Individual Responses to an 8-Week Neuromuscular Training Intervention in Trained Pre-Pubescent Female Artistic Gymnasts
Abstract
1. Introduction
2. Materials and Methods
2.1. Subjects
2.2. Procedures
2.2.1. Familiarization Session
2.2.2. Testing Procedures
2.2.3. Movement Proficiency
2.2.4. Sub-Maximal Hopping
2.2.5. Drop Jumps
2.2.6. Trunk Muscular Endurance Hold Tests
2.3. Training Program
2.4. Statistical Analyses
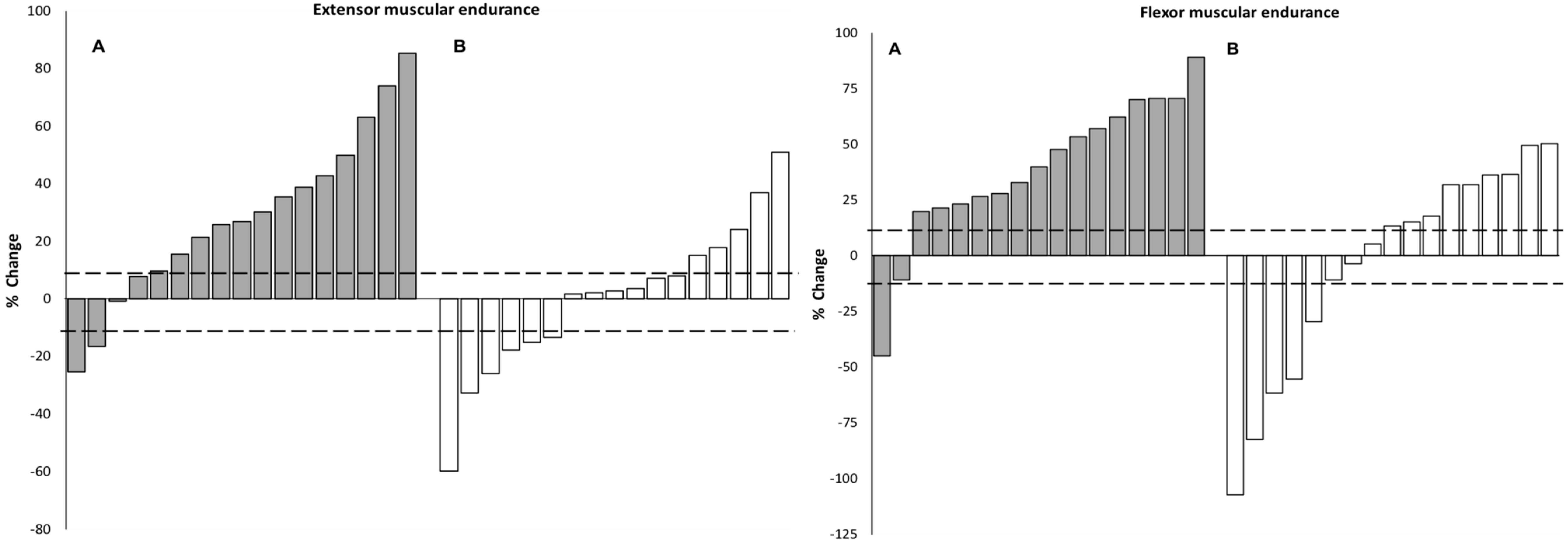
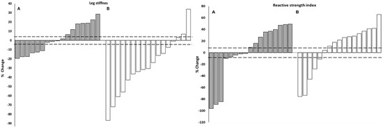
3. Results
4. Discussion
5. Conclusions
Author Contributions
Funding
Acknowledgments
Conflicts of Interest
Appendix A
References
- Burt, L.A.; Naughton, G.A.; Higham, D.G.; Landeo, R. Training load in pre-pubertal female artistic gymnastics. Sci. Gymnast. J. 2010, 2, 5–14. [Google Scholar]
- Sands, W.; Mikesky, A.; Edwards, J. Physical abilities field tests US Gymnastics Federation Women’s National Teams. USGF Sport Sci. Congr. Proc. 1991, 1, 39–47. [Google Scholar]
- Sands, W.; McNeal, J.; Jemnic, M.; Delonga, T. Should Female Gymnasts Lift Weights? Available online: http://sportsci.org/jour/0003/was.html (accessed on January 2018).
