Neuromuscular Adaptations Following Training and Protein Supplementation in a Group of Trained Weightlifters
Abstract
1. Introduction
2. Materials and Methods
2.1. Materials
2.2. Athletes
2.3. Experimental Design
2.4. Training Plan
2.5. Muscle Biopsies
2.6. Quantification of Muscle Fiber Type Composition and Fiber Size
2.7. Muscle Architecture
2.8. Performance Assessments
2.9. Statistical Analysis
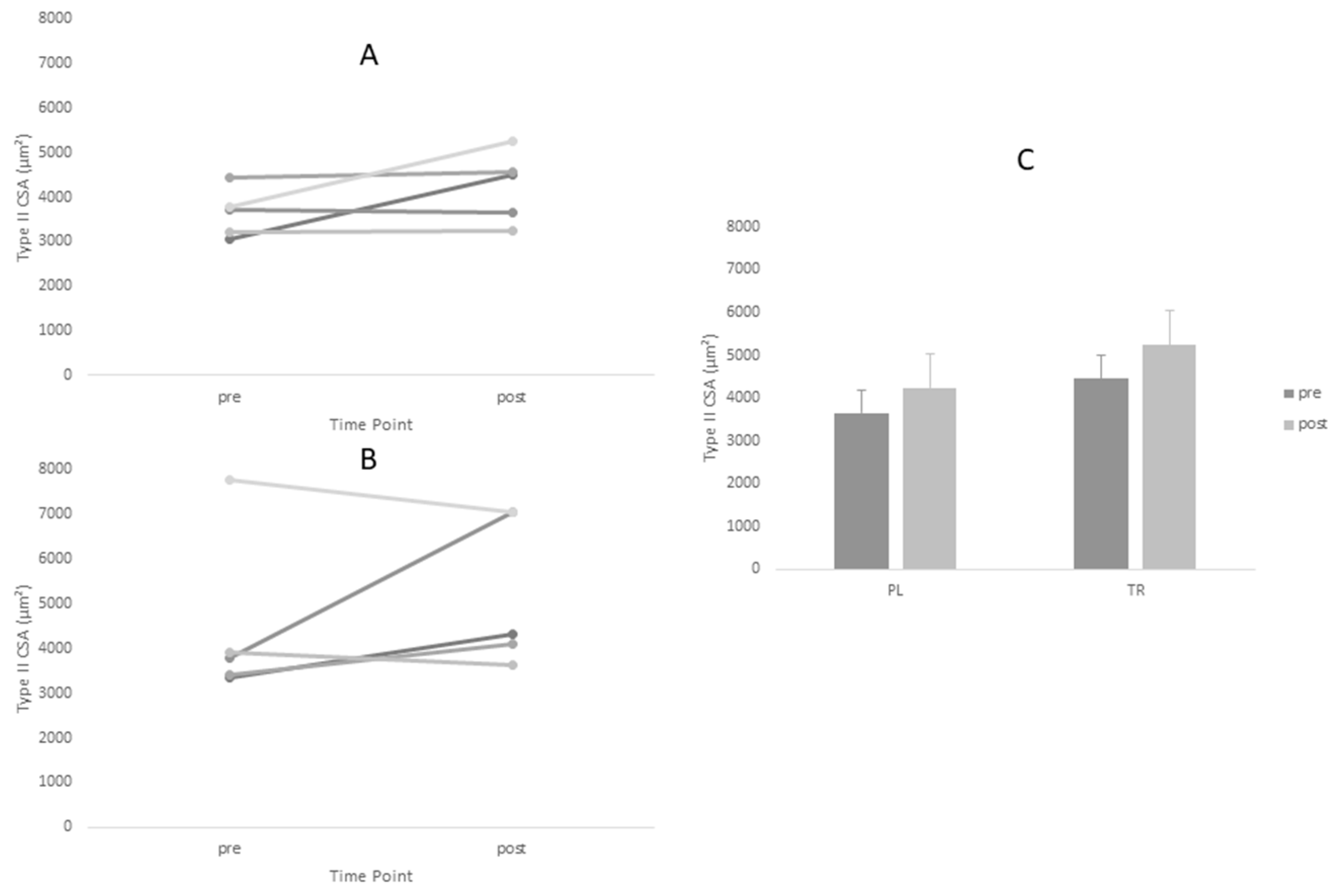
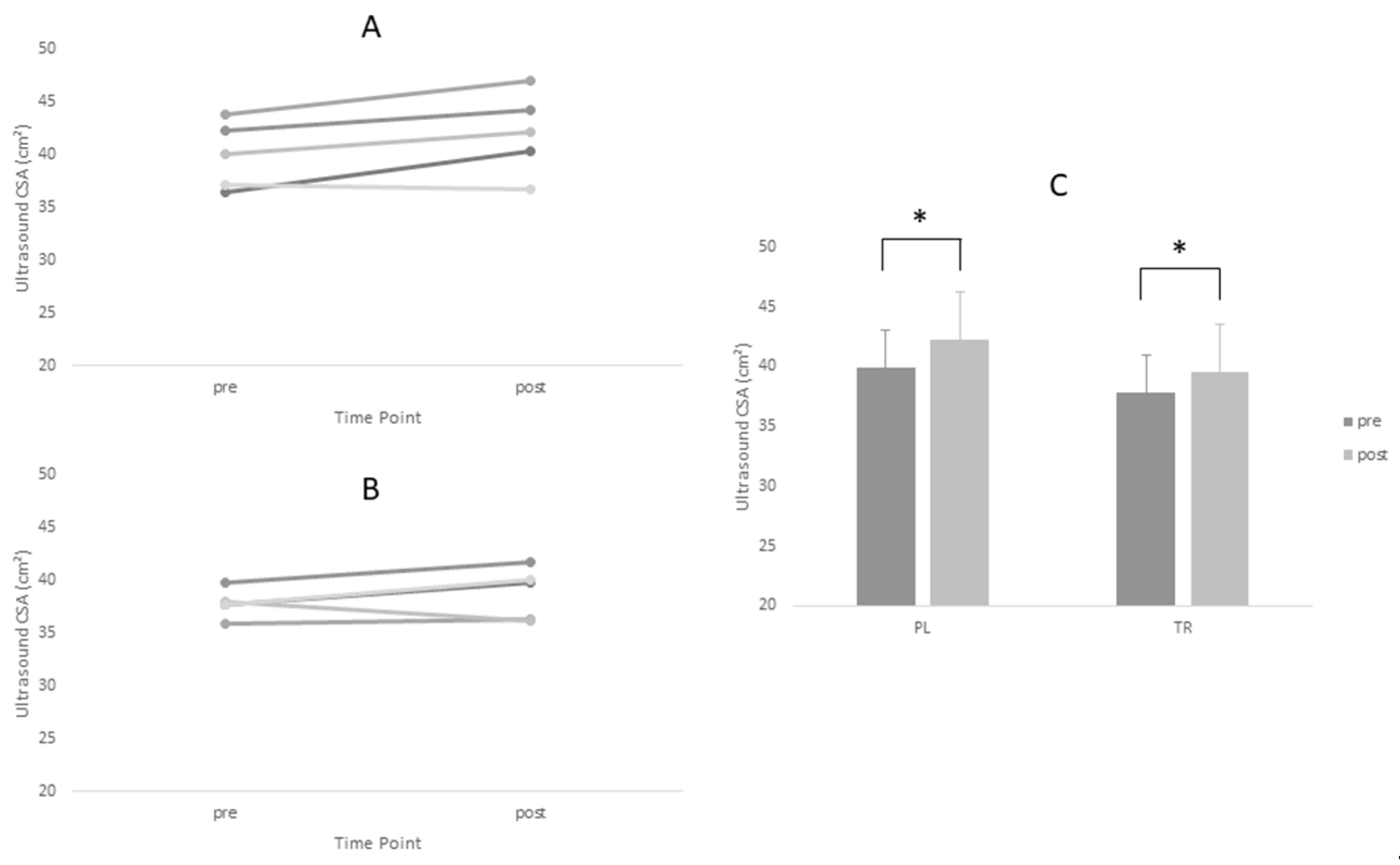
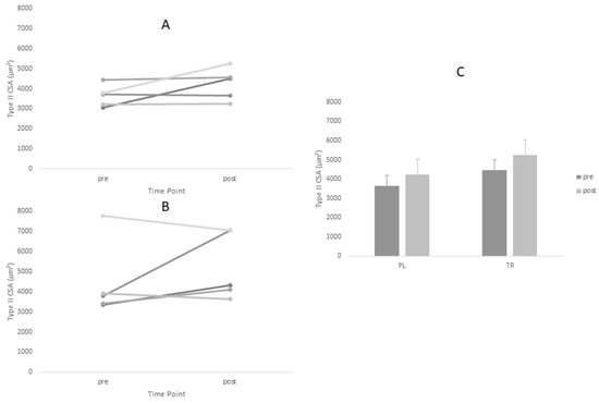
3. Results
4. Discussion
5. Conclusions
Acknowledgments
Author Contributions
Conflicts of Interest
References
- Chiu, L.Z.; Schilling, B.K. A primer on weightlifting: From sport to sports training. Strength Cond. J. 2005, 27, 42–48. [Google Scholar] [CrossRef]
- Häkkinen, K. Neuromuscular and hormonal adaptations during strength and power training. A review. J. Sports Med. Phys. Fit. 1989, 29, 9–26. [Google Scholar]
- Narici, M.V.; Roi, G.; Landoni, L.; Minetti, A.; Cerretelli, P. Changes in force, cross-sectional area and neural activation during strength training and detraining of the human quadriceps. Eur. J. Appl. Physiol. Occup. Physiol. 1989, 59, 310–319. [Google Scholar] [CrossRef] [PubMed]
- Prue, P.; McGuigan, M.; Newton, R. Influence of strength on magnitude and mechanisms of adaptation to power training. Med. Sci. Sports Exerc. 2010, 42, 1566–1581. [Google Scholar]
- Cormie, P.; McGuigan, M.R.; Newton, R.U. Developing maximal neuromuscular power. Sports Med. 2011, 41, 17–38. [Google Scholar] [CrossRef] [PubMed]
