Influence of Resistance Exercise on Appetite and Affect Following Pre-Sleep Feeding
Abstract
1. Introduction
2. Materials and Methods
2.1. Participants
2.2. Study Design
2.3. Pre-sleep Protein Treatments
2.4. Experimental Trials (Visits 2–6)
Resistance Exercise Sessions
2.5. Assessment of Appetite
2.6. Assessment of Affect
2.7. Salivary Sampling and Analysis
2.8. Statistical Analysis:
3. Results
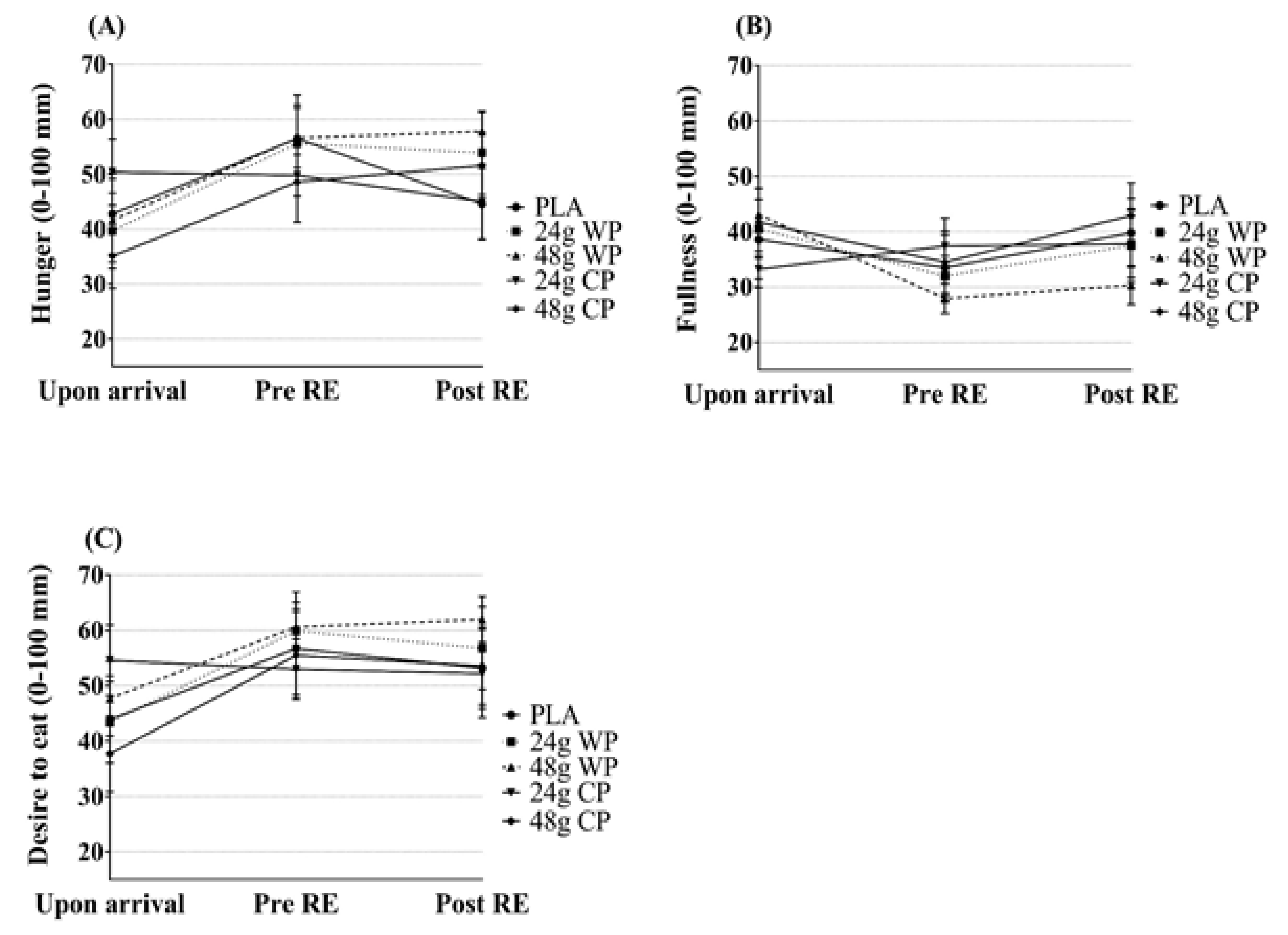
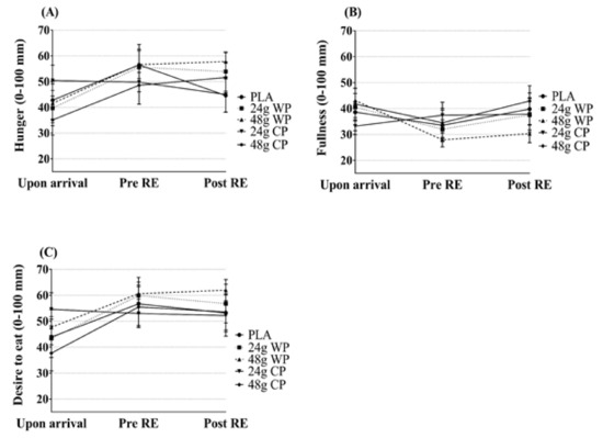
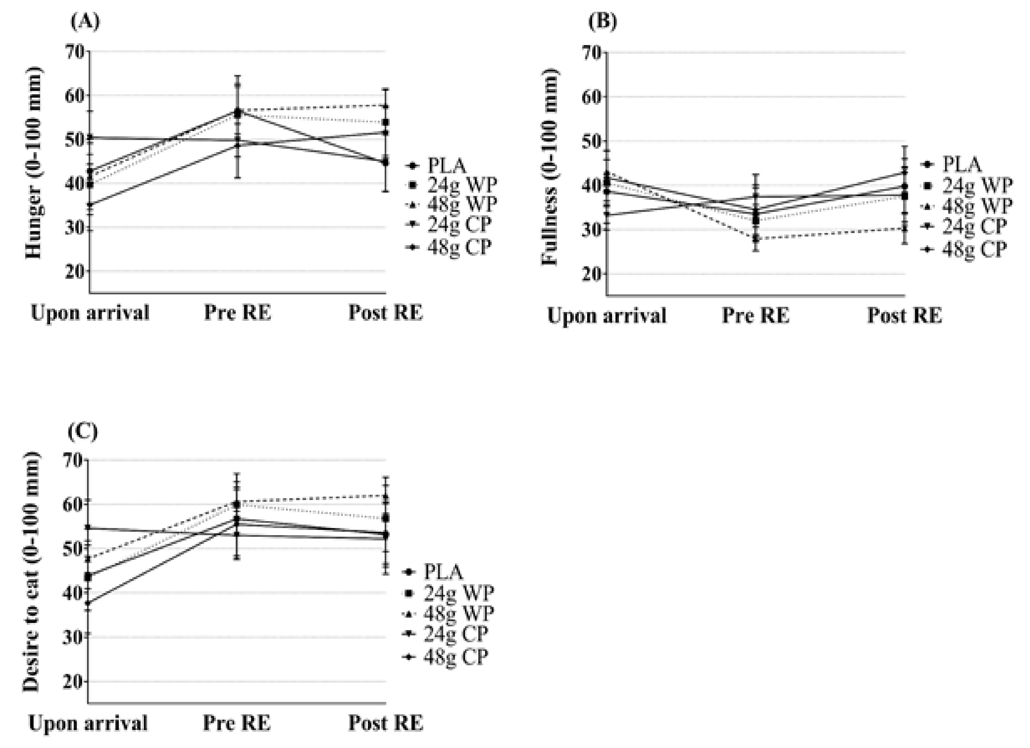
3.1. Assessment of Appetite
3.2. Affect
3.3. Cortisol Responses
3.4. Relationship between Appetite, Affect and Cortisol
4. Discussion
5. Conclusions
Author Contributions
Funding
Acknowledgments
Conflicts of Interest
References
- Kinsey, A.W.; Ormsbee, M.J. The Health Impact of Nighttime Eating: Old and New Perspectives. Nutrients 2015, 7, 2648–2662. [Google Scholar] [CrossRef] [PubMed]
- Trommelen, J.; van Loon, L.J. Pre-Sleep Protein Ingestion to Improve the Skeletal Muscle Adaptive Response to Exercise Training. Nutrients 2016, 8, 763. [Google Scholar] [CrossRef] [PubMed]
- Acheson, K.J.; Blondel-Lubrano, A.; Oguey-Araymon, S.; Beaumont, M.; Emady-Azar, S.; Ammon-Zufferey, C.; Monnard, I.; Pinaud, S.; Nielsen-Moennoz, C.; Bovetto, L. Protein Choices Targeting Thermogenesis and Metabolism. Am. J. Clin. Nutr. 2011, 93, 525–534. [Google Scholar] [CrossRef] [PubMed]
- Hursel, R.; van der Zee, L.; Westerterp-Plantenga, M.S. Effects of a Breakfast Yoghurt, with Additional Total Whey Protein or Caseinomacropeptide-Depleted Alpha-Lactalbumin-Enriched Whey Protein, on Diet-Induced Thermogenesis and Appetite Suppression. Br. J. Nutr. 2010, 103, 775–780. [Google Scholar] [CrossRef] [PubMed]
- Bos, C.; Metges, C.C.; Gaudichon, C.; Petzke, K.J.; Pueyo, M.E.; Morens, C.; Everwand, J.; Benamouzig, R.; Tome, D. Postprandial Kinetics of Dietary Amino Acids are the Main Determinant of their Metabolism After Soy or Milk Protein Ingestion in Humans. J. Nutr. 2003, 133, 1308–1315. [Google Scholar] [CrossRef] [PubMed]
- Boirie, Y.; Dangin, M.; Gachon, P.; Vasson, M.P.; Maubois, J.L.; Beaufrere, B. Slow and Fast Dietary Proteins Differently Modulate Postprandial Protein Accretion. Proc. Natl. Acad. Sci. USA 1997, 94, 14930–14935. [Google Scholar] [CrossRef] [PubMed]