- French, D.N.; Gomez, A.L.; Volek, J.S.; Rubin, M.R.; Ratamess, N.A.; Sharman, M.J.; Gotshalk, L.A.; Sebastianelli, W.J.; Putukian, M.; Newton, R.U.; et al. Longitudinal tracking of muscular power changes of NCAA Division I collegiate women gymnasts. J. Strength Cond. Res. 2004, 18, 101–107. [Google Scholar] [PubMed]
- Marina, M.; Jemni, M. Plyometric training performance in elite-oriented prepubertal female gymnasts. J. Strength Cond. Res. 2014, 28, 1015–1025. [Google Scholar] [CrossRef] [PubMed]
- Moeskops, S.; Oliver, J.; Read, P.; Cronin, J.; Myer, G.; Lloyd, R. The physiological demands of youth artistic gymnastics; applications to strength and conditioning. J. Strength Cond. 2018, in press. [Google Scholar] [CrossRef]
- Faigenbaum, A.; Farrell, A.; Fabiano, M.; Radler, T.; Naclerio, F.; Ratamess, N.; Kang, J.; Myer, G. Effects of integrative neuromuscular training on fitness performance in children. Pediatr. Exerc. Sci. 2011, 23, 573–584. [Google Scholar] [CrossRef] [PubMed]
- Lloyd, R.S.; Oliver, J.L. The youth physical development model: A new approach to long-term athletic development. J. Strength Cond. Res. 2012, 34, 61–72. [Google Scholar] [CrossRef]
- Quatman-Yates, C.C.; Myer, G.D.; Ford, K.R.; Hewett, T.E. A longitudinal evaluation of maturational effects on lower extremity strength in female adolescent athletes. Pediatr. Phys. Ther. 2013, 25, 271–276. [Google Scholar] [CrossRef] [PubMed]
- Myer, G.D.; Faigenbaum, A.D.; Chu, D.A.; Falkel, J.; Ford, K.R.; Best, T.M.; Hewett, T.E. Integrative training for children and adolescents: Techniques and practices for reducing sports-related injuries and enhancing athletic performance. Phys. Sportsmed. 2011, 39, 74–84. [Google Scholar] [CrossRef] [PubMed]
- Myer, G.; Ford, K.; Paulumbo, J.; Hewett, T. Neuromuscular training improves performance and lower-extremity bio in female athletes. J. Strength Cond. Res. 2005, 19, 51–60. [Google Scholar] [PubMed]
- McNeal, J.R.; Sands, W.A.; Shultz, B.B. Muscle activation characteristics of tumbling take-offs. Sports Biomech. 2007, 6, 375–390. [Google Scholar] [CrossRef] [PubMed]
- Katrichis, N.E.; Moca, A. Sports Performance Series: The planche. Strength Cond. J. 1992, 14, 6–9. [Google Scholar] [CrossRef]
- Lloyd, R.S.; Meyers, R.W.; Oliver, J.L. The natural development and trainability of plyometric ability during childhood. J. Strength Cond. Res. 2011, 3, 23–32. [Google Scholar] [CrossRef]
- Lloyd, R.S.; Oliver, J.L.; Hughes, M.G.; Williams, C.A. Specificity of test selection for the appropriate assessment of different measures of stretch-shortening cycle function in children. J. Sports Med. Phys. Fit. 2011, 51, 595–602. [Google Scholar]