- Campos, G.E.; Luecke, T.J.; Wendeln, H.K.; Toma, K.; Hagerman, F.C.; Murray, T.F.; Ragg, K.E.; Ratamess, N.A.; Kraemer, W.J.; Staron, R.S. Muscular adaptations in response to three different resistance-training regimens: Specificity of repetition maximum training zones. Eur. J. Appl. Physiol. 2002, 88, 50–60. [Google Scholar] [CrossRef] [PubMed]
- Schoenfeld, B.J.; Contreras, B.; Vigotsky, A.D.; Peterson, M. Differential effects of heavy versus moderate loads on measures of strength and hypertrophy in resistance-trained men. J. Sports Sci. Med. 2016, 15, 715–722. [Google Scholar] [PubMed]
- Dowling, R.J.; Topisirovic, I.; Fonseca, B.D.; Sonenberg, N. Dissecting the role of mtor: Lessons from mtor inhibitors. Biochim. Biophys. Acta 2010, 1804, 433–439. [Google Scholar] [CrossRef] [PubMed]
- Dunlop, E.; Tee, A. Mammalian target of rapamycin complex 1: Signalling inputs, substrates and feedback mechanisms. Cell. Signal. 2009, 21, 827–835. [Google Scholar] [CrossRef] [PubMed]
- Tipton, K.D.; Ferrando, A.A.; Phillips, S.M.; Doyle, D.; Wolfe, R.R. Postexercise net protein synthesis in human muscle from orally administered amino acids. Am. J. Physiol.-Endocrinol. Metab. 1999, 276, E628–E634. [Google Scholar] [CrossRef]
- Phillips, S.M.; Tipton, K.D.; Aarsland, A.; Wolf, S.E.; Wolfe, R.R. Mixed muscle protein synthesis and breakdown after resistance exercise in humans. Am. J. Physiol.-Endocrinol. Metab. 1997, 273, E99–E107. [Google Scholar] [CrossRef] [PubMed]
- Morton, R.W.; Murphy, K.T.; McKellar, S.R.; Schoenfeld, B.J.; Henselmans, M.; Helms, E.; Aragon, A.A.; Devries, M.C.; Banfield, L.; Krieger, J.W.; et al. A systematic review, meta-analysis and meta-regression of the effect of protein supplementation on resistance training-induced gains in muscle mass and strength in healthy adults. Br. J. Sports Med. 2018, 52, 376–384. [Google Scholar] [CrossRef] [PubMed]
