Individual Sprint Force-Velocity Profile Adaptations to In-Season Assisted and Resisted Velocity-Based Training in Professional Rugby
Abstract
1. Introduction
2. Materials and Methods
2.1. Participants
2.2. Study Design
2.3. Group Allocation
2.4. Familiarization and FV Profile Tests
2.5. Testing Procedures and Data Analysis
2.6. Statistical Analysis
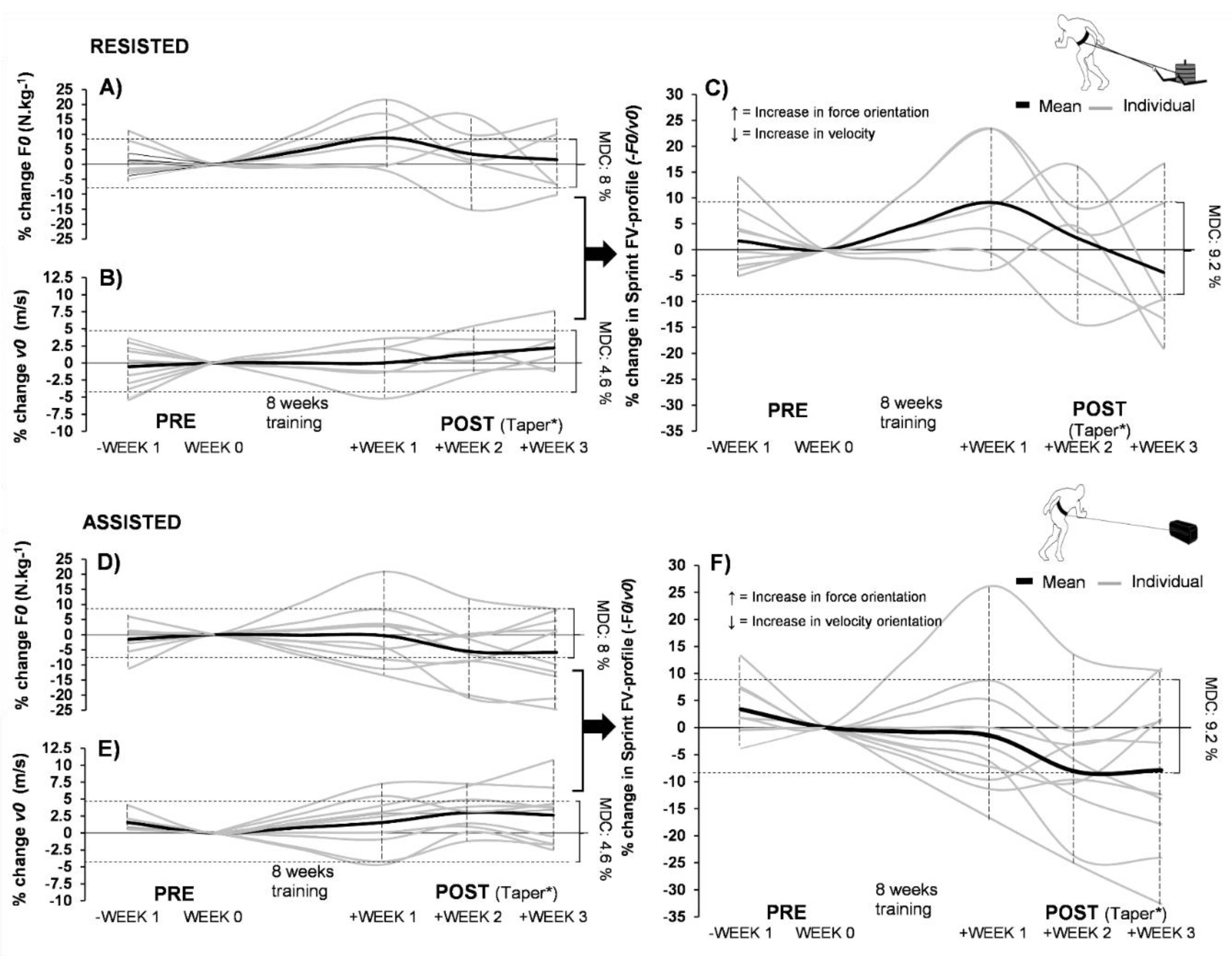
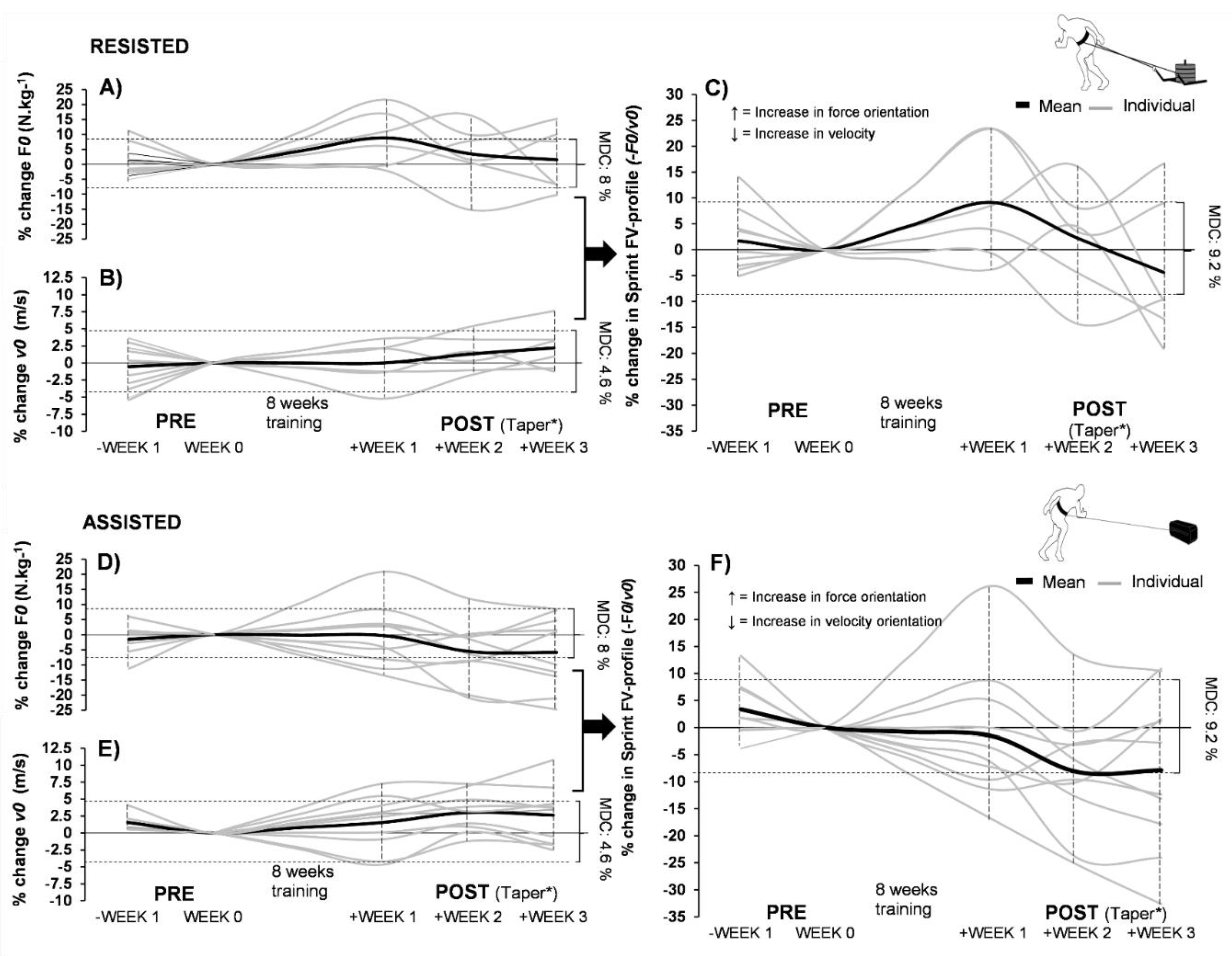
3. Results
4. Discussion
5. Conclusions
Author Contributions
Funding
Acknowledgments
Conflicts of Interest
References
- Gabbett, T.J.; Jenkins, D.G.; Abernethy, B. Physiological and Anthropometric Correlates of Tackling Ability in Junior Elite and Subelite Rugby League Players. J. Strength Cond. Res. 2010, 24, 2989–2995. [Google Scholar] [CrossRef] [PubMed]
- Gabbett, T.J.; Kelly, J.; Ralph, S.; Driscoll, D. Physiological and anthropometric characteristics of junior elite and sub-elite rugby league players, with special reference to starters and non-starters. J. Sci. Med. Sport 2009, 12, 215–222. [Google Scholar] [CrossRef] [PubMed]
- Rabita, G.; Dorel, S.; Slawinski, J.; Sàez-De-Villarreal, E.; Couturier, A.; Samozino, P.; Morin, J.-B. Sprint mechanics in world-class athletes: A new insight into the limits of human locomotion. Scand. J. Med. Sci. Sports 2015, 25, 1–12. [Google Scholar] [CrossRef] [PubMed]
- Colyer, S.L.; Nagahara, R.; Takai, Y.; Salo, A.I.T. How sprinters accelerate beyond the velocity plateau of soccer players: Waveform analysis of ground reaction forces. Scand. J. Med. Sci. Sports 2018, 28, 2527–2535. [Google Scholar] [CrossRef]
- Haff, G.G.; Nimphius, S. Training Principles for Power. Strength Cond. J. 2012, 34, 2–12. [Google Scholar] [CrossRef]
- Kawamori, N.; Haff, G.G. The Optimal Training Load for the Development of Muscular Power. J. Strength Cond. Res. 2004, 18, 675. [Google Scholar] [CrossRef]
- Rakovic, E.; Paulsen, G.; Helland, C.; Eriksrud, O.; Haugen, T. The effect of individualised sprint training in elite female team sport athletes: A pilot study. J. Sports Sci. 2018, 36, 2802–2808. [Google Scholar] [CrossRef]