- Schmidtbleicher, D. Training for power events. In Strength and Power in Sport; Komi, P., Ed.; Blackwell Scientific Publications: Oxford, UK, 1992; pp. 381–395. [Google Scholar]
- Ramirez-Campillo, R.; Alvarez, C.; Gentil, P.; Moran, J.; García-Pinillos, F.; Alonso-Martínez, A.; Izquierdo, M. Inter-individual Variability in Responses to 7 Weeks of Plyometric Jump Training in Male Youth Soccer Players. Front. Physiol. 2018, 9, 1156. [Google Scholar] [CrossRef] [PubMed]
- Lloyd, R.; Oliver, J.; Hughes, M.; Williams, C. The effects of 4-weeks of plyometric training on reactive strength index and leg stiffness in male youths. J. Strength Cond. Res. 2012, 26, 2812–2819. [Google Scholar] [CrossRef] [PubMed]
- Radnor, J.M.; Lloyd, R.; Oliver, J. Individual response to different forms of resistance training in school-aged boys. J. Strength Cond. Res. 2017, 31, 787–797. [Google Scholar] [CrossRef] [PubMed]
- Lloyd, R.S.; Radnor, J.M.; De Ste Croix, M.B.A.; Cronin, J.B.; Oliver, J.L. Changes in sprint and jump performances after traditional, plyometric, and combined resistance training in male youth pre- and post-peak height velocity. J. Strength Cond. Res. 2015, 30, 1239–1247. [Google Scholar] [CrossRef] [PubMed]
- Suchomel, T.; Sands, W.; McNeal, J. Comparison of static, countermovement, and drop jumps of the upper and lower extremities in U.S. Junior national team male gymnasts. Sci. Gymn. J. 2016, 8, 15–30. [Google Scholar]
- Arampatzis, A.; Stafilidis, S.; Morey-Klapsing, G.; Bruggemann, G.P. Interaction of the human body and surfaces of different stiffness during drop jumps. Med. Sci. Sports Exerc. 2004, 36, 451–459. [Google Scholar] [CrossRef] [PubMed]
- Lloyd, R.; Oliver, J.; Radnor, J.; Rhodes, B.; Faigenbaum, A.; Myer, G. Relationships between functional movement screen scores, maturation and physical performance in young soccer players. J. Sports Sci. 2015, 33, 11–19. [Google Scholar] [CrossRef] [PubMed]
- Cook, G.; Burton, L.; Hoogenboom, B. Pre-Participation Screening: The use of fundamental Movements As An Assessment Of Function—Part 2. N. Am. J. Sports Phys. Ther. 2006, 1, 132–139. [Google Scholar] [PubMed]
- Cook, G.; Burton, L.; Hoogenboom, B. Pre-participation screening: The use of fundamental movements as an assessment of function—Part 1. N. Am. J. Sports Phys. Ther. 2006, 1, 62–72. [Google Scholar] [PubMed]
- Paterno, M.V.; Myer, G.D.; Ford, K.R.; Hewett, T.E. Neuromuscular training improves single-limb stability in young female athletes. J. Orthop. Sports Phys. Ther. 2004, 34, 305–316. [Google Scholar] [CrossRef] [PubMed]