- Hulmi, J.J.; Kovanen, V.; Selänne, H.; Kraemer, W.J.; Häkkinen, K.; Mero, A.A. Acute and long-term effects of resistance exercise with or without protein ingestion on muscle hypertrophy and gene expression. Amino Acids 2009, 37, 297–308. [Google Scholar] [CrossRef] [PubMed]
- Reitelseder, S.; Agergaard, J.; Doessing, S.; Helmark, I.C.; Lund, P.; Kristensen, N.B.; Frystyk, J.; Flyvbjerg, A.; Schjerling, P.; van Hall, G. Whey and casein labeled with l-[1-13c] leucine and muscle protein synthesis: Effect of resistance exercise and protein ingestion. Am. J. Physiol.-Endocrinol. Metab. 2010, 300, E231–E242. [Google Scholar] [CrossRef] [PubMed]
- Hulmi, J.J.; Lockwood, C.M.; Stout, J.R. Effect of protein/essential amino acids and resistance training on skeletal muscle hypertrophy: A case for whey protein. Nutr. Metab. 2010, 7, 51. [Google Scholar] [CrossRef] [PubMed]
- DeWeese, B.; Sams, M.; Serrano, A. Sliding toward sochi—Part 1: A review of programming tactics used during the 2010–2014 quadrennial. Natl. Strength Cond. Assoc. Coach 2014, 1, 30–42. [Google Scholar]
- Stuart, C.A.; Yin, D.; Howell, M.E.; Dykes, R.J.; Laffan, J.J.; Ferrando, A.A. Hexose transporter mrnas for glut4, glut5, and glut12 predominate in human muscle. Am. J. Physiol.-Endocrinol. Metab. 2006, 291, E1067–E1073. [Google Scholar] [CrossRef] [PubMed]