- Trommelen, J.; Holwerda, A.M.; Kouw, I.W.; Langer, H.; Halson, S.L.; Rollo, I.; Verdijk, L.B.; VAN Loon, L.J. Resistance Exercise Augments Postprandial Overnight Muscle Protein Synthesis Rates. Med. Sci. Sports Exerc. 2016, 48, 2517–2525. [Google Scholar] [CrossRef] [PubMed]
- Res, P.T.; Groen, B.; Pennings, B.; Beelen, M.; Wallis, G.A.; Gijsen, A.P.; Senden, J.M.; VAN Loon, L.J. Protein Ingestion before Sleep Improves Postexercise Overnight Recovery. Med. Sci. Sports Exerc. 2012, 44, 1560–1569. [Google Scholar] [CrossRef] [PubMed]
- Devries, M.C.; Phillips, S.M. Supplemental Protein in Support of Muscle Mass and Health: Advantage Whey. J. Food Sci. 2015, 80, A8–A15. [Google Scholar] [CrossRef] [PubMed]
- Andersen, L.L.; Tufekovic, G.; Zebis, M.K.; Crameri, R.M.; Verlaan, G.; Kjaer, M.; Suetta, C.; Magnusson, P.; Aagaard, P. The Effect of Resistance Training Combined with Timed Ingestion of Protein on Muscle Fiber Size and Muscle Strength. Metabolism 2005, 54, 151–156. [Google Scholar] [CrossRef] [PubMed]
- De Castro, J.M. The Time of Day of Food Intake Influences overall Intake in Humans. J. Nutr. 2004, 134, 104–111. [Google Scholar] [CrossRef] [PubMed]
- Lorenzen, J.; Frederiksen, R.; Hoppe, C.; Hvid, R.; Astrup, A. The Effect of Milk Proteins on Appetite Regulation and Diet-Induced Thermogenesis. Eur. J. Clin. Nutr. 2012, 66, 622–627. [Google Scholar] [CrossRef] [PubMed]
- Madzima, T.A.; Panton, L.B.; Fretti, S.K.; Kinsey, A.W.; Ormsbee, M.J. Night-Time Consumption of Protein Or Carbohydrate Results in Increased Morning Resting Energy Expenditure in Active College-Aged Men. Br. J. Nutr. 2014, 111, 71–77. [Google Scholar] [CrossRef] [PubMed]
- Kinsey, A.W.; Eddy, W.R.; Madzima, T.A.; Panton, L.B.; Arciero, P.J.; Kim, J.S.; Ormsbee, M.J. Influence of Night-Time Protein and Carbohydrate Intake on Appetite and Cardiometabolic Risk in Sedentary Overweight and Obese Women. Br. J. Nutr. 2014, 112, 320–327. [Google Scholar] [CrossRef] [PubMed]
- Ormsbee, M.J.; Gorman, K.A.; Miller, E.A.; Baur, D.A.; Eckel, L.A.; Contreras, R.J.; Panton, L.B.; Spicer, M.T. Nighttime Feeding Likely Alters Morning Metabolism but Not Exercise Performance in Female Athletes. Appl. Physiol. Nutr. MeTable 2016, 41, 719–727. [Google Scholar] [CrossRef] [PubMed]