- Cross, M.R.; Lahti, J.; Brown, S.R.; Chedati, M.; Jiménez-Reyes, P.; Samozino, P.; Eriksrud, O.; Morin, J.-B. Training at maximal power in resisted sprinting: Optimal load determination methodology and pilot results in team sport athletes. Sandbakk Ø, editor. PLoS ONE 2018, 13, e0195477. [Google Scholar] [CrossRef]
- Morin, J.-B.; Petrakos, G.; Jiménez-Reyes, P.; Brown, S.R.; Samozino, P.; Cross, M.R. Very-Heavy Sled Training for Improving Horizontal-Force Output in Soccer Players. Int. J. Sports Physiol. Perform. 2017, 12, 840–844. [Google Scholar] [CrossRef]
- Samozino, P.; Rabita, G.; Dorel, S.; Slawinski, J.; Peyrot, N.; De Villarreal, E.S.; Morin, J.-B. A simple method for measuring power, force, velocity properties, and mechanical effectiveness in sprint running. Scand. J. Med. Sci. Sports 2015, 26, 648–658. [Google Scholar] [CrossRef]
- Cross, M.; Brown, S.; Brughelli, M.; Samozino, P.; Morin, J.-B.; Dé, R. Mechanical Determinants of Sprinting Acceleration in Rugby Athletes. In Conference Paper: 23rd Annual Congress of the European College of Sports Science; Dublin, Ireland, 2018. [Google Scholar]
- Suchomel, T.J.; Nimphius, S.; Bellon, C.R.; Stone, M.H. The Importance of Muscular Strength: Training Considerations. Sports Med. 2018, 48, 765–785. [Google Scholar] [CrossRef] [PubMed]
- Jiménez-Reyes, P.; Samozino, P.; Brughelli, M.; Morin, J.-B. Effectiveness of an Individualized Training Based on Force-Velocity Profiling during Jumping. Front. Physiol. 2016, 7, 677. [Google Scholar] [CrossRef] [PubMed]
- Petrakos, G.; Morin, J.-B.; Egan, B. Resisted Sled Sprint Training to Improve Sprint Performance: A Systematic Review. Sports Med. 2015, 46, 381–400. [Google Scholar] [CrossRef]
- Bolger, R.; Lyons, M.; Harrison, A.; Kenny, I.C. Sprinting Performance and Resistance-Based Training Interventions. J. Strength Cond. Res. 2015, 29, 1146–1156. [Google Scholar] [CrossRef] [PubMed]
