Knee Angle and Stride Length in Association with Ball Speed in Youth Baseball Pitchers
Abstract
1. Introduction
2. Materials and Methods
2.1. Participants
2.2. Procedure
2.3. Data Acquisition
2.4. Data Analysis
2.5. Statistical Analysis
3. Results
4. Discussion
5. Conclusions
Author Contributions
Acknowledgments
Conflicts of Interest
References
- Calabrese, G.J. Pitching mechanics, revisited. Int. J. Sports Phys. Ther. 2013, 8, 652–660. [Google Scholar] [PubMed]
- Steindler, A. Kinesiology of the human body under normal and pathological conditions. J. Bone Join. Surg. 1955, 34, 736–737. [Google Scholar]
- Kibler, W. Biomechanical analysis of the shoulder during tennis activities. Clin. Sports Med. 1995, 14, 79–85. [Google Scholar] [PubMed]
- Burkhart, S.S.; Morgan, C.D.; Kibler, W.B. The disabled throwing shoulder: Spectrum of pathology part III: The sick scapula, scapular dyskinesis, the kinetic chain, and rehabilitation. Arthroscopy 2003, 19, 641–661. [Google Scholar] [CrossRef]
- Seroyer, S.T.; Nho, S.J.; Bach, B.R.; Bush-Joseph, C.A.; Nicholson, G.P.; Romeo, A.A. The kinetic chain in overhand pitching: Its potential role for performance enhancement and injury prevention. Sports Health 2010, 2, 135–146. [Google Scholar] [CrossRef] [PubMed]
- Escamilla, R.; Fleisig, G.; Barrentine, S.; Andrews, J.; Moorman, C., 3rd. Kinematic and kinetic comparisons between american and korean professional baseball pitchers. Sports Biomech. 2002, 1, 213–228. [Google Scholar] [CrossRef] [PubMed]
- Stodden, D.F.; Langendorfer, S.J.; Fleisig, G.S.; Andrews, J.R. Kinematic constraints associated with the acquisition of overarm throwing part I: Step and trunk actions. Res. Q. Exerc. Sport 2006, 77, 417–427. [Google Scholar] [CrossRef] [PubMed]
- Stodden, D.F.; Langendorfer, S.J.; Fleisig, G.S.; Andrews, J.R. Kinematic constraints associated with the acquisition of overarm throwing part II: Upper extremity actions. Res. Q. Exerc. Sport 2006, 77, 428–436. [Google Scholar] [CrossRef] [PubMed]
- Elliot, B.; Grove, J.R.; Gibson, B. Timing of the lower limb drive and throwing limb movement in baseball pitching. Int. J. Sport Biomech. 1988, 4, 59–67. [Google Scholar] [CrossRef]
- Milewski, M.D.; Ounpuu, S.; Solomito, M.; Westwell, M.; Nissen, C.W. Adolescent baseball pitching technique: Lower extremity biomechanical analysis. J. Appl. Biomech. 2012, 28, 491–501. [Google Scholar] [CrossRef] [PubMed]
- Whiteley, R. Baseball throwing mechanics as they relate to pathology and performance—A review. J. Sports Sci. Med. 2007, 6, 1–20. [Google Scholar] [PubMed]