- Hepworth, R.; Mogg, K.; Brignell, C.; Bradley, B.P. Negative Mood Increases Selective Attention to Food Cues and Subjective Appetite. Appetite 2010, 54, 134–142. [Google Scholar] [CrossRef]
- Leidy, H.J.; Todd, C.B.; Zino, A.Z.; Immel, J.E.; Mukherjea, R.; Shafer, R.S.; Ortinau, L.C.; Braun, M. Consuming High-Protein Soy Snacks Affects Appetite Control, Satiety, and Diet Quality in Young People and Influences Select Aspects of Mood and Cognition. J. Nutr. 2015, 145, 1614–1622. [Google Scholar] [CrossRef]
- Williams, D.M. Exercise, Affect, and Adherence: An Integrated Model and a Case for Self-Paced Exercise. J. Sport Exerc. Psychol. 2008, 30, 471–496. [Google Scholar] [CrossRef]
- Ekkekakis, P.; Hall, E.E.; Petruzzello, S.J. The Relationship between Exercise Intensity and Affective Responses Demystified: To Crack the 40-Year-Old Nut, Replace the 40-Year-Old Nutcracker! Ann. Behav. Med. 2008, 35, 136–149. [Google Scholar] [CrossRef]
- Ekkekakis, P.; Parfitt, G.; Petruzzello, S.J. The Pleasure and Displeasure People Feel when they Exercise at Different Intensities: Decennial Update and Progress towards a Tripartite Rationale for Exercise Intensity Prescription. Sports Med. 2011, 41, 641–671. [Google Scholar] [CrossRef]
- Reed, J.; Buck, S. The Effect of Regular Aerobic Exercise on Positive-Activated Affect: A Meta-Analysis. Psychol. Sport Exerc. 2009, 10, 581–594. [Google Scholar] [CrossRef]
- Bellezza, P.A.; Hall, E.E.; Miller, P.C.; Bixby, W.R. The Influence of Exercise Order on Blood Lactate, Perceptual, and Affective Responses. J. Strength Cond. Res. 2009, 23, 203–208. [Google Scholar] [CrossRef] [PubMed]
- Chmelo, E.A.; Hall, E.E.; Miller, P.C.; Sanders, K.N. Mirrors and Resistance Exercise, do they Influence Affective Responses? J. Health Psychol. 2009, 14, 1067–1074. [Google Scholar] [CrossRef] [PubMed]
- Cavarretta, D.J.; Hall, E.E.; Bixby, W.R. The Acute Effects of Resistance Exercise on Affect, Anxiety, and Mood—Practical Implications for Designing Resistance Training Programs. Int. Rev. Sport Exerc. Psychol. 2018. [Google Scholar] [CrossRef]
- Kraemer, W.J.; Ratamess, N.A. Hormonal Responses and Adaptations to Resistance Exercise and Training. Sports Med. 2005, 35, 339–361. [Google Scholar] [CrossRef] [PubMed]