- Behan, W.; Cossar, D.; Madden, H.; McKay, I. Validation of a simple, rapid, and economical technique for distinguishing type 1 and 2 fibres in fixed and frozen skeletal muscle. J. Clin. Pathol. 2002, 55, 375–380. [Google Scholar] [CrossRef] [PubMed][Green Version]
- Wells, A.J.; Fukuda, D.H.; Hoffman, J.R.; Gonzalez, A.M.; Jajtner, A.R.; Townsend, J.R.; Mangine, G.T.; Fragala, M.S.; Stout, J.R. Vastus lateralis exhibits non-homogenous adaptation to resistance training. Muscle Nerve 2014, 50, 785–793. [Google Scholar] [CrossRef] [PubMed]
- Bazyler, C.D.; Mizuguchi, S.; Harrison, A.P.; Sato, K.; Kavanaugh, A.A.; DeWeese, B.H.; Stone, M.H. Changes in muscle architecture, explosive ability, and track and field throwing performance throughout a competitive season and after a taper. J. Strength Cond. Res. 2017, 31, 2785–2793. [Google Scholar] [CrossRef] [PubMed]
- Da Matta, T.T.; de Oliveira, L.F. Reliability of the rectus femoris muscle cross-sectional area measurements by ultrasonography. Clin. Physiol. Funct. Imaging 2012, 32, 221–226. [Google Scholar]
- Howe, T.E.; Oldham, J.A. The reliability of measuring quadriceps cross-sectional area with compound b ultrasound scanning. Physiother. Res. Int. 1996, 1, 112–126. [Google Scholar] [CrossRef] [PubMed]
- Seymour, J.M.; Ward, K.; Sidhu, P.S.; Puthucheary, Z.; Steier, J.; Jolley, C.J.; Rafferty, G.; Polkey, M.I.; Moxham, J. Ultrasound measurement of rectus femoris cross-sectional area and the relationship with quadriceps strength in copd. Thorax 2009, 64, 418–423. [Google Scholar] [CrossRef] [PubMed]
- Hopkins, W. A Scale of Magnitudes for Effect Statistics. A New View of Statistics. 2002. Available online: http://sportsci.org/resource/stats/effectmag.html (accessed on 19 January 2014).