- Lloyd, R.S.; Oliver, J.L.; Faigenbaum, A.D.; Myer, G.D.; De Ste Croix, M.B.A. Chronological age vs. biological maturation—Implications for exercise programming in youth. J. Strength Cond. Res. 2014, 28, 1454–1464. [Google Scholar] [CrossRef] [PubMed]
- Mirwald, R.; Baxter-Jones, A.; Bailey, D.; Beunen, G. An assessment of maturity from anthropometric measurements. Med. Sci. Sports Exerc. 2002, 34, 689–694. [Google Scholar] [PubMed]
- Malina, R.; Bouche, R.; Bar-Or, O. Growth, Maturation, and Physical Activity; Human Kinetics: Champaign, IL, USA, 2004. [Google Scholar]
- Hoffman, M.; Schrader, J.; Applegate, T.; Koceja, D. Unilateral postural control of the functionally dominant and nondominant extremities of healthy subjects. J. Athl. Train. 1998, 33, 319–322. [Google Scholar] [PubMed]
- Lloyd, R.; Oliver, J.; Hughes, M.; Williams, V. Reliability and validity of field-based measures of leg stiffness and reactive strength index in youths. J. Sports Sci. 2009, 27, 1565–1573. [Google Scholar] [CrossRef] [PubMed]
- Hannibal, N.; Plowman, S.; Looney, M.; Brandenburg, J. Reliability and validity of low back strength/muscular endurance field tests in adolescents. J. Phys. Act. Health 2006, 3, 78–89. [Google Scholar] [CrossRef]
- Durall, C.; Udermann, B.; Johansen, D.; Gibson, B.; Reineke, D.; Reuteman, P. The effects of preseason trunk muscle training on low-back pain occurrence in women collegiate gymnasts. J. Strength Cond. Res. 2009, 23, 86–92. [Google Scholar] [CrossRef] [PubMed]
- Bassa, E.; Patikas, D.; Panagiotidou, A.; Papadopoulou, S.; Pylianidis, T.; Kotzamanidis, C. The effect of dropping height on jumping performance in trained and untrained prepubertal boys and girls. J. Strength Cond. Res. 2013, 26, 2258–2264. [Google Scholar] [CrossRef] [PubMed]
- Flanagan, E.; Ebben, W.; Jensen, R. Reliability of the reactive strength index and time to stabilization during depth jumps. J. Strength Cond. Res. 2008, 22, 1677–1682. [Google Scholar] [CrossRef] [PubMed]
- Flanagan, E.; Comyns, T. The use of contact time and the reactive strength index to optimize fast SSC training. J. Strength Cond. Res. 2008, 30, 32–38. [Google Scholar] [CrossRef]
- Biering-Sorensen, F. Physical measurements as risk indicators for low-back trouble over a one-year period. Spine 1984, 9, 106–119. [Google Scholar] [CrossRef] [PubMed]
- Piazza, M.; Battaglia, C.; Fiorilli, G.; Innocenti, G.; Iuliano, E.; Aquino, G.; Calcagno, G.; Giombini, A.; Di Cagno, A. Effects of resistance training on jumping performance in pre-adolescent rhythmic gymnasts: A randomized controlled study. Ital. J. Anat. Embryol. 2014, 119, 10–19. [Google Scholar] [PubMed]