- Tufano, J.J.; Amonette, W.E. Assisted Versus Resisted Training. Strength Cond. J. 2018, 40, 106–110. [Google Scholar] [CrossRef]
- Upton, D.E. The Effect of Assisted and Resisted Sprint Training on Acceleration and Velocity in Division IA Female Soccer Athletes. J. Strength Cond. Res. 2011, 25, 2645–2652. [Google Scholar] [CrossRef]
- Marrier, B.; Robineau, J.; Piscione, J.; Lacome, M.; Peeters, A.; Hausswirth, C.; Morin, J.-B.; Le Meur, Y. Supercompensation Kinetics of Physical Qualities during a Taper in Team-Sport Athletes. Int. J. Sports Physiol. Perform. 2017, 12, 1163–1169. [Google Scholar] [CrossRef] [PubMed]
- Mero, A.; Komi, P.V. Effects of Supramaximal Velocity on Biomechanical Variables in Sprinting. Int. J. Sport Biomech. 1985, 1, 240–252. [Google Scholar] [CrossRef]
- Pyne, D.; Mujika, I.; Reilly, T. Peaking for optimal performance: Research limitations and future directions. J. Sports Sci. 2009, 27, 195–202. [Google Scholar] [CrossRef] [PubMed]
- Haugen, T.A.; Breitschädel, F.; Samozino, P. Power-Force-Velocity Profiling of Sprinting Athletes. J. Strength Cond. Res. 2018, 1. [Google Scholar] [CrossRef]
- Morin, J.-B.; Samozino, P.; Murata, M.; Cross, M.R.; Nagahara, R. A simple method for computing sprint acceleration kinetics from running velocity data: Replication study with improved design. J. Biomech. 2019, 94. [Google Scholar] [CrossRef] [PubMed]
- Vigotsky, A.D.; Zelik, K.E.; Lake, J.; Hinrichs, R.N. Mechanical misconceptions: Have we lost the “mechanics” in “sports biomechanics”? J. Biomech. 2019, 93, 1–5. [Google Scholar] [CrossRef] [PubMed]
- Cross, M.R.; Tinwala, F.; Lenetsky, S.; Brown, S.R.; Brughelli, M.; Morin, J.-B.; Samozino, P. Assessing Horizontal Force Production in Resisted Sprinting: Computation and Practical Interpretation. Int. J. Sports Physiol. Perform. 2019, 1–5. [Google Scholar] [CrossRef] [PubMed]
