Reliability of the Single-Visit Field Test of Critical Speed in Trained and Untrained Adolescents
Abstract
:1. Introduction
2. Method
2.1. Participants
2.2. Study Design
2.3. Determination of Critical Speed
2.4. Statistical Analyses
3. Results
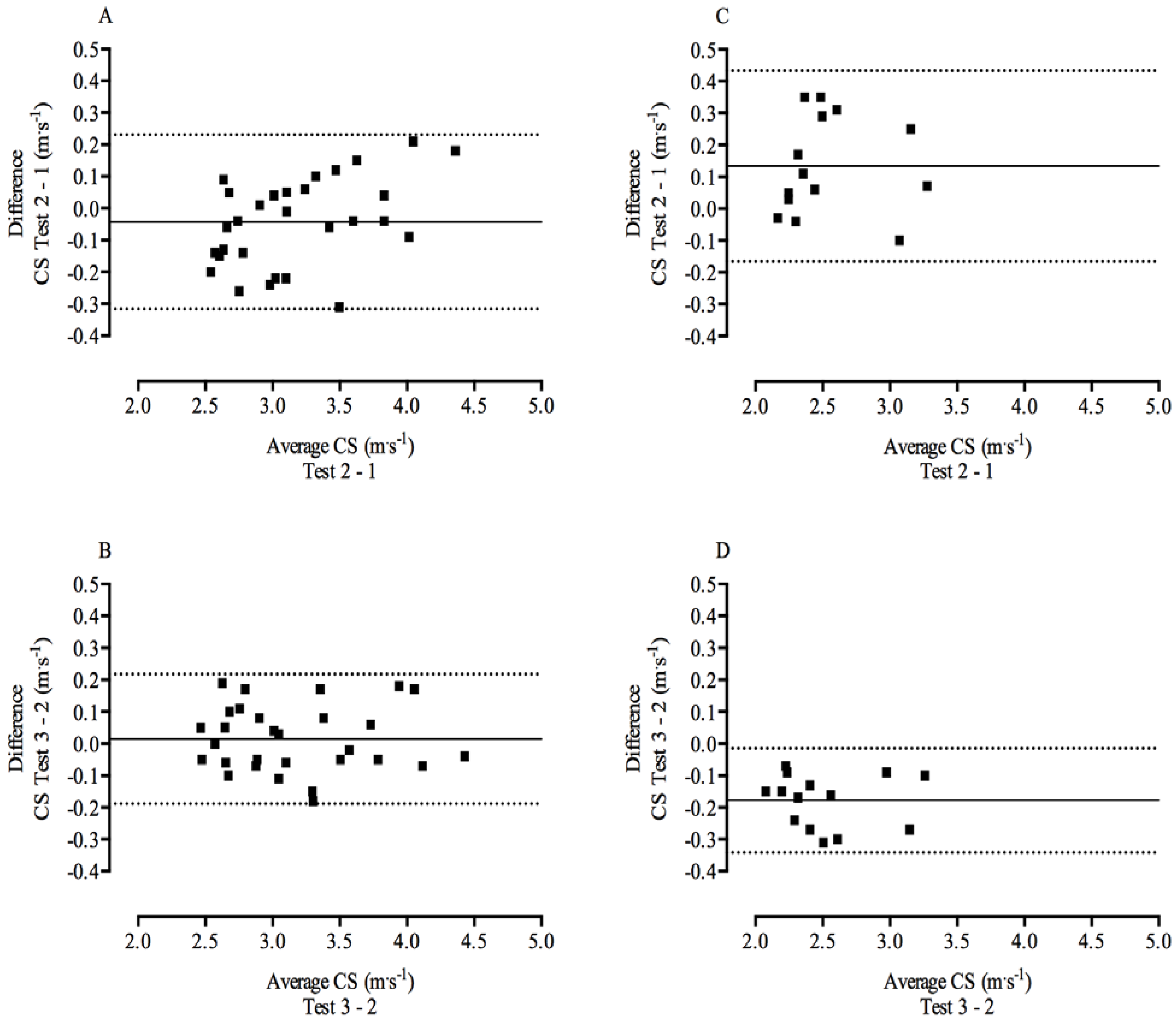
3.1. Critical Speed

3.2. Distance above Critical Speed

4. Discussion
5. Conclusions
Acknowledgments
Author Contributions
Conflicts of Interest
References
- Poole, D.C.; Ward, S.A.; Gardner, G.W.; Whipp, B.J. Metabolic and respiratory profile of the upper limit for prolonged exercise in man. Ergonomics 1988, 31, 1265–1279. [Google Scholar] [CrossRef] [PubMed]
- Monod, H.; Scherrer, J. The work capacity of a synergic muscular group. Ergonomics 1965, 8, 329–338. [Google Scholar] [CrossRef]
- Jones, A.M.; Carter, H. The effect of endurance training on parameters of aerobic fitness. Sports Med. 2000, 29, 373–386. [Google Scholar] [CrossRef] [PubMed]
- Hill, D.W. The critical power concept. A review. Sports Med. 1993, 16, 237–254. [Google Scholar] [CrossRef] [PubMed]
- Leclair, E.; Borel, B.; Thevenet, D.; Baquet, G.; Mucci, P.; Berthoin, S. Assessment of child-specific aerobic fitness and anaerobic capacity by the use of the power-time relationships constants. Pediatr. Exerc. Sci. 2010, 22, 454–466. [Google Scholar] [PubMed]
- Williams, C.A.; Dekerle, J.; McGawley, K.; Berthoin, S.; Carter, H. Critical power in adolescent boys and girls—An exploratory study. Appl. Physiol. Nutr. MeTab. 2008, 33, 1105–1111. [Google Scholar] [CrossRef] [PubMed]
- Vitor Fde, M.; Bohme, M.T. Performance of young male swimmers in the 100-meters front crawl. Pediatr. Exerc. Sci. 2010, 22, 278–287. [Google Scholar] [PubMed]
- Hill, D.W.; Steward, R.P.; Lane, C.J. Application of the critical power concept to young swimmers. Pediatr. Exerc. Sci. 1995, 7, 281–293. [Google Scholar]
- Jones, A.M.; Wilkerson, D.P.; DiMenna, F.; Fulford, J.; Poole, D.C. Muscle metabolic responses to exercise above and below the “critical power” assessed using 31p-mrs. Am. J. Physiol. Regul. Integr. Comp. Physiol. 2008, 294, R585–R593. [Google Scholar] [CrossRef] [PubMed]
- Barker, A.R.; Bond, B.; Toman, C.; Williams, C.A.; Armstrong, N. Critical power in adolescents: Physiological bases and assessment using all-out exercise. Eur. J. Appl. Physiol. 2012, 112, 1359–1370. [Google Scholar] [CrossRef] [PubMed]
- Machado, M.V.; Júnior, O.A.; Marques, A.C.; Colantonio, E.; Cyrino, E.S.; de Mello, M.T. Effect of 12 weeks of training on critical velocity and maximal lactate steady state in swimmers. Eur. J. Sport Sci. 2011, 11, 165–170. [Google Scholar] [CrossRef]
- Toubekis, A.G.; Vasilaki, A.; Douda, H.; Gourgoulis, V.; Tokmakidis, S. Physiological responses during interval training at relative to critical velocity intensity in young swimmers. J. Sci. Med. Sport 2011, 14, 363–368. [Google Scholar] [CrossRef] [PubMed]