- Sharp, D. Your chi-square test is Statistically Significant: Now what? Pract. Assess. Res. Eval. 2015, 20, 1–10. [Google Scholar]
- MacDonald, P.; Gardner, R. Type I error rate comparisons of post hoc procedures for I J chi-square tables. Educ. Psychol. Meas. 2000, 60, 735–754. [Google Scholar] [CrossRef]
- Čuljak, Z.; Ćavar, M.; Crnjac, D.; Ćorluk, M.; Marić, K. Effectiveness of the school of gymnastics in 7 years old. Sports Sci. Pract. Asp. 2011, 8, 41–45. [Google Scholar]
- Trajković, N.; Madić, D.; Sporiš, G.; Aleksić-Veljković, A.; Živčić-Marković, K. Impact of Gymnastics Program on Healthrelated Fitness in Adolescent Pupils. Sci. Gymn. J. 2016, 8, 157–166. [Google Scholar]
- Myer, G.D.; Sugimoto, D.; Thomas, S.; Hewett, T.E. The influence of age on the effectiveness of neuromuscular training to reduce anterior cruciate ligament injury in female athletes: A meta-analysis. Am. J. Sports Med. 2013, 41, 203–215. [Google Scholar] [CrossRef] [PubMed]
- Borms, J. The child and exercise: An overview. J. Sports Sci. 1986, 4, 4–21. [Google Scholar] [CrossRef] [PubMed]
- Lee, B.C.; McGill, S.M. Effect of long-term isometric training on core/torso stiffness. J. Strength Cond. Res. 2015, 29, 1515–1526. [Google Scholar] [CrossRef] [PubMed]
- McGill, S. Core training: Evidence translating to better performance and injury prevention. J. Strength Cond. 2010, 32, 33–46. [Google Scholar] [CrossRef]
- Arampatzis, A.; Bruggemann, G.P.; Klapsing, G.M. Leg stiffness and mechanical energetic processes during jumping on a sprung surface. Med. Sci. Sports Exerc. 2001, 33, 923–931. [Google Scholar] [CrossRef] [PubMed]
- Bencke, J.; Damsgaar, R.; Saekmose, A.; Jergensen, P.; Jorgensen, K.; Klausen, K. Anaerobic power and muscle strength characteristics of 11 years old elite and non-elite boys and girls from gymnastics, team handball, tennis and swimming. Scand. J. Med. Sci. Sports 2002, 12, 171–178. [Google Scholar] [CrossRef] [PubMed]
- Lesinski, M.; Prieske, O.; Granacher, U. Effects and dose-response relationships of resistance training on physical performance in youth athletes: A systematic review and meta-analysis. Br. J. Sports Med. 2016, 50, 781–795. [Google Scholar] [CrossRef] [PubMed]
- Faigenbaum, A.; Milliken, L.; Cloutier, G.; Westcott, W. Perceived exertion during esistance exercise by children. Percept. Mot. Skills 2004, 98, 627–637. [Google Scholar] [CrossRef] [PubMed]
- Sands, W. Injury prevention in women’s gymnastics. Sports Med. 2000, 30, 359–373. [Google Scholar] [CrossRef] [PubMed]