- Spath-Schwalbe, E.; Scholler, T.; Kern, W.; Fehm, H.L.; Born, J. Nocturnal Adrenocorticotropin and Cortisol Secretion Depends on Sleep Duration and Decreases in Association with Spontaneous Awakening in the Morning. J. Clin. Endocrinol. MeTable 1992, 75, 1431–1435. [Google Scholar]
- Yau, Y.H.; Potenza, M.N. Stress and Eating Behaviors. Minerva Endocrinol. 2013, 38, 255–267. [Google Scholar] [PubMed]
- Doane, L.D.; Zeiders, K.H. Contextual Moderators of Momentary Cortisol and Negative Affect in Adolescents’ Daily Lives. J. Adolesc. Health 2014, 54, 536–542. [Google Scholar] [CrossRef]
- Piazza, J.R.; Charles, S.T.; Stawski, R.S.; Almeida, D.M. Age and the Association between Negative Affective States and Diurnal Cortisol. Psychol. Aging 2013, 28, 47–56. [Google Scholar] [CrossRef]
- Polk, D.E.; Cohen, S.; Doyle, W.J.; Skoner, D.P.; Kirschbaum, C. State and Trait Affect as Predictors of Salivary Cortisol in Healthy Adults. Psychoneuroendocrinology 2005, 30, 261–272. [Google Scholar] [CrossRef]
- Hoyt, L.T.; Craske, M.G.; Mineka, S.; Adam, E.K. Positive and Negative Affect and Arousal: Cross-Sectional and Longitudinal Associations with Adolescent Cortisol Diurnal Rhythms. Psychosom. Med. 2015, 77, 392–401. [Google Scholar] [CrossRef] [PubMed]
- Human, L.J.; Whillans, A.V.; Hoppmann, C.A.; Klumb, P.; Dickerson, S.S.; Dunn, E.W. Finding the Middle Ground: Curvilinear Associations between Positive Affect Variability and Daily Cortisol Profiles. Emotion 2015, 15, 705–720. [Google Scholar] [CrossRef] [PubMed]
- Steptoe, A.; Gibson, E.L.; Hamer, M.; Wardle, J. Neuroendocrine and Cardiovascular Correlates of Positive Affect Measured by Ecological Momentary Assessment and by Questionnaire. Psychoneuroendocrinology 2007, 32, 56–64. [Google Scholar] [CrossRef] [PubMed]
- Rudolph, D.L.; McAuley, E. Cortisol and Affective Responses to Exercise. J. Sports Sci. 1998, 16, 121–128. [Google Scholar] [CrossRef] [PubMed]
- Chen, C.; Nakagawa, S.; An, Y.; Ito, K.; Kitaichi, Y.; Kusumi, I. The Exercise-Glucocorticoid Paradox: How Exercise is Beneficial to Cognition, Mood, and the Brain while Increasing Glucocorticoid Levels. Front. Neuroendocrinol. 2017, 44, 83–102. [Google Scholar] [CrossRef]
