Features of the High-Temperature Structural Evolution of GeTe Thermoelectric Probed by Neutron and Synchrotron Powder Diffraction
Abstract
1. Introduction
2. Experimental Section
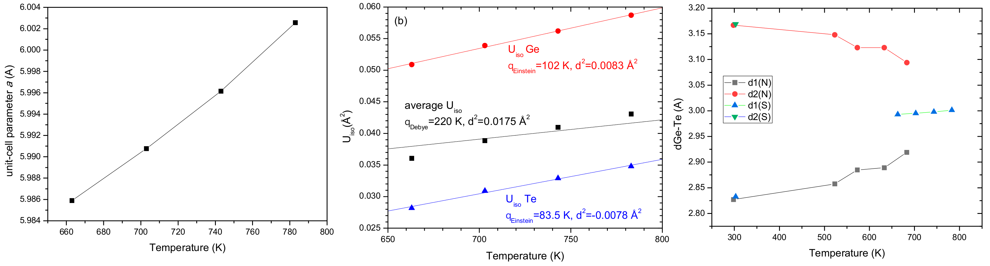
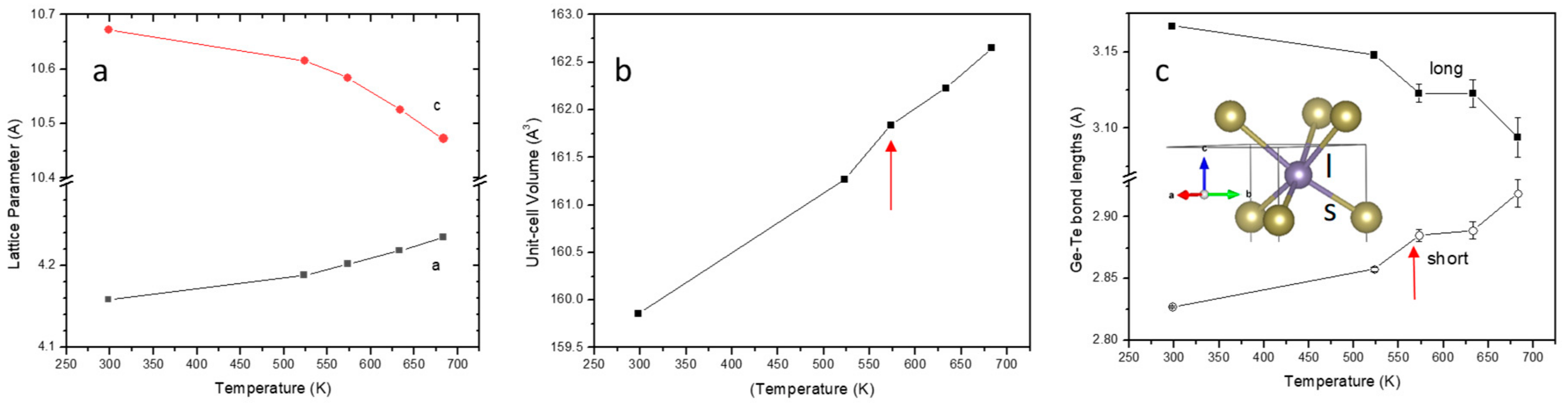
3. Results and Discussion
4. Conclusions
Author Contributions
Funding
Acknowledgments
Conflicts of Interest
References
- Okoye, C.M.I. Electronic and optical properties of SnTe and GeTe. J. Phys. Condens. Matter. 2002, 14, 8625. [Google Scholar] [CrossRef]
- Bauer Pereira, P.; Sergueev, I.; Gorsse, S.; Dadda, J.; Müller, E.; Hermann, R.P. Lattice dynamics and structure of GeTe, SnTe and PbTe. Phys. Status Solidi 2013, 250, 1300–1307. [Google Scholar] [CrossRef]
- Nukala, P.; Ren, M.; Agarwal, R.; Berger, J.; Liu, G.; Johnson, A.T.C.; Agarwal, R. Inverting polar domains via electrical pulsing in metallic germanium telluride. Nat. Commun. 2017, 8, 15033. [Google Scholar] [CrossRef] [PubMed]
- Nukala, P.; Lin, C.-C.; Composto, R.; Agarwal, R. Ultralow-power switching via defect engineering in germanium telluride phase-change memory devices. Nat. Commun. 2016, 7, 10482. [Google Scholar] [CrossRef]
- Li, J.; Zhang, X.; Chen, Z.; Lin, S.; Li, W.; Shen, J.; Witting, I.T.; Faghaninia, A.; Chen, Y.; Jain, A.; et al. Low-Symmetry Rhombohedral GeTe Thermoelectrics. Joule 2018, 2, 976–987. [Google Scholar] [CrossRef]
- Goldsmid, H.J. Introduction to Thermoelectricity; Springer: Berlin, Germany, 2017; ISBN 9783540687573. [Google Scholar]
- Nolas, G.S.; Sharp, J.; Goldsmid, H.J. Thermoelectrics: Basic Principles and New Materials Developments; Springer: New York, NY, USA, 2001; ISBN 9783642074516. [Google Scholar]
- Bell, L.E. Cooling, heating, generating power, and recovering waste heat with thermoelectric systems. Science 2008, 321, 1457–1461. [Google Scholar] [CrossRef]
- Snyder, G.J.; Toberer, E.S. Complex thermoelectric materials. Nat. Mater. 2008, 7, 105–114. [Google Scholar] [CrossRef]
- Kolomoets, N.V.; Lev, E.Y.; Sysoeva, L.M. Electrical properties and valence band structure of germanium telluride. Sov. Phys. Solid State 1964, 6, 551–556. [Google Scholar]
- Akola, J.; Jones, R.O. Binary alloys of Ge and Te: Order, voids, and the eutectic composition. Phys. Rev. Lett. 2008, 100, 21–24. [Google Scholar] [CrossRef]
- Perumal, S.; Samanta, M.; Ghosh, T.; Shenoy, U.S.; Bohra, A.K.; Bhattacharya, S.; Singh, A.; Waghmare, U.V.; Biswas, K. Realization of High Thermoelectric Figure of Merit in GeTe by Complementary Co-doping of Bi and In. Joule 2019, 3, 2565–2580. [Google Scholar] [CrossRef]