- Colclough, A.; Munro, A.G.; Herrington, L.C.; McMahon, J.J.; Comfort, P. The effects of a four week jump-training program on frontal plane projection angle in female gymnasts. Phys. Ther. Sport 2018, 30, 29–33. [Google Scholar] [CrossRef] [PubMed]


| Group | Age (Year) | Body Mass (kg) | Standing Height (cm) | Seated Height (cm) |
|---|---|---|---|---|
| Training | 8.2 ± 1.7 | 26.1 ± 5.1 | 127.0 ± 10.0 | 68.5 ± 5.3 |
| Control | 10.0 ± 1.2 * | 30.8 ± 5.4 * | 134.0 ± 9.2 * | 70.4 ± 4.1 |
| W | Exercise | Sets | Reps | |
|---|---|---|---|---|
| 1 | TC | Dish, arch & plank conditioning set | 2 | 10 |
| MP | Inch worms, gluteal bridges, bilateral CMJs, broad jumps, | |||
| RT | Countermovement squats, split squats, forward lunges, | |||
| 2 | TC | Dish, arch & support conditioning set | 2 | 10 |
| MP | Clams, SL gluteal bridges, bilateral CMJs, broad jumps, | |||
| RT | Back squats *, split squats, forward lunges, | |||
| 3 | TC | Extension, flexion & lateral isometric holds, plank isometric holds | 4 | 6 |
| MP | Monster walks, SL gluteal bridges, rebounds, skipping, hop & stick | |||
| RT | Goblet squats, drop landing, SL lunges (DB), SL rock to stand | |||
| 4 | TC | Extension, flexion & lateral isometric holds, plank isometric holds | 4 | 6 |
| MP | Monster walks, SL gluteal bridges, rebounds, skipping, hop & stick | |||
| RT | Goblet squats, drop landing, SL lunges (DB), SL rock to stand | |||
| 5 | TC | Extension, flexion & lateral isometric holds, plank isometric holds | 4 | 6 |
| MP | Abductor leg lifts, Hamstring bridges, multidirectional hop & stick, pogos | |||
| RT | Goblet squats, drop landing, SL lunges (DB), SL rock to stand | |||
| 6 | TC | Handstand trunk conditioning set | 3 | 5 |
| MP | Abductor leg lifts, Hamstring bridges, multidirectional hop & stick, pogos | |||
| RT | Overhead squats *, RDL, SL squat to box | |||
| 7 | TC | Handstand trunk conditioning set | 3 | 5 |
| MP | Monster walks (MB), hamstring bridge feet raised, hop hop stick, pogos | |||
| RT | Overhead squats *, RDL (RT), SL squat to box | |||
| 8 | TC | Dish, arch & support conditioning set (loaded) | 3 | 5 |
| MP | Monster walks (MB), hamstring bridge feet raised, hop hop stick, pogos | |||
| RT | Overhead squats (RB), RDL (DB), SL squat to box |
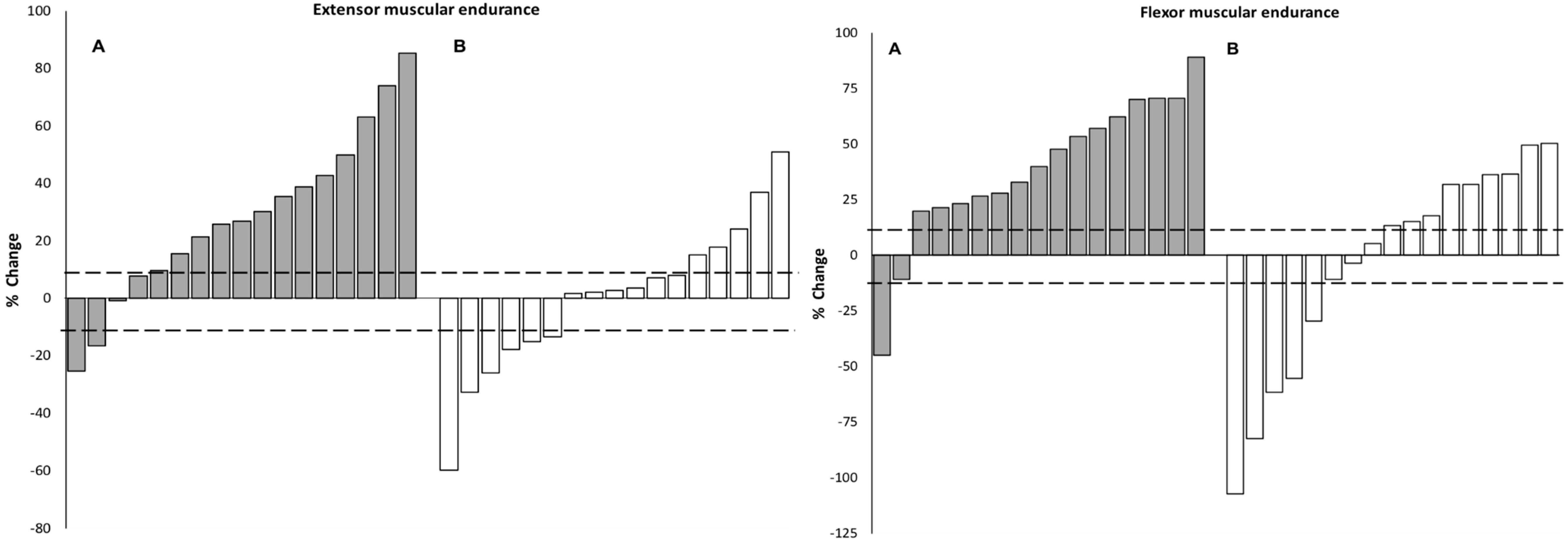
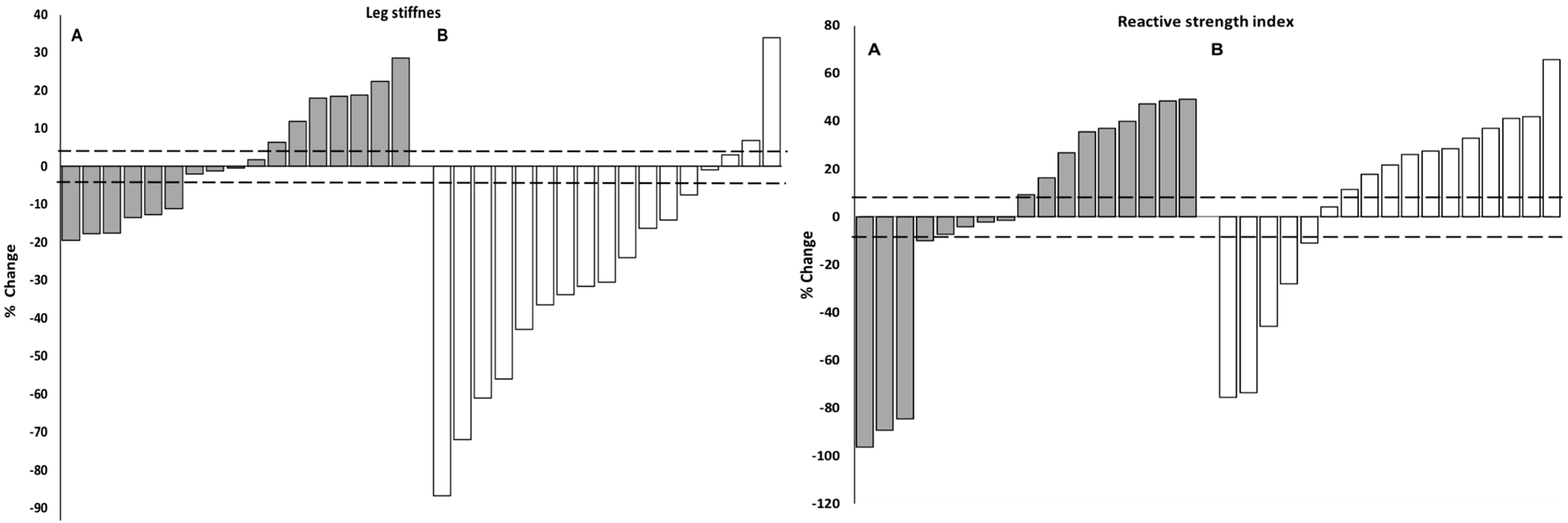
| Extensor End. | Flexor End. | Stiffness | RSI | |||||||||||||
|---|---|---|---|---|---|---|---|---|---|---|---|---|---|---|---|---|
| Pre | Post | Group Δ% | n > SWC | Pre | Post | Group Δ% | n > SWC | Pre | Post | Group Δ% | n > SWC | Pre | Post | Group Δ% | n > SWC | |