- Barbosa, T.M.; Costa, M.; Marinho, D.A.; Coelho, J.; Moreira, M.; Silva, A.J. Modeling the links between young swimmers’ performance: Energetic and biomechanic profiles. Pediatr. Exerc. Sci. 2010, 22, 379–391. [Google Scholar] [PubMed]
- Browne, R.A.V.; Sales, M.M.; Sotero, R.D.C.; Asano, R.Y.; de Moraes, J.F.V.N.; Barros, J.D.F.; Campbell, C.S.G.; Simões, H.G. Critical velocity estimates lactate minimum velocity in youth runners. Mot. Rev. Educ. Fis. 2015, 21, 1–7. [Google Scholar] [CrossRef]
- Galbraith, A.; Hopker, J.G.; Jobson, S.A.; Passfield, L. A novel field test to determine critical speed. J. Sports Med. Doping Stuides 2011, 1, 1–4. [Google Scholar]
- Galbraith, A.; Hopker, J.; Lelliott, S.; Diddams, L.; Passfield, L. A single-visit field test of critical speed. Int. J. Sports Physiol. Perform. 2014, 9, 931–935. [Google Scholar] [CrossRef] [PubMed]
- Jones, A.M.; Doust, J.H. A 1% treadmill grade most accurately reflects the energetic cost of outdoor running. J. Sports Sci. 1996, 14, 321–327. [Google Scholar] [CrossRef] [PubMed]
- Bender, R.; Lange, S. Adjusting for multiple testing—When and how? J. Clin. Epidemiol. 2001, 54, 343–349. [Google Scholar] [CrossRef]
- Bland, J.M.; Altman, D.G. Statistical methods for assessing agreement between two methods of clinical measurement. Lancet 1986, 1, 307–310. [Google Scholar] [CrossRef]
- Hopkins, W.G. Measures of reliability in sports medicine and science. Sports Med. 2000, 30, 1–15. [Google Scholar] [CrossRef] [PubMed]
- Doré, E.; Duché, P.; Rouffet, D.; Ratel, S.; Bedu, M.; van Praagh, E. Measurement error in short-term power testing in young people. J. Sports Sci. 2003, 21, 135–142. [Google Scholar] [CrossRef] [PubMed]
- Le Bars, H.; Gernigon, C.; Ninot, G. Personal and contextual determinants of elite young athletes’ persistence or dropping out over time. Scand. J. Med. Sci. Sports 2009, 19, 274–285. [Google Scholar] [CrossRef] [PubMed]
- Moreno Murcia, J.A.; Cervello Gimeno, E.; Gonzalez-Cutre Coll, D. Relationships among goal orientations, motivational climate and flow in adolescent athletes: Differences by gender. Span. J. Psychol. 2008, 11, 181–191. [Google Scholar] [CrossRef] [PubMed]
- Karsten, B.; Jobson, S.A.; Hopker, J.; Stevens, L.; Beedie, C. Validity and reliability of critical power field testing. Eur. J. Appl. Physiol. 2015, 115, 197–204. [Google Scholar] [CrossRef] [PubMed]
- Triska, C.; Tschan, H.; Tazreiter, G.; Nimmerichter, A. Critical power in laboratory and field conditions using single-visit maximal effort trials. Int. J. Sports Med. 2015, 36, 1063–1068. [Google Scholar] [CrossRef] [PubMed]
- Indrayan, A. Clinical agreement in quantitative measurements: Limits of disagreement and the intraclass correlation. In Methods of Clinical Epidemiology; Doi, S.A.R., Williams, G.M., Eds.; Springer-Verlag: Berlin, Germany, Heidelberg, Germany, 2013; pp. 17–27. [Google Scholar]