- Gelbstein, Y.; Dado, B.; Ben-Yehuda, O.; Sadia, Y.; Dashevsky, Z.; Dariel, M.P. Highly efficient Ge-Rich GexPb1-xTe thermoelectric alloys. J. Electron. Mater. 2010, 39, 2049–2052. [Google Scholar] [CrossRef]
- Gelbstein, Y.; Ben-Yehuda, O.; Pinhas, E.; Edrei, T.; Sadia, Y.; Dashevsky, Z.; Dariel, M.P. Thermoelectric Properties of (Pb,Sn,Ge)Te-Based Alloys. J. Electron. Mater. 2009, 38, 1478–1482. [Google Scholar] [CrossRef]
- Lee, H.S.; Kim, B.-S.; Cho, C.-W.; Oh, M.-W.; Min, B.-K.; Park, S.-D.; Lee, H.-W. Herringbone structure in GeTe-based thermoelectric materials. Acta Mater. 2015, 91, 83–90. [Google Scholar] [CrossRef]
- Vermeulen, P.A.; Kumar, A.; ten Brink, G.H.; Blake, G.R.; Kooi, B.J. Unravelling the Domain Structures in GeTe and LaAlO 3. Cryst. Growth Des. 2016, 16, 5915–5922. [Google Scholar] [CrossRef]
- Matsunaga, T.; Fons, P.; Kolobov, A.V.; Tominaga, J.; Yamada, N. The order-disorder transition in GeTe: Views from different length-scales. Appl. Phys. Lett. 2011, 99, 231907. [Google Scholar] [CrossRef]
- Chattopadhyay, T.; Boucherle, J.X.; VonSchnering, H.G. Neutron diffraction study on the structural phase transition in GeTe. J. Phys. C Solid State Phys. 1987, 20, 1431–1440. [Google Scholar] [CrossRef]
- Wdowik, U.D.; Parlinski, K.; Rols, S.; Chatterji, T. Soft-phonon mediated structural phase transition in GeTe. Phys. Rev. B 2014, 89, 1–7. [Google Scholar] [CrossRef]
- Fons, P.; Kolobov, A.V.; Krbal, M.; Tominaga, J.; Andrikopoulos, K.S.; Yannopoulos, S.N.; Voyiatzis, G.A.; Uruga, T. Phase transition in crystalline GeTe: Pitfalls of averaging effects. Phys. Rev. B 2010, 82, 155209. [Google Scholar] [CrossRef]
- Tran, X.Q.; Hong, M.; Maeno, H.; Kawami, Y.; Toriyama, T.; Jack, K.; Chen, Z.-G.; Zou, J.; Matsumura, S.; Dargusch, M.S. Real-time observation of the thermally-induced phase transformation in GeTe and its thermal expansion properties. Acta Mater. 2019, 165, 327–335. [Google Scholar] [CrossRef]
- Xu, M.; Lei, Z.; Yuan, J.; Xue, K.; Guo, Y.; Wang, S.; Miao, X.; Mazzarello, R. Structural disorder in the high-temperature cubic phase of GeTe. RSC Adv. 2018, 8, 17435–17442. [Google Scholar] [CrossRef]
- Sist, M.; Kasai, H.; Hedegaard, E.M.J.; Iversen, B.B. Role of vacancies in the high-temperature pseudodisplacive phase transition in GeTe. Phys. Rev. B 2018, 97, 94116. [Google Scholar] [CrossRef]
- Shportko, K.; Kremers, S.; Woda, M.; Lencer, D.; Robertson, J.; Wuttig, M. Resonant bonding in crystalline phase-change materials. Nat. Mater. 2008, 7, 653. [Google Scholar] [CrossRef] [PubMed]
- Boschker, J.E.; Wang, R.; Calarco, R. GeTe: A simple compound blessed with a plethora of properties. CrystEngComm 2017, 19, 5324–5335. [Google Scholar] [CrossRef]
