Coffee and Caffeine Ingestion Have Little Effect on Repeated Sprint Cycling in Relatively Untrained Males
Abstract
:1. Introduction
2. Materials and Methods
2.1. Study Design
2.2. Participants
2.3. Experimental Trial
2.4. Statistical Analysis
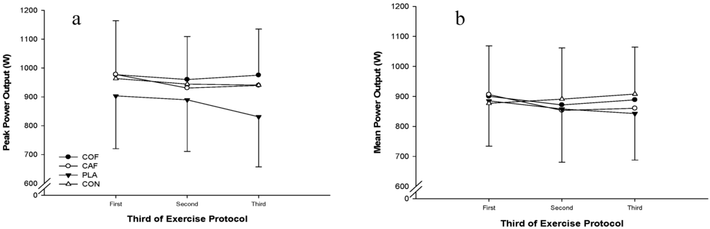
3. Results
4. Discussion
5. Conclusions
Author Contributions
Conflicts of Interest
References
- Graham, T.E. Caffeine and exercise: Metabolism, endurance and performance. Sports Med. 2001, 31, 785–807. [Google Scholar] [CrossRef] [PubMed]
- Bruce, C.; Anderson, M.; Fraser, S.; Stepto, N.; Klein, R.; Hopkins, W.; Hawley, J. Enhancement of 2000-M Rowing Performance after Caffeine Ingestion. Med. Sci. Sports Exerc. 2000, 32, 1958–1963. [Google Scholar] [CrossRef] [PubMed]
- Wiles, J.; Coleman, D.; Tegerdine, M.; Swaine, I. The effects of caffeine ingestion on performance time, speed and power during a laboratory-based 1 km cycling time-trial. J. Sports Sci. 2006, 24, 1165–1171. [Google Scholar] [CrossRef] [PubMed]
- Glaister, M.; Muniz-Pumares, D.; Patterson, S.; Foley, P.; McInnes, G. Caffeine supplementation and peak anaerobic power output. Eur. J. Sport Sci. 2015, 15, 400–406. [Google Scholar] [CrossRef] [PubMed]
- Carr, A.; Dawson, B.; Schneiker, K.; Goodman, C.; Lay, B. Effect of Caffeine Supplementation on Repeated Sprint Running Performance. J. Sports Med. Phys. Fit. 2008, 48, 472–478. [Google Scholar]
- Lee, C.L.; Cheng, C.F.; Lin, J.C.; Huang, H.W. Caffeine’s effect on intermittent sprint cycling performance with different rest intervals. Eur. J. Appl. Physiol. 2012, 112, 2107–2116. [Google Scholar] [CrossRef] [PubMed]
- Stuart, G.R.; Hopkins, W.G.; Cook, C.; Cairns, S.P. Multiple effects of caffeine on simulated high-intensity team-sport performance. Med. Sci. Sports Exerc. 2005, 37, 1998–2005. [Google Scholar] [CrossRef] [PubMed]
- Paton, C.; Hopkins, W.; Vollebregt, L. Little effect of caffeine ingestion on repeated sprints in team-sport athletes. Med. Sci. Sports Exerc. 2001, 33, 822–825. [Google Scholar] [CrossRef] [PubMed]
- Glaister, M.; Patterson, S.D.; Foley, P.; Pedlar, C.R.; Pattison, J.R.; McInnes, G. Caffeine and sprinting performance: Dose responses and efficacy. J. Strength Cond. Res. 2012, 26, 1001–1005. [Google Scholar] [CrossRef] [PubMed]
- Davis, J.K.; Green, J.M. Caffeine and anaerobic performance: Ergogenic value and mechanisms of action. Sports Med. 2009, 39, 813–832. [Google Scholar] [CrossRef] [PubMed]
- Astorino, T.A.; Roberson, D.W. Efficacy of acute caffeine ingestion for short-term high-intensity exercise performance: A systematic review. J. Strength Cond. Res. 2010, 24, 257–265. [Google Scholar] [CrossRef] [PubMed]
- Williams, J. Caffeine, neuromuscular function and high intensity exercise performance. J. Sports Med. Phys. Fit. 1991, 31, 481–489. [Google Scholar]
- Sinclair, G.; Geiger, J. Caffeine Use in Sports: A Pharmacological Review. J. Sports Med. Phys. Fit. 2000, 40, 71–79. [Google Scholar]
- Tarnopolsky, M.A.; Cupido, C. Caffeine potentiates low frequency skeletal muscle force in habitual and non-habitual caffeine consumers. J. Appl. Physiol. 2000, 89, 1719–1724. [Google Scholar] [PubMed]
- Tarnopolsky, M.A. Effect of caffeine on the neuromuscular system—Potential as an ergogenic aid. Appl. Physiol. Nutr. Metab. 2008, 33, 1284–1289. [Google Scholar] [CrossRef] [PubMed]