- Andersen, L.L.; Tufekovic, G.; Zebis, M.K.; Crameri, R.M.; Verlaan, G.; Kjær, M.; Suetta, C.; Magnusson, P.; Aagaard, P. The effect of resistance training combined with timed ingestion of protein on muscle fiber size and muscle strength. Metab.-Chin. Exp. 2005, 54, 151–156. [Google Scholar] [CrossRef] [PubMed]
- Hartman, J.W.; Tang, J.E.; Wilkinson, S.B.; Tarnopolsky, M.A.; Lawrence, R.L.; Fullerton, A.V.; Phillips, S.M. Consumption of fat-free fluid milk after resistance exercise promotes greater lean mass accretion than does consumption of soy or carbohydrate in young, novice, male weightlifters. Am. J. Clin. Nutr. 2007, 86, 373–381. [Google Scholar] [CrossRef] [PubMed]
- Cribb, P.J.; Hayes, A. Effects of supplement-timing and resistance exercise on skeletal muscle hypertrophy. Med. Sci. Sports Exerc. 2006, 38, 1918–1925. [Google Scholar] [CrossRef] [PubMed]
- Hoffman, J.R.; Ratamess, N.A.; Kang, J.; Falvo, M.J.; Faigenbaum, A.D. Effects of protein supplementation on muscular performance and resting hormonal changes in college football players. J. Sports Sci. Med. 2007, 6, 85–92. [Google Scholar] [PubMed]



| Treatment | Placebo | |
|---|---|---|
| n | 5 | 5 |
| Age (years) | 28.4 ± 5.4 | 33.7 ± 3.2 |
| Height (cm) | 179.6 ± 4.5 | 175.2 ± 2.8 |
| BM (kg) | 95.3 ± 12.3 | 93.5 ± 15.3 |
| Training Age (years) | 5.2 ± 3.2 | 4.9 ± 3.4 |
| EST 1RM | 170.6 ± 31.8 | 155 ± 38.9 |
| EST 1RM STR/BW | 1.8 ± 0.3 | 1.7 ± 0.3 |
| Week | Sets × Reps | Dailey Intensities |
|---|---|---|
| 1 | 3 × 10 | M, M, L, L |
| 2 | 3 × 10 | MH, MH, ML, ML |
| 3 | 3 × 10 | H, H, L, VL |
| 4 | 3 × 5 (1 × 5) | ML, ML, L, VL |
| 5 | 5 × 5 | M, M, ML, ML |
| 6 | 3 × 3 (1 × 5) | MH, MH, VL, L |
| 7 | 3 × 2 (1 × 5) | ML, M, ML, L |
| 8 | 5 × 5 | H, MH, ML, L |
| 9 | 3 × 3(1 × 5) | MH, M, L, L |
| 10 | 3 × 2(1 × 5) | ML, L, VL, Meet |
| 11 | 3 × 5 | M, M, ML |
| 12 | 3 × 5 | L, L, VL |
| Weeks | Exercises: Mon & Thurs | Wednesday | Saturday |
|---|---|---|---|
| 1–3 | BSQ | SN | SGS |
| SP | CGS | SN | |
| DBP | CPP | SDL | |
| CDL | DBR | ||
| DBR | |||
| 4–7 | BSQ | SN | SGSS |
| PP | CGS | SN | |
| BNP | CGBK | CJ | |
| DBP | CDL | SDL | |
| CGR | SGR | ||
| 8–10 | BSQ | SN | SGS |
| JRK | CGS | SN | |
| DBP | SGP | CJ | |
| CDL | SDL | ||
| 11–12 | BSQ | PS | |
| DBP | CGS | COM | |
| FRR | CGS | ||
| SLDL | |||
| DBR |
| Conditon | Group | Pre | Post | %Change |