| Exp | 72.0 ± 45.9 | 102.9 ± 44.6 * | 28.5 ± 29.7 * | 13 # | 100.5 ± 72.0 | 179.2 ± 95.8 * | 38.7 ± 33.0 * | 15 | 20.2 ± 4.6 | 20.8 ± 4.8 | 1.82 ± 15.69 * | 7 # | 0.78 ± 0.30 | 0.94 ± 0.56 | 0.89 ± 48.01 | 9 |
| Con | 89.4 ± 25.6 | 92.5 ± 22.4 | 0.3 ± 26.5 | 5 | 119.1 ± 28.3 | 129.4 ± 58.33 | −3.7 ± 47.7 | 9 | 23.9 ± 4.8 | 19.5 ± 4.8 ^ | −27.63 ± 30.72 | 2 | 0.84 ± 0.38 | 0.95 ± 0.29 | 7.21 ± 40.86 | 11 |
| Deep Squat | In-Line Lunge Left | In-Line Lunge Right | |||||||||||||
|---|---|---|---|---|---|---|---|---|---|---|---|---|---|---|---|
| Exp | Median pre | Median post | n > SWC | Median pre | Median post | n > SWC | Median pre | Median post | n > SWC | ||||||
| 1 | 2 | 13# | 1 | 2 | 11# | 1 | 2 | 8 | |||||||
| % of 1 | 52.9 | 1 | 0 | % of 1 | 76.5 | 1 | 17.6 | % of 1 | 64.7 | 1 | 29.4 | ||||
| % of 2 | 23.5 | 2 | 52.9 | % of 2 | 5.9 | 2 | 58.8 | % of 2 | 23.5 | 2 | 47.1 | ||||
| % of 3 | 23.5 | 3 | 47.1 | % of 3 | 17.6 | 3 | 23.5 | % of 3 | 11.8 | 3 | 23.5 | ||||
| Con | Median pre | Median post | n > SWC | Median pre | Median post | n > SWC | Median pre | Median post | n > SWC | ||||||
| 2 | 2 | 5 | 2 | 2 | 3 | 2 | 2 | 6 | |||||||
| % of 1 | 35.3 | 1 | 11.8 | % of 1 | 41.2 | 1 | 35.3 | % of 1 | 29.4 | 1 | 5.9 | ||||
| % of 2 | 35.3 | 2 | 52.9 | % of 2 | 41.2 | 2 | 35.3 | % of 2 | 41.2 | 2 | 52.9 | ||||
| % of 3 | 29.4 | 3 | 35.3 | % of 3 | 17.6 | 3 | 29.4 | % of 3 | 29.4 | 3 | 41.2 | ||||
© 2018 by the authors. Licensee MDPI, Basel, Switzerland. This article is an open access article distributed under the terms and conditions of the Creative Commons Attribution (CC BY) license (http://creativecommons.org/licenses/by/4.0/).
Share and Cite
Moeskops, S.; Read, P.J.; Oliver, J.L.; Lloyd, R.S. Individual Responses to an 8-Week Neuromuscular Training Intervention in Trained Pre-Pubescent Female Artistic Gymnasts. Sports 2018, 6, 128. https://doi.org/10.3390/sports6040128
Moeskops S, Read PJ, Oliver JL, Lloyd RS. Individual Responses to an 8-Week Neuromuscular Training Intervention in Trained Pre-Pubescent Female Artistic Gymnasts. Sports. 2018; 6(4):128. https://doi.org/10.3390/sports6040128
Chicago/Turabian StyleMoeskops, Sylvia, Paul J. Read, Jon L. Oliver, and Rhodri S. Lloyd. 2018. "Individual Responses to an 8-Week Neuromuscular Training Intervention in Trained Pre-Pubescent Female Artistic Gymnasts" Sports 6, no. 4: 128. https://doi.org/10.3390/sports6040128
APA StyleMoeskops, S., Read, P. J., Oliver, J. L., & Lloyd, R. S. (2018). Individual Responses to an 8-Week Neuromuscular Training Intervention in Trained Pre-Pubescent Female Artistic Gymnasts. Sports, 6(4), 128. https://doi.org/10.3390/sports6040128