- Mikulic, P.; Ruzic, L.; Markovic, G. Evaluation of specific anaerobic power in 12–14-year-old male rowers. J. Sci. Med. Sport 2009, 12, 662–666. [Google Scholar] [CrossRef] [PubMed]
- Mikulic, P.; Emersic, D.; Markovic, G. Reliability and discriminative ability of a modified wingate rowing test in 12- to 18-year-old rowers. J. Sports Sci. 2010, 28, 1409–1414. [Google Scholar] [CrossRef] [PubMed]
- Deprez, D.; Fransen, J.; Lenoir, M.; Philippaerts, R.; Vaeyens, R. The yo-yo intermittent recovery test level 1 is reliable in young high-level soccer players. Biol. Sport 2015, 32, 65–70. [Google Scholar] [CrossRef] [PubMed]
- Deprez, D.; Coutts, A.J.; Lenoir, M.; Fransen, J.; Pion, J.; Philippaerts, R.; Vaeyens, R. Reliability and validity of the yo-yo intermittent recovery test level 1 in young soccer players. J. Sports Sci. 2014, 32, 903–910. [Google Scholar] [CrossRef] [PubMed]
- Castagna, C.; Iellamo, F.; Impellizzeri, F.M.; Manzi, V. Validity and reliability of the 45–15 test for aerobic fitness in young soccer players. Int. J. Sports Physiol. Perform. 2014, 9, 525–531. [Google Scholar] [CrossRef] [PubMed]
- Bangsbo, J.; Iaia, F.M.; Krustrup, P. The yo-yo intermittent recovery test : A useful tool for evaluation of physical performance in intermittent sports. Sports Med. 2008, 38, 37–51. [Google Scholar] [CrossRef] [PubMed]
- Vanhatalo, A.; Jones, A.M.; Burnley, M. Application of critical power in sport. Int. J. Sports Physiol. Perform. 2011, 6, 128–136. [Google Scholar] [PubMed]
- Jones, A.M.; Vanhatalo, A.; Burnley, M.; Morton, R.H.; Poole, D.C. Critical power: Implications for determination of VO2max and exercise tolerance. Med. Sci. Sports Exerc. 2010, 42, 1876–1890. [Google Scholar] [CrossRef] [PubMed]
© 2015 by the authors; licensee MDPI, Basel, Switzerland. This article is an open access article distributed under the terms and conditions of the Creative Commons Attribution license (http://creativecommons.org/licenses/by/4.0/).
Share and Cite
Nimmerichter, A.; Steindl, M.; Williams, C.A. Reliability of the Single-Visit Field Test of Critical Speed in Trained and Untrained Adolescents. Sports 2015, 3, 358-368. https://doi.org/10.3390/sports3040358
Nimmerichter A, Steindl M, Williams CA. Reliability of the Single-Visit Field Test of Critical Speed in Trained and Untrained Adolescents. Sports. 2015; 3(4):358-368. https://doi.org/10.3390/sports3040358
Chicago/Turabian StyleNimmerichter, Alfred, Mathias Steindl, and Craig Anthony Williams. 2015. "Reliability of the Single-Visit Field Test of Critical Speed in Trained and Untrained Adolescents" Sports 3, no. 4: 358-368. https://doi.org/10.3390/sports3040358
APA StyleNimmerichter, A., Steindl, M., & Williams, C. A. (2015). Reliability of the Single-Visit Field Test of Critical Speed in Trained and Untrained Adolescents. Sports, 3(4), 358-368. https://doi.org/10.3390/sports3040358