|---|---|---|---|---|
| US CSA (cm2) | Treatment | 37.8 ± 1.4 | 38.8 ± 2.5 | 2.6 ± 4.7 |
| Placebo | 39.9 ± 3.2 | 42.0 ± 3.9 | 5.4 ± 4.3 | |
| Total | 38.8 ± 2.5 | 40.4 ± 3.5 * | 4.0 ± 4.5 | |
| Type I CSA (μm²) | Treatment | 3194.9 ± 838.3 | 3541.3 ± 680.9 | 18.3 ± 44.8 |
| Placebo | 2710 ± 611.2 | 3123.4 ± 761.0 | 15.7 ± 19.9 | |
| Total | 2952.5 ± 737.4 | 3332.3 ± 715.5 | 17.0 ± 32.7 | |
| Type II CSA (μm²) | Treatment | 4446.8 ± 1869.9 | 5238.8 ± 1681.8 | 23.9 ± 38.8 |
| Placebo | 3649.2 ± 540.54 | 4244.0 ± 792.62 | 17.4 ± 23.3 | |
| Total | 4048.0 ± 1364.0 | 4741.4 ± 1345.8 | 20.7 ± 30.4 | |
| IPFa (N∙bm^2/3) | Treatment | 249.2 + 42.1 | 248.8 + 36.8 | 0.2 + 5.2 |
| Placebo | 214.7 + 32.3 | 227.4 + 30.2 | 6.7 + 13.7 | |
| Total | 231.9 + 39.8 | 238.1 + 33.7 | 3.4 + 10.4 | |
| CMJ PPa (W∙bm^2/3) | Treatment | 237.2 + 24.8 | 256.6 + 34.6 | 9.0 + 17.4 |
| Placebo | 219.3 + 25.8 | 235.0 + 25.5 | 7.3 + 3.1 | |
| Total | 228.3 + 25.6 | 245.8 + 30.8 | 8.2 + 11.8 |
© 2018 by the authors. Licensee MDPI, Basel, Switzerland. This article is an open access article distributed under the terms and conditions of the Creative Commons Attribution (CC BY) license (http://creativecommons.org/licenses/by/4.0/).
Share and Cite
Taber, C.; Carroll, K.; DeWeese, B.; Sato, K.; Stuart, C.; Howell, M.; Hall, K.; Bazyler, C.; Stone, M. Neuromuscular Adaptations Following Training and Protein Supplementation in a Group of Trained Weightlifters. Sports 2018, 6, 37. https://doi.org/10.3390/sports6020037
Taber C, Carroll K, DeWeese B, Sato K, Stuart C, Howell M, Hall K, Bazyler C, Stone M. Neuromuscular Adaptations Following Training and Protein Supplementation in a Group of Trained Weightlifters. Sports. 2018; 6(2):37. https://doi.org/10.3390/sports6020037
Chicago/Turabian StyleTaber, Christopher, Kevin Carroll, Brad DeWeese, Kimitake Sato, Charles Stuart, Mary Howell, Kenton Hall, Caleb Bazyler, and Michael Stone. 2018. "Neuromuscular Adaptations Following Training and Protein Supplementation in a Group of Trained Weightlifters" Sports 6, no. 2: 37. https://doi.org/10.3390/sports6020037
APA StyleTaber, C., Carroll, K., DeWeese, B., Sato, K., Stuart, C., Howell, M., Hall, K., Bazyler, C., & Stone, M. (2018). Neuromuscular Adaptations Following Training and Protein Supplementation in a Group of Trained Weightlifters. Sports, 6(2), 37. https://doi.org/10.3390/sports6020037