- Mohr, M.; Nielsen, J.J.; Bangsbo, J. Caffeine intake improves intense intermittent exercise performance and reduces muscle interstitial potassium accumulation. J. Appl. Physiol. 2011, 111, 1372–1379. [Google Scholar] [CrossRef] [PubMed]
- Pesta, D.; Angadi, S.; Burtscher, M.; Roberts, C. The effects of caffeine, nicotine, ethanol and tetrahydrocannabinol on exercise performance. Nutr. Metab. 2013, 10, 71–100. [Google Scholar] [CrossRef] [PubMed]
- Costill, D.; Dalsky, G.; Fink, W. Effects of caffeine ingestion on metabolism and exercise performance. Med. Sci. Sports Exerc. 1978, 10, 155–158. [Google Scholar]
- Wiles, J.; Bird, S.; Hopkins, J.; Riley, M. Effect of caffeinated coffee on running speed, respiratory factors, blood lactate and perceived exertion during 1500 m treadmill running. Br. J. Sports Med. 1992, 26, 116–120. [Google Scholar] [CrossRef] [PubMed]
- Graham, T.E.; Hibbert, E.; Sathasivam, P. Metabolic and exercise endurance effects of coffee and caffeine ingestion. J. Appl. Physiol. 1998, 85, 883–889. [Google Scholar] [PubMed]
- Hodgson, A.B.; Randell, R.K.; Jeukendrup, A.E. The metabolic and performance effects of caffeine compared to coffee during endurance exercise. PLoS ONE 2013, 8, e59561. [Google Scholar] [CrossRef] [PubMed]
- Trexler, E.; Smith-Ryan, A.; Roelofs, E.; Hirsch, K.; Mock, M. Effects of coffee and caffeine anhydrous on strength and sprint performance. Eur. J. Sport Sci. 2016, 16, 702–710. [Google Scholar] [CrossRef] [PubMed]
- Fujioka, K.; Shibamoto, T. Chlorogenic acid and caffeine contents in various commercial brewed coffees. Food Chem. 2008, 106, 217–221. [Google Scholar] [CrossRef]
- Hoffman, J.R.; Kang, J.; Ratamess, N.A.; Jennings, P.F.; Mangine, G.; Faigenbaum, A.D. Effect of nutritionally enriched coffee consumption on aerobic and anaerobic exercise performance. J. Strength Cond. Res. 2007, 21, 456–459. [Google Scholar] [CrossRef] [PubMed]
- Beck, T.W.; Housh, T.J.; Malek, M.H.; Mielke, M.; Hendrix, R. The Acute Effects of a Caffeine-Containing supplement on Bench Press Strength and time to running exhaustion. J. Strength Cond. Res. 2008, 22, 1654–1658. [Google Scholar] [CrossRef] [PubMed]
- Schneiker, K.; Bishop, D.; Dawson, B.; Hackett, L. Effects of caffeine on prolonged intermittent sprint ability in team-sport athletes. Med. Sci. Sports Exerc. 2006, 38, 578–585. [Google Scholar] [CrossRef] [PubMed]
- Richardson, D.; Clarke, N.D. Effect of coffee and caffeine ingestion on resistance exercise performance. J. Strength Cond. Res. 2016. [Google Scholar] [CrossRef] [PubMed]
- Spreit, L. Exercise and Sports performance with low doses of caffeine. Sports Med. 2014, 44, 175–184. [Google Scholar] [CrossRef] [PubMed]
- Zimmermann, R.; Landers, G.J. The effect of ice ingestion on female athletes performing intermittent exercise in hot conditions. Eur. J. Sport Sci. 2015, 15, 407–413. [Google Scholar] [CrossRef] [PubMed]
- Jones, B.; Hamilton, D.K.; Cooper, C.E. Muscle Oxygen Changes following Sprint Interval Cycling Training in Elite Field Hockey Players. PLoS ONE 2015, 10, e0120338. [Google Scholar] [CrossRef] [PubMed]
- Borg, G.A. Psychophysical bases of perceived exertion. Med. Sci. Sports Exerc. 1982, 14, 377–381. [Google Scholar] [CrossRef] [PubMed]
- Curran-Everett, D.; Benos, D.J. Guidelines for reporting statistics in journals published by the American Physiological Society. J. Appl. Physiol. 2004, 97, 457–459. [Google Scholar] [CrossRef]
- Cohen, J. A power primer. Psychol. Bull. 1992, 112, 155–159. [Google Scholar] [CrossRef] [PubMed]