- Fauth, F.; Boer, R.; Gil-Ortiz, F.; Popescu, C.; Vallcorba, O.; Peral, I.; Fullà, D.; Benach, J.; Juanhuix, J. The crystallography stations at the Alba synchrotron. Eur. Phys. J. Plus 2015, 130, 160. [Google Scholar] [CrossRef]
- Rietveld, H.M. A profile refinement method for nuclear and magnetic structures. J. Appl. Crystallogr. 1969, 2, 65–71. [Google Scholar] [CrossRef]
- Rodríguez-Carvajal, J. Recent advances in magnetic structure determination by neutron powder diffraction. Phys. B Phys. Condens. Matter. 1993, 192, 55–69. [Google Scholar] [CrossRef]
- Iwanaga, S.; Toberer, E.S.; LaLonde, A.; Snyder, G.J. A high temperature apparatus for measurement of the Seebeck coefficient. Rev. Sci. Instrum. 2011, 82, 063905. [Google Scholar] [CrossRef]
- Perumal, S.; Roychowdhury, S.; Negi, D.S.; Datta, R.; Biswas, K. High Thermoelectric Performance and Enhanced Mechanical Stability of p-type Ge1-xSbxTe. Chem. Mater. 2015, 27, 7171–7178. [Google Scholar] [CrossRef]
- Gainza, J.; Serrano-Sánchez, F.; Nemes, N.M.; Dura, O.J.; Martínez, J.L.; Alonso, J.A. Lower temperature of the structural transition, and thermoelectric properties in Sn-substituted GeTe. Mater. Today. Proc. 2019. submitted for publication. [Google Scholar]
- Wu, D.; Zhao, L.D.; Hao, S.; Jiang, Q.; Zheng, F.; Doak, J.W.; Wu, H.; Chi, H.; Gelbstein, Y.; Uher, C.; et al. Origin of the high performance in GeTe-based thermoelectric materials upon Bi2Te3 doping. J. Am. Chem. Soc. 2014, 136, 11412–11419. [Google Scholar] [CrossRef]
- Chatterji, T.; Kumar, C.M.N.; Wdowik, U.D. Anomalous temperature-induced volume contraction in GeTe. Phys. Rev. B 2015, 91, 054110. [Google Scholar] [CrossRef]
- Gainza, J.; Serrano-Sánchez, F.; Biskup, N.; Nemes, N.M.; Martínez, J.L.; Fernández-Díaz, M.T.; Alonso, J.A. Influence of Nanostructuration on PbTe Alloys Synthesized by Arc-Melting. Materials 2019, 12, 3783. [Google Scholar] [CrossRef] [PubMed]
- Mi, J.-L.; Christensen, M.; Nishibori, E.; Iversen, B.B. Multitemperature crystal structures and physical properties of the partially filled thermoelectric skutterudites M0.1Co4Sb12 (M = La,Ce,Nd,Sm,Yb and Eu). Phys. Rev. B 2011, 84, 064114. [Google Scholar] [CrossRef]
- Serrano-Sánchez, F.; Funes, M.; Nemes, N.M.; Dura, O.J.; Martínez, J.L.; Prado-Gonjal, J.; Fernández-Díaz, M.T.; Alonso, J.A. Low lattice thermal conductivity in arc-melted GeTe with Ge-deficient crystal structure. Appl. Phys. Lett. 2018, 113, 1–5. [Google Scholar] [CrossRef]