- Matsuo, T.; Escamilla, R.F.; Fleisig, G.S.; Barrentine, S.W.; Andrews, J.R. Comparison of kinematic and temporal parameters between different pitch velocity groups. J. Appl. Biomech. 2001, 17, 1–13. [Google Scholar] [CrossRef]
- Werner, S.L.; Suri, M.; Guido, J.A., Jr.; Meister, K.; Jones, D.G. Relationships between ball velocity and throwing mechanics in collegiate baseball pitchers. J. Shoulder Elb. Surg. 2008, 17, 905–908. [Google Scholar] [CrossRef] [PubMed]
- Elliott, B.; Grove, J.R. A three-dimensional cinematographic analysis of the fastball and curveball pitches in baseball. Int. J. Sport Biomech. 1986, 2, 20–28. [Google Scholar] [CrossRef]
- Ramsey, D.K.; Crotin, R.L. Effect of stride length on overarm throwing delivery: Part II: An angular momentum response. Hum. Mov. Sci. 2016, 46, 30–38. [Google Scholar] [CrossRef] [PubMed]
- Ramsey, D.K.; Crotin, R.L.; White, S. Effect of stride length on overarm throwing delivery: A linear momentum response. Hum. Mov. Sci. 2014, 38, 185–196. [Google Scholar] [CrossRef] [PubMed]
- Montgomery, J.; Knudson, D. A method to determine the stride length for baseball pitching. Appl. Res. Coach. Athl. Ann. 2002, 17, 75–84. [Google Scholar]
- Crotin, R.L.; Kozlowski, K.; Horvath, P.; Ramsey, D.K. Altered stride length in response to increasing exertion among baseball pitchers. Med. Sci. Sports Exerc. 2014, 46, 565–571. [Google Scholar] [CrossRef] [PubMed]
- Kung, S.M.; Shultz, S.P.; Kontaxis, A.; Kraszewski, A.P.; Gibbons, M.W.; Backus, S.I.; Fink, P.W.; Fealy, S.; Hillstrom, H.J. Changes in lower extremity kinematics and temporal parameters of adolescent baseball pitchers during an extended pitching bout. Am. J. Sports Med. 2017, 45, 1179–1186. [Google Scholar] [CrossRef] [PubMed]
- Shapiro, R. Direct linear transformation method for three-dimensional cinematography. Res. Q. Am. Alliance Health Phys. Edu. Recreat. 1978, 49, 197–205. [Google Scholar]
- Liang, K.-Y.; Zeger, S.L. Regression analysis for correlated data. Ann. Rev. Pub. Health 1993, 14, 43–68. [Google Scholar] [CrossRef] [PubMed]
- Kleinbaum, D.; Kupper, L.; Muller, K.; Nizam, A. Confounding and interaction in regression. In Applied Regression Anaysis and Other Multivariable Methods; Duxbury Press: Pacific Grove, CA, USA, 1998; pp. 186–211. [Google Scholar]
- Fleisig, G.S.; Barrentine, S.W.; Zheng, N.; Escamilla, R.F.; Andrews, J.R. Kinematic and kinetic comparison of baseball pitching among various levels of development. J. Biomech. 1999, 32, 1371–1375. [Google Scholar] [CrossRef]