- Jacks, D.E.; Sowash, J.; Anning, J.; McGloughlin, T.; Andres, F. Effect of Exercise at Three Exercise Intensities on Salivary Cortisol. J. Strength Cond Res. 2002, 16, 286–289. [Google Scholar] [PubMed]
- Williams, A.G.; Ismail, A.N.; Sharma, A.; Jones, D.A. Effects of Resistance Exercise Volume and Nutritional Supplementation on Anabolic and Catabolic Hormones. Eur. J. Appl. Physiol. 2002, 86, 315–321. [Google Scholar] [CrossRef] [PubMed]
- Kraemer, W.J.; Volek, J.S.; Bush, J.A.; Putukian, M.; Sebastianelli, W.J. Hormonal Responses to Consecutive Days of Heavy-Resistance Exercise with or without Nutritional Supplementation. J. Appl. Physiol. 1998, 85, 1544–1555. [Google Scholar] [CrossRef]
- Madzima, T.A.; Melanson, J.T.; Black, J.R.; Nepocatych, S. Pre-Sleep Consumption of Casein and Whey Protein: Effects on Morning Metabolism and Resistance Exercise Performance in Active Women. Nutrients 2018, 10, 1273. [Google Scholar] [CrossRef]
- Flint, A.; Raben, A.; Blundell, J.E.; Astrup, A. Reproducibility, Power and Validity of Visual Analogue Scales in Assessment of Appetite Sensations in Single Test Meal Studies. Int. J. Obes. Relat. Metab. Disord. 2000, 24, 38–48. [Google Scholar] [CrossRef]
- Russell, J.A. A Circumplex Model of Affect. J. Personal. Soc. Psychol. 1980, 39, 1161–1178. [Google Scholar] [CrossRef]
- Hardy, C.J.; Rejeski, W.J. Not what, but how One Feels: The Measurement of Affect during Exercise. J. Sport Exerc. Psychol. 1989, 11, 304–317. [Google Scholar] [CrossRef]
- Svebak, S.; Murgatroyd, S. Metamotivational Dominance: A Multimethod Validation of Reversal Theory Constructs. J. Personal. Soc. Psychol. 1985, 48, 107–116. [Google Scholar] [CrossRef]
- Thayer, R.E. Activation-Deactivation Adjective Check List: Current Overview and Structural Analysis. Psychol. Rep. 1986, 58, 607–614. [Google Scholar] [CrossRef]
- Thayer, R.E. The Biopsychology of Mood and Arousal; Oxford University Press: Oxford, UK, 1989. [Google Scholar]
- Kinsey, A.W.; Cappadona, S.R.; Panton, L.B.; Allman, B.R.; Contreras, R.J.; Hickner, R.C.; Ormsbee, M.J. The Effect of Casein Protein Prior to Sleep on Fat Metabolism in Obese Men. Nutrients 2016, 8, 452. [Google Scholar] [CrossRef]
- Ozdogan, Y.; Ozcelik, A.O.; Surucuoglu, M.S. The Breakfast Habits of Female University Students. Pak. J. Nutr. 2010, 9, 882–886. [Google Scholar] [CrossRef]