- Gascoin, F.; Ottensmann, S.; Stark, D.; Haïle, S.M.; Snyder, G.J. Zintl phases as thermoelectric materials: Tuned transport properties of the compounds CaxYb1-xZn2Sb2. Adv. Funct. Mater. 2005, 15, 1860–1864. [Google Scholar] [CrossRef]
- Peng, K.; Lu, X.; Zhan, H.; Hui, S.; Tang, X.; Wang, G.; Dai, J.; Uher, C.; Wang, G.; Zhou, X. Broad temperature plateau for high ZTs in heavily doped p-type SnSe single crystals. Energy Environ. Sci. 2016, 9, 454–460. [Google Scholar] [CrossRef]
- Li, Y.; Qiu, P.; Xiong, Z.; Chen, J.; Nunna, R.; Shi, X.; Chen, L. Electrical and thermal transport properties of YbxCo4Sb12 filled skutterudites with ultrahigh carrier concentrations. AIP Adv. 2015, 5, 117239. [Google Scholar] [CrossRef]
- Levin, E.M.; Besser, M.F.; Hanus, R. Electronic and thermal transport in GeTe: A versatile base for thermoelectric materials. J. Appl. Phys. 2013, 114, 083713. [Google Scholar] [CrossRef]
- May, A.F.; Toberer, E.S.; Saramat, A.; Snyder, G.J. Characterization and analysis of thermoelectric transport in n -type Ba8 Ga16-x Ge30+x. Phys. Rev. B 2009, 80, 1–12. [Google Scholar] [CrossRef]
- Lee, J.K.; Oh, M.W.; Kim, B.S.; Min, B.K.; Lee, H.W.; Park, S.D. Influence of Mn on crystal structure and thermoelectric properties of GeTe compounds. Electron. Mater. Lett. 2014, 10, 813–817. [Google Scholar] [CrossRef]
- Dong, J.; Sun, F.; Tang, H.; Pei, J.; Zhuang, H.; Hu, H.; Zhang, B.; Pan, Y.; Li, J. Medium-temperature thermoelectric GeTe: Vacancy suppression and band structure engineering leading to high performance. Energy Environ. Sci. 2019, 12, 1396–1403. [Google Scholar] [CrossRef]
- Perumal, S.; Roychowdhury, S.; Biswas, K. High performance thermoelectric materials and devices based on GeTe. J. Mater. Chem. C 2016, 4, 7520–7536. [Google Scholar] [CrossRef]
- Li, J.; Zhang, X.; Lin, S.; Chen, Z.; Pei, Y. Realizing the High Thermoelectric Performance of GeTe by Sb-Doping and Se-Alloying. Chem. Mater. 2017, 29, 605–611. [Google Scholar] [CrossRef]








| Temperature (K) | 298 | 523 | 573 | 633 | 683 |
|---|---|---|---|---|---|
| a/Å | 4.15871(9) | 4.18835(16) | 4.20193(15) | 4.21864(12) | 4.23462(10) |
| c/Å | 10.6731(3) | 10.6155(6) | 10.5841(5) | 10.5258(4) | 10.4734(3) |
| V/Å3 | 159.859(7) | 161.271(12) | 161.839(11) | 162.231(9) | 162.647(8) |
| z (Ge)/Å | 0.23760 | 0.23760 | 0.23760 | 0.23760 | 0.23760 |
| focc Ge | 0.927(15) | 0.927 | 0.927 | 0.927 | 0.927 |
| U11 (Ge)/Å2 | 0.016(2) | 0.029(3) | 0.0277(14) | 0.0338(18) | 0.038(2) |
| U33 (Ge)/Å2 | 0.028(4) | 0.067(3) | 0.0256(19) | 0.039(11) | 0.039(10) |
| U12 (Ge)/Å2 | 0.008(2) | 0.014(3) | 0.0139(14) | 0.0169(18) | 0.019(2) |