- Cross, M.R.; Brughelli, M.; Samozino, P.; Brown, S.R.; Morin, J.-B. Optimal Loading for Maximizing Power during Sled-Resisted Sprinting. Int. J. Sports Physiol. Perform. 2017, 12, 1069–1077. [Google Scholar] [CrossRef]
- Lakens, D. Calculating and reporting effect sizes to facilitate cumulative science: A practical primer for t-tests and ANOVAs. Front. Psychol. 2013, 4, 863. [Google Scholar] [CrossRef]
- Hopkins, W.G. A scale of magnitudes for effect statistics. In A New View Statistics 502; Hopkins: Melbourne, Australia, 2002. [Google Scholar]
- Lexell, J.; Flansbjer, U.-B.; Holmbäck, A.M.; Downham, D.; Patten, C. Reliability of gait performance tests in men and women with hemiparesis after stroke. J. Rehabil. Med. 2005, 37, 75–82. [Google Scholar] [CrossRef]
- Bland, J.M.; Altman, D.G. Multiple significance tests: The Bonferroni method. BMJ Br. Med. J. 1995, 310, 170. [Google Scholar] [CrossRef]
- Toji, H.; Suei, K.; Kaneko, M. Effects of combined training loads on relations among force, velocity, and power development. Can. J. Appl. Physiol. 1997, 22, 328–336. [Google Scholar] [CrossRef]



| Group | N | Age (y) | Height (m) | Body Mass (kg) | Initial FV profile (-F0/v0) | load used as % of BM | Velocity change (%) | |||||||
|---|---|---|---|---|---|---|---|---|---|---|---|---|---|---|
| RESISTED | 6 | 19.3 ± 0.30 | 1.83 ± 0.10 | 91.4 ± 15.3 | −0.85 ± 0.08 | 1.02 ± 0.05 | −75.0 ± 6.31 * | |||||||
| ASSISTED | 10 | 20.1 ± 1.00 | 1.90 ± 0.10 | 94.4 ± 9.10 | −0.86 ± 0.09 | −0.05 ± 0.01 | +6.48 ± 2.00 | |||||||
| Weekly programming structure for RESISTED and ASSISTED groups. | ||||||||||||||
| Day | Week −1 | Week 0 | Week 1 | Week 2 | Week 3 | Week 4 | Week 5 | Week 6 | Week 7 | Week 8 | Week +1 | Week +2 | Week +3 | |
| MON | UB/TEC | UB/TEC | UB/TEC | UB/TEC | UB/TEC | UB/TEC | UB | UB/TEC | UB/TEC | UB/TEC | UB/TEC | UB/TEC | UB/TEC | |
| TUE | AS or RE **/LB/Tec Tac | AS or RE ***/LB/Tec Tac | AS or RE/LB/Tec Tac | AS or RE/LB/Tec Tac | AS or RE/LB/Tec Tac | AS or RE/LB/Tec Tac | AS or RE/LB/Tec Tac | AS or RE/LB/Tec Tac | AS or RE/LB/Tec Tac | AS or RE/LB/Tec Tac | S/LB/Tec Tac | S/LB/Tec Tac | S/LB/Tec Tac | |