- Greer, F.; McLean, C.; Graham, T. Caffeine, Performance, and Metabolism during repeated Wingate exercise tests. J. Appl. Physiol. 1998, 85, 1502–1508. [Google Scholar] [PubMed]
- Crowe, M.; Leicht, A.; Spinks, W. Physiological and Cognitive responses to caffeine during repeated high intensity exercise. Int. J. Sports Nutr. Exerc. Metab. 2006, 16, 528–544. [Google Scholar] [CrossRef]
- Collomp, K.; Ahmaidi, S.; Chatard, J.; Audran, M.; Prafaut, C. Benefits of caffeine ingestion on sprint performance in trained and untrained swimmers. Eur. J. Appl. Physiol. Occup. Physiol. 1992, 64, 377–380. [Google Scholar] [CrossRef] [PubMed]
- Robertson, D.; Wade, D.; Workman, R.; Woosley, R.; Oates, J. Tolerance to the Humoral and Hemodynamic effect of caffeine in man. J. Clin. Investig. 1981, 67, 1111–1117. [Google Scholar] [CrossRef] [PubMed]
- Tarnopolsky, M.A.; Atkinson, S.A.; MacDougall, J.D.; Sale, D.G.; Sutton, J.R. Physiological responses to caffeine during endurance running in habitual caffeine users. Med. Sci. Sports Exerc. 1989, 21, 418–424. [Google Scholar] [CrossRef] [PubMed]
- Woolf, K.; Bidwell, W.; Carlson, A. Effects of caffeine as an ergogenic aid during anaerobic exercise performance in caffeine naïve collegiate football players. J. Strength Cond. Res. 2009, 23, 1363–1369. [Google Scholar] [CrossRef] [PubMed]
- Doherty, M.; Smith, P.; Hughes, M.; Davison, R. Caffeine lowers perceptual response and increases power output during high-intensity cycling. J. Sports Sci. 2004, 22, 637–643. [Google Scholar] [CrossRef] [PubMed]
- Glaister, M.; Howatson, G.; Abraham, C.S.; Lockey, R.A.; Goodwin, J.E.; Foley, P.; McInnes, G. Caffeine supplementation and multiple sprint running performance. Med. Sci. Sports Exerc. 2008, 40, 1835–1840. [Google Scholar] [CrossRef] [PubMed]
- Beaven, C.M.; Maulder, P.; Pooley, A.; Kilduff, L.; Cook, C. Effects of caffeine and carbohydrate mouth rinses on repeated sprint performance. Appl. Physiol. Nutr. Metab. 2013, 38, 633–637. [Google Scholar] [CrossRef] [PubMed]






© 2016 by the authors; licensee MDPI, Basel, Switzerland. This article is an open access article distributed under the terms and conditions of the Creative Commons Attribution (CC-BY) license (http://creativecommons.org/licenses/by/4.0/).
Share and Cite
Clarke, N.; Baxter, H.; Fajemilua, E.; Jones, V.; Oxford, S.; Richardson, D.; Wyatt, C.; Mundy, P. Coffee and Caffeine Ingestion Have Little Effect on Repeated Sprint Cycling in Relatively Untrained Males. Sports 2016, 4, 45. https://doi.org/10.3390/sports4030045
Clarke N, Baxter H, Fajemilua E, Jones V, Oxford S, Richardson D, Wyatt C, Mundy P. Coffee and Caffeine Ingestion Have Little Effect on Repeated Sprint Cycling in Relatively Untrained Males. Sports. 2016; 4(3):45. https://doi.org/10.3390/sports4030045
Chicago/Turabian StyleClarke, Neil, Harry Baxter, Emmanuel Fajemilua, Victoria Jones, Samuel Oxford, Darren Richardson, Charlotte Wyatt, and Peter Mundy. 2016. "Coffee and Caffeine Ingestion Have Little Effect on Repeated Sprint Cycling in Relatively Untrained Males" Sports 4, no. 3: 45. https://doi.org/10.3390/sports4030045
APA StyleClarke, N., Baxter, H., Fajemilua, E., Jones, V., Oxford, S., Richardson, D., Wyatt, C., & Mundy, P. (2016). Coffee and Caffeine Ingestion Have Little Effect on Repeated Sprint Cycling in Relatively Untrained Males. Sports, 4(3), 45. https://doi.org/10.3390/sports4030045