- Kageyama, M.; Sugiyama, T.; Kanehisa, H.; Maeda, A. Difference between adolescent and collegiate baseball pitchers in the kinematics and kinetics of the lower limbs and trunk during pitching motion. J. Sports Sci. Med. 2015, 14, 246–255. [Google Scholar] [PubMed]
- Dun, S.; Loftice, J.; Fleisig, G.S.; Kingsley, D.; Andrews, J.R. A biomechanical comparison of youth baseball pitches: Is the curveball potentially harmful? Am. J. Sports Med. 2008, 36, 686–692. [Google Scholar] [CrossRef] [PubMed]
- Escamilla, R.F.; Fleisig, G.S.; Barrentine, S.W.; Zheng, N.Q.; Andrews, J.R. Kinematic comparisons of throwing different types of baseball pitches. J. Appl. Biomech. 1998, 14, 1–23. [Google Scholar] [CrossRef]
- Fornalski, S.; McGarry, M.H.; Csintalan, R.P.; Fithian, D.C.; Lee, T.Q. Biomechanical and anatomical assessment after knee hyperextension injury. Am. J. Sports Med. 2008, 36, 80–84. [Google Scholar] [CrossRef] [PubMed]
- Bartlett, R.; Muller, E.; Lindinger, S.; Brunner, F.; Morriss, C. Three-dimensional evaluation of the kinematic release parameters for javelin throwers of different skill levels. J. Appl. Biomech. 1996, 12, 58–71. [Google Scholar] [CrossRef]
- Malina, R.M.; Rogol, A.D.; Cumming, S.P.; Coelho e Silva, M.J.; Figueiredo, A.J. Biological maturation of youth athletes: Assessment and implications. Br. J. Sports Med. 2015, 49, 852–859. [Google Scholar] [CrossRef] [PubMed]
- Malina, R.M.; Eisenmann, J.C.; Cumming, S.P.; Ribeiro, B.; Aroso, J. Maturity-associated variation in the growth and functional capacities of youth football (soccer) players 13–15 years. Eur. J. Appl. Phys. 2004, 91, 555–562. [Google Scholar] [CrossRef] [PubMed]
- Nissen, C.W.; Solomito, M.; Garibay, E.; Ounpuu, S.; Westwell, M. A biomechanical comparison of pitching from a mound versus flat ground in adolescent baseball pitchers. Sports Health 2013, 5, 530–536. [Google Scholar] [CrossRef] [PubMed]
- Fleisig, G.S.; Bolt, B.; Fortenbaugh, D.; Wilk, K.E.; Andrews, J.R. Biomechanical comparison of baseball pitching and long-toss: Implications for training and rehabilitation. J. Orthop. Sports Phys. Ther. 2011, 41, 296–303. [Google Scholar] [CrossRef] [PubMed]
- Fleisig, G.S.; Diffendaffer, A.Z.; Aune, K.T.; Ivey, B.; Laughlin, W.A. Biomechanical analysis of weighted-ball exercises for baseball pitchers. Sports Health 2017, 9, 210–215. [Google Scholar] [CrossRef] [PubMed]



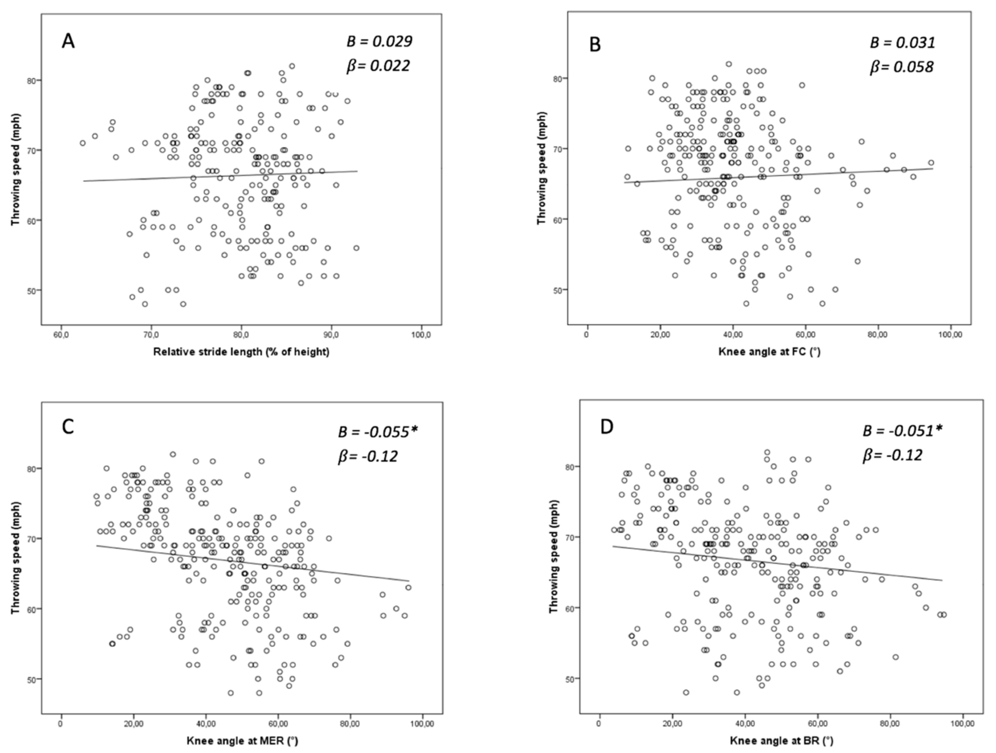
| Kinematic Parameters | With or Without Cofounder | B | 95% CI | Confounding Variables (B (95% CI)) |