| THU | MB/Tec Tac | MB/Tec Tac | AS or RE/MB/Tec Tac | AS or RE/MB/Tec Tac | AS or RE/MB/Tec Tac | AS or RE/MB/Tec Tac | AS or RE/MB | AS or RE/MB/Tec Tac | AS or RE/MB/Tec Tac | AS or RE/MB/Tec Tac | MB/Tec Tac | MB/Tec Tac | MB/Tec Tac | |
| FRI | Tac | Tac | Tac | Tac | Tac | Tac | CG | Tac | Tac | Tac | Tac | CG | Tac | |
| SAT | M | M | M | M | M | M | OFF | M | M | M | M | OFF | M | |
| Load * | 2000 | 2430 | 2860 | 1880 | 2240 | 2150 | 1440 | 2620 | 1910 | 2580 | 1510 | 1370 | 1450 | |
| RESISTED and ASSISTED Within-Group Inferential Statistics | Between-Group Differences (ANCOVA) | ||||||||
|---|---|---|---|---|---|---|---|---|---|
| Variable | Group | Homogeneity of variance (Levene’s test) | Pre | Post | Post -Pre | Post -Pre | |||
| x̅ ± SD | x̅ ± SD | %∆ ± SD | ES; ±95% CL | p value | ES; ±95% CL | p value | |||
| v0 (m/s) | RESISTED | F(1, 19) = 0.2692 p = 0.59 | 8.75 ± 0.47 | 9.08 ± 0.48 | 3.21 ± 2.37 | 0.70 (−0.34–1.74) | 0.02 | 0.06 (−0.95–1.07), p = 0.81 # | |
| ASSISTED | 8.71 ± 0.50 | 8.94 ± 0.46 | 3.40 ± 4.15 | 0.47 (−0.38–1.32) | 0.03 | ||||
| F0 (N kg−1) | RESISTED | F(1, 19) = 1.669 p = 0.21 | 7.46 ± 0.73 | 8.08 ± 0.26 | 8.95 ± 13.2 | 1.13 (0.02–2.24) | 0.22 | −0.74 (−1.78–0.31), p = 0.02 | |
| ASSISTED | 7.46 ± 0.41 | 7.32 ± 0.78 | −1.27 ±14.4 | −0.23 (−1.10–0.66) | 0.69 | ||||
| Pmax (W kg−1) | RESISTED | F(1, 19) = 0.041 p = 0.84 | 16.1 ± 1.15 | 17.7 ± 0.78 | 9.21 ± 12.0 | 1.58 (0.40–2.76) | 0.17 | −0.55 (−1.58–0.48), p = 0.16 | |
| ASSISTED | 16.1 ± 1.50 | 16.4 ± 1.82 | 2.75 ± 11.3 | 0.15 (−0.69–0.99) | 0.51 | ||||
| Sprint FV Profile (-F0/v0) | RESISTED | F(1, 19) = 0.474 p = 0.49 | −0.85 ± 0.08 | −0.92 ± 0.05 | −9.00 ±15.3 | −1.01 (−2.11–0.08) | 0.29 | 0.86 (−0.20–1.91), p = 0.02 | |
| ASSISTED | −0.86 ± 0.09 | −0.81 ± 0.08 | 5.17 ± 17.6 | −0.60 (−1.50–0.29) | 0.27 | ||||
| 5-meter time (s) | RESISTED | F(1, 19) = 1.284 p = 0.27 | 1.38 ± 0.05 | 1.33 ± 0.02 | −3.22 ± 4.62 | −1.19 (−2.28–0.10) | 0.14 | 0.74 (−0.30–1.79), p = 0.07 | |