- Silliman, K.; Rodas-Fortier, K.; Neyman, M. A Survey of Dietary and Exercise Habits and Perceived Barriers to Following a Healthy Lifestyle in a College Population. Calif. J. Health Promot. 2004, 2, 10–19. [Google Scholar]
- Gross, J.J. The Emerging Field of Emotion Regulation: An Integrative Review. Rev. Gen. Psychol. 1998, 2, 271–299. [Google Scholar] [CrossRef]
- Spoor, S.T.P.; Bekker, M.H.J.; Van Strien, T.; van Heck, G.L. Relations between Negative Affect, Coping, and Emotional Eating. Appetite 2007, 48, 368–376. [Google Scholar] [CrossRef]
- Hsiao, E.T.; Thayer, R.E. Exercising for Mood Regulation: The Importance of Experience. Personal. Individ. Differ. 1998, 24, 829–836. [Google Scholar] [CrossRef]
- Lay, A.H.H.; Crabtree, D.R.; Campbell, T.G.; Dreczkowski, G.M.; Galloway, S.D.R.; Tipton, K.D.; Witard, O.C. A Bedtime Milk Snack does Not Impact RMR, Substrate Utilisation and Appetite the Following Morning in Mildly Overweight Males. Br. J. Nutr. 2018, 119, 1355–1365. [Google Scholar] [CrossRef] [PubMed]




| Variable | Men (n = 5) | Women (n = 9) |
|---|---|---|
| Age | 21.6 ± 2.0 | 25.3 ± 6.4 |
| Height (m)* | 1.85 ± 0.1 | 1.64 ± 0.1 |
| Weight (kg)* | 84.8 ± 7.9 | 61.0 ± 4.8 |
| BMI (kg/m2) | 24.7 ± 2.9 | 22.6 ± 2.4 |
| Body Fat (%) | 17.7 ± 5.7 | 22.0 ± 6.2 |
| Maximal Strength Measures (1-RM) | ||
| Chest Press (kg) * | 118.7 ± 35.2 | 45.0 ± 10.3 |
| Leg Press (kg) * | 162.6 ± 65.6 | 103.3 ± 20.1 |
| Lat. Pull Down (kg) * | 89.1 ± 20.4 | 46.2 ± 5.3 |
| Leg Extension (kg) * | 155.9 ± 0.0 | 117.3 ± 20.0 |
| Shoulder Press (kg) * | 97.6 ± 35.3 | 34.9 ± 7.2 |
| Leg Flexion (kg) * | 137.0 ± 26.6 | 79.3 ± 18.9 |
| Variable | Placebo | 24 g Casein | 48 g Casein | 24 g Whey | 48 g Whey |
|---|---|---|---|---|---|
| Pre FS | 2.3 ± 1.8 | 2.0 ± 2.0 | 1.4 ± 1.8 | 2.1 ± 1.8 | 2.1 ± 2.3 |
| Post FS | 2.1 ± 2.4 | 2.4 ± 1.0 | 2.2 ± 2.2 | 2.4 ± 2.4 | 2.3 ± 1.8 |
| Pre FAS | 2.1 ± 1.3 | 1.5 ± 0.8 | 1.5 ± 0.7 | 1.8 ± 1.1 | 1.8 ± 1.0 |
| Post FAS | 3.9 ± 1.1 | 4.1 ± 1.0 | 4.2 ± 0.9 | 4.3 ± 1.0 | 4.1 ± 1.1 |
| Pre EA | 21.8 ± 6.6 | 18.5 ± 6.5 | 20.8 ± 6.7 | 21.9 ± 6.7 | 20.4 ± 6.6 |
| Post EA | 26.8 ± 5.8 | 28.9 ± 3.2 | 29.8 ± 7.1 | 31.4 ± 4.3 | 30.9 ± 2.5 |
| Pre TA | 18.4 ± 5.2 | 16.1 ± 4.0 | 18.9 ± 4.5 | 16.8 ± 4.7 | 15.6 ± 3.4 |