|---|---|---|---|---|
| Relative stride length (%) | Crude | 0.046 | (−0.082, 0.173) | - |
| Adjusted | 0.029 | (−0.092, 0.150) | Mound (−6.447 (−11.339, −1.555)) | |
| Knee angle at FC (degrees) | Crude | 0.023 | (−0.012, 0.058) | - |
| Adjusted | 0.031 | (−0.002, 0.063) | Body height (cm) (0.476 (0.401, 0.552)), Mound (yes/no) (2.345 (−0.989, 5.680)) | |
| Knee angle at MER (degrees) | Crude | −0.058 * | (−0.097, −0.019) | - |
| Adjusted | −0.055 * | (−0.088, −0.022) | Body height (cm) (0.459 (0.384, 0.534)), Mound (yes/no) (1.235 (−1.909, 4.379)) | |
| Knee angle at BR (degrees) | Crude | −0.053 * | (−0.089, −0.017) | - |
| Adjusted | −0.051 * | (−0.083, −0.019) | Body height (cm) (0.466 (0.391, 0.541)), Mound (yes/no) (1.231 (−1.912, 4.374)) |
| Parameters | Present Study | Milewski et al. (2012) | Fleisig et al. (1999) | Dun et al. (2008) |
|---|---|---|---|---|
| Age group (years) | 15.2 (SD 1.7) | 12.4 | - | 12.5 (SD 1.7) |
| (Range) | (10.4–18.5) | (10.5–14.7) | (10–15) | (9.8–14.9) |
| Stride length (% height) | 79.8 (SD 6.0) | 69 (SD 6) | 85 (SD 8) | 70 (SD 5) |
| Knee angle at FC (°) | 40.3 (SD 14.6) | 49 (SD 12) | 43 (SD 12) | 49 (SD 8) |
| Knee angle at MER (°) | 45.0 (SD 17.8) | 46 (SD 15) | - | - |
| Knee angle at BR (°) | 40.5 (SD 19.0) | 41 (SD 16) | 36 (SD 11) | 31 (SD 9) |
© 2018 by the authors. Licensee MDPI, Basel, Switzerland. This article is an open access article distributed under the terms and conditions of the Creative Commons Attribution (CC BY) license (http://creativecommons.org/licenses/by/4.0/).
Share and Cite
Van Trigt, B.; Schallig, W.; Van der Graaff, E.; Hoozemans, M.J.M.; Veeger, D. Knee Angle and Stride Length in Association with Ball Speed in Youth Baseball Pitchers. Sports 2018, 6, 51. https://doi.org/10.3390/sports6020051
Van Trigt B, Schallig W, Van der Graaff E, Hoozemans MJM, Veeger D. Knee Angle and Stride Length in Association with Ball Speed in Youth Baseball Pitchers. Sports. 2018; 6(2):51. https://doi.org/10.3390/sports6020051
Chicago/Turabian StyleVan Trigt, Bart, Wouter Schallig, Erik Van der Graaff, Marco J. M. Hoozemans, and Dirkjan Veeger. 2018. "Knee Angle and Stride Length in Association with Ball Speed in Youth Baseball Pitchers" Sports 6, no. 2: 51. https://doi.org/10.3390/sports6020051
APA StyleVan Trigt, B., Schallig, W., Van der Graaff, E., Hoozemans, M. J. M., & Veeger, D. (2018). Knee Angle and Stride Length in Association with Ball Speed in Youth Baseball Pitchers. Sports, 6(2), 51. https://doi.org/10.3390/sports6020051