| z (Te)/Å | 0.76439(15) | 0.7608(3) | 0.7568(9) | 0.7566(13) | 0.752(2) |
| U11 (Te)/Å2 | 0.015(3) | 0.016(3) | 0.0284(17) | 0.031(2) | 0.031(2) |
| U33 (Te)/Å2 | 0.005(3) | 0.0098(16) | 0.062(7) | 0.046(18) | 0.044(17) |
| U12 (Te)/Å2 | 0.007(3) | 0.008(3) | 0.0142(17) | 0.015(2) | 0.016(2) |
| d (Ge-Te)/Å | 2.8273(8) | 2.8578(17) | 2.885(5) | 2.889(7) | 2.919(11) |
| d (Ge-Te)/Å | 3.1667(10) | 3.148(2) | 3.123(6) | 3.123(9) | 3.094(13) |
| Temperature (K) | 303 | 663 | 703 | 743 | 783 |
|---|---|---|---|---|---|
| a/Å | 4.16855(3) | 5.98590(6) | 5.99077(4) | 5.99615(5) | 6.00257(6) |
| c/Å | 10.66545(9) | ||||
| V/Å3 | 160.502(2) | 214.481(4) | 215.004(3) | 215.585(3) | 216.277(4) |
| z (Ge)/Å | 0.23760 | ||||
| z (Te)/Å | 0.7642(6) | ||||
| U11 (Ge)/Å2 | 0.017(3) | 0.0509(19) | 0.0539(16) | 0.0562(18) | 0.0587(19) |
| U33 (Ge)/Å2 | 0.015(9) | ||||
| U12 (Ge)/Å2 | 0.008(3) | ||||
| U11 (Te)/Å2 | 0.0106(14) | 0.0282(9) | 0.0309(8) | 0.0329(8) | 0.0348(9) |
| U33 (Te)/Å2 | 0.015(4) | ||||
| U12(Te)/Å2 | 0.0053(14) | ||||
| d (Ge-Te)/Å | 2.833(3) (x3) | 2.99295(3)(x6) | 2.99539(2) | 2.99808(2) | 3.00129(3) |
| d (Ge-Te)/Å | 3.169(4) (x3) |
© 2019 by the authors. Licensee MDPI, Basel, Switzerland. This article is an open access article distributed under the terms and conditions of the Creative Commons Attribution (CC BY) license (http://creativecommons.org/licenses/by/4.0/).
Share and Cite
Gainza, J.; Serrano-Sánchez, F.; Nemes, N.M.; Martínez, J.L.; Fernández-Díaz, M.T.; Alonso, J.A. Features of the High-Temperature Structural Evolution of GeTe Thermoelectric Probed by Neutron and Synchrotron Powder Diffraction. Metals 2020, 10, 48. https://doi.org/10.3390/met10010048
Gainza J, Serrano-Sánchez F, Nemes NM, Martínez JL, Fernández-Díaz MT, Alonso JA. Features of the High-Temperature Structural Evolution of GeTe Thermoelectric Probed by Neutron and Synchrotron Powder Diffraction. Metals. 2020; 10(1):48. https://doi.org/10.3390/met10010048
Chicago/Turabian StyleGainza, Javier, Federico Serrano-Sánchez, Norbert Marcel Nemes, José Luis Martínez, María Teresa Fernández-Díaz, and José Antonio Alonso. 2020. "Features of the High-Temperature Structural Evolution of GeTe Thermoelectric Probed by Neutron and Synchrotron Powder Diffraction" Metals 10, no. 1: 48. https://doi.org/10.3390/met10010048
APA StyleGainza, J., Serrano-Sánchez, F., Nemes, N. M., Martínez, J. L., Fernández-Díaz, M. T., & Alonso, J. A. (2020). Features of the High-Temperature Structural Evolution of GeTe Thermoelectric Probed by Neutron and Synchrotron Powder Diffraction. Metals, 10(1), 48. https://doi.org/10.3390/met10010048