| Post TA | 22.5 ± 5.6 | 25.9 ± 4.1 | 25.9 ± 3.4 | 25.3 ± 3.8 | 24.8 ± 3.0 |
| Variable | FS | FAS | EA | TA | Hungry | Fullness | Desire |
|---|---|---|---|---|---|---|---|
| Before Resistance Exercise | |||||||
| FS | – | – | – | – | – | – | – |
| FAS | 0.25 * | – | – | – | – | – | – |
| EA | 0.54 ** | 0.58 ** | – | – | – | – | – |
| TA | 0.18 | 0.48 ** | 0.47 ** | – | – | – | – |
| Hungry | 0.03 | 0.08 | −0.09 | 0.25 * | – | – | – |
| Fullness | 0.06 | 0.03 | −0.01 | −0.11 | −0.49 ** | – | – |
| Desire | 0.07 | 0.11 | −0.02 | 0.35 ** | 0.89 ** | −0.33 ** | – |
| Cortisol | 0.13 | 0.03 | 0.21 | 0.08 | −0.08 | −0.01 | −0.15 |
| After Resistance Exercise | |||||||
| FS | – | – | – | – | – | – | – |
| FAS | 0.40 ** | – | – | – | – | – | – |
| EA | 0.63 ** | 0.45 ** | – | – | – | – | – |
| TA | 0.25 * | 0.39 ** | 0.59 ** | – | – | – | – |
| Hungry | −0.06 | −0.10 | −0.14 | −0.06 | – | – | – |
| Fullness | −0.10 | −0.06 | −0.04 | 0.20 | −0.50 ** | – | – |
| Desire | −0.02 | −0.08 | −0.15 | −0.09 | 0.89 ** | −0.50 ** | – |
| Cortisol | 0.32 * | 0.33 * | 0.33 * | 0.10 | −0.07 | −0.23 | −0.12 |
© 2018 by the authors. Licensee MDPI, Basel, Switzerland. This article is an open access article distributed under the terms and conditions of the Creative Commons Attribution (CC BY) license (http://creativecommons.org/licenses/by/4.0/).
Share and Cite
Madzima, T.A.; Black, J.R.; Melanson, J.T.; Nepocatych, S.; Hall, E.E. Influence of Resistance Exercise on Appetite and Affect Following Pre-Sleep Feeding. Sports 2018, 6, 172. https://doi.org/10.3390/sports6040172
Madzima TA, Black JR, Melanson JT, Nepocatych S, Hall EE. Influence of Resistance Exercise on Appetite and Affect Following Pre-Sleep Feeding. Sports. 2018; 6(4):172. https://doi.org/10.3390/sports6040172
Chicago/Turabian StyleMadzima, Takudzwa A., Jonas R. Black, Jared T. Melanson, Svetlana Nepocatych, and Eric E. Hall. 2018. "Influence of Resistance Exercise on Appetite and Affect Following Pre-Sleep Feeding" Sports 6, no. 4: 172. https://doi.org/10.3390/sports6040172
APA StyleMadzima, T. A., Black, J. R., Melanson, J. T., Nepocatych, S., & Hall, E. E. (2018). Influence of Resistance Exercise on Appetite and Affect Following Pre-Sleep Feeding. Sports, 6(4), 172. https://doi.org/10.3390/sports6040172

