | 
© 2020 by the authors. Licensee MDPI, Basel, Switzerland. This article is an open access article distributed under the terms and conditions of the Creative Commons Attribution (CC BY) license (http://creativecommons.org/licenses/by/4.0/).
Share and Cite
Tang, Z.; Gu, Z.; Li, X.; Zhu, L.; Xu, H.; Yu, G. General Research on the Process of the Indirect Hot Stamping Ultra-High-Strength Steel. Metals 2020, 10, 1658. https://doi.org/10.3390/met10121658
Tang Z, Gu Z, Li X, Zhu L, Xu H, Yu G. General Research on the Process of the Indirect Hot Stamping Ultra-High-Strength Steel. Metals. 2020; 10(12):1658. https://doi.org/10.3390/met10121658
Chicago/Turabian StyleTang, Ziming, Zhengwei Gu, Xin Li, Lijuan Zhu, Hong Xu, and Ge Yu. 2020. "General Research on the Process of the Indirect Hot Stamping Ultra-High-Strength Steel" Metals 10, no. 12: 1658. https://doi.org/10.3390/met10121658
APA StyleTang, Z., Gu, Z., Li, X., Zhu, L., Xu, H., & Yu, G. (2020). General Research on the Process of the Indirect Hot Stamping Ultra-High-Strength Steel. Metals, 10(12), 1658. https://doi.org/10.3390/met10121658
 
        
 
       