| ASSISTED | 1.38 ± 0.03 | 1.40 ± 0.07 | 0.68 ± 5.80 | 0.23 (−0.65–−1.11) | 0.64 | ||||
| 20-meter time (s) | RESISTED | F(1, 19) = 0.780, p = 0.38 | 3.44 ± 0.11 | 3.32 ± 0.08 | −3.25 ± 1.78 | −1.23 (−2.33–0.14) | 0.007 * | 1.16 (0.07–2.25), p = 0.07 # | |
| ASSISTED | 3.45 ± 0.08 | 3.45 ± 0.37 | 0.23 ± 3.86 | 0.02 (−0.82–0.86) | 0.91 | ||||
© 2020 by the authors. Licensee MDPI, Basel, Switzerland. This article is an open access article distributed under the terms and conditions of the Creative Commons Attribution (CC BY) license (http://creativecommons.org/licenses/by/4.0/).
Share and Cite
Lahti, J.; Jiménez-Reyes, P.; Cross, M.R.; Samozino, P.; Chassaing, P.; Simond-Cote, B.; Ahtiainen, J.P.; Morin, J.-B. Individual Sprint Force-Velocity Profile Adaptations to In-Season Assisted and Resisted Velocity-Based Training in Professional Rugby. Sports 2020, 8, 74. https://doi.org/10.3390/sports8050074
Lahti J, Jiménez-Reyes P, Cross MR, Samozino P, Chassaing P, Simond-Cote B, Ahtiainen JP, Morin J-B. Individual Sprint Force-Velocity Profile Adaptations to In-Season Assisted and Resisted Velocity-Based Training in Professional Rugby. Sports. 2020; 8(5):74. https://doi.org/10.3390/sports8050074
Chicago/Turabian StyleLahti, Johan, Pedro Jiménez-Reyes, Matt R. Cross, Pierre Samozino, Patrick Chassaing, Benjamin Simond-Cote, Juha P. Ahtiainen, and Jean-Benoit Morin. 2020. "Individual Sprint Force-Velocity Profile Adaptations to In-Season Assisted and Resisted Velocity-Based Training in Professional Rugby" Sports 8, no. 5: 74. https://doi.org/10.3390/sports8050074
APA StyleLahti, J., Jiménez-Reyes, P., Cross, M. R., Samozino, P., Chassaing, P., Simond-Cote, B., Ahtiainen, J. P., & Morin, J.-B. (2020). Individual Sprint Force-Velocity Profile Adaptations to In-Season Assisted and Resisted Velocity-Based Training in Professional Rugby. Sports, 8(5), 74. https://doi.org/10.3390/sports8050074

