Examining the Exercise Dose–Response Using Cardiac Autonomic Activity in Female University Ice Hockey Players
Abstract
1. Introduction
2. Materials and Methods
2.1. Study Design
2.2. Participants
2.3. Exercise Stress
2.4. Heart Rate Variability & Resting Heart Rate
2.5. Data Analysis
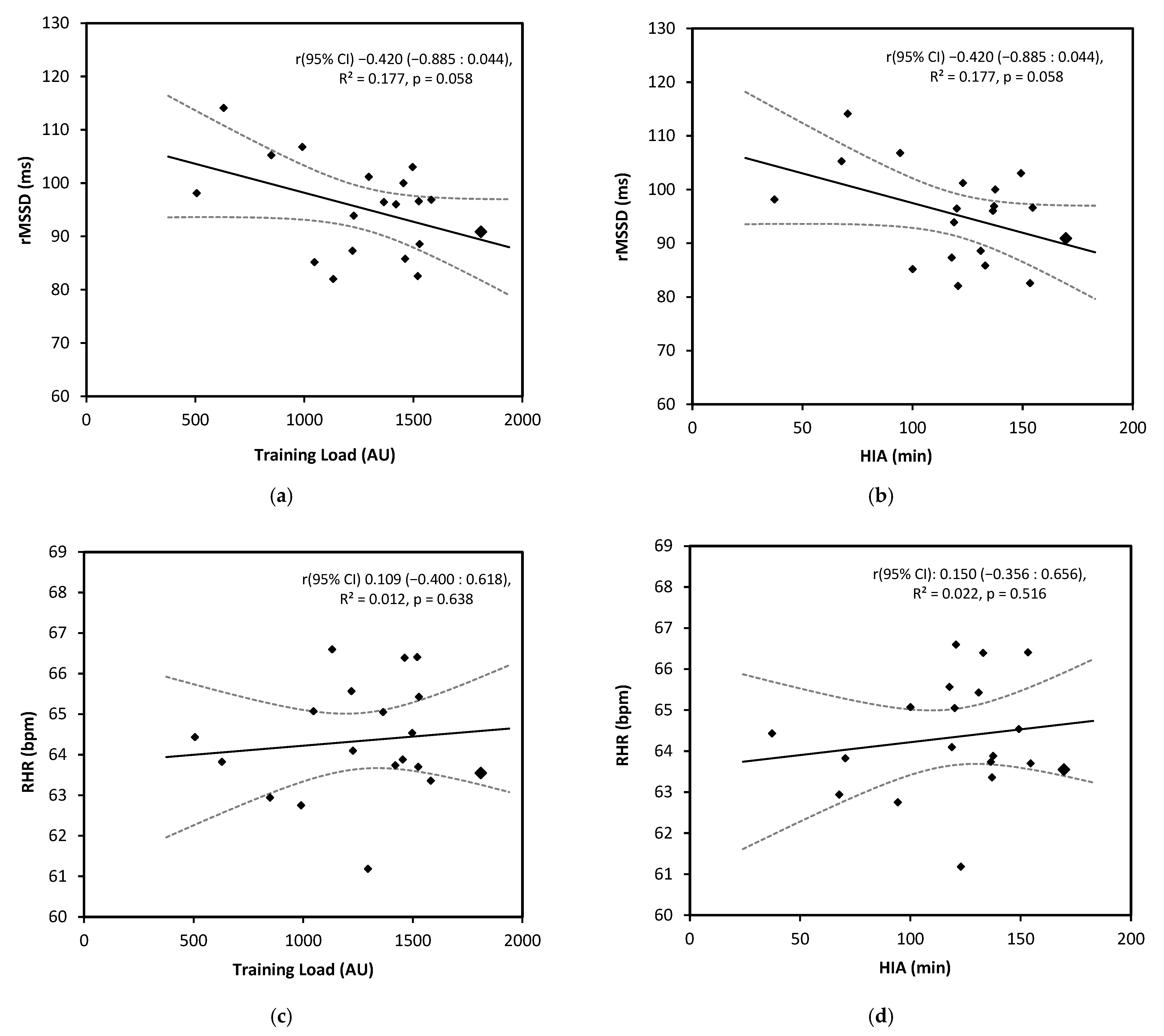
3. Results
4. Discussion
5. Limitations
6. Conclusions
Author Contributions
Funding
Institutional Review Board Statement
Informed Consent Statement
Data Availability Statement
Acknowledgments
Conflicts of Interest
Correction Statement
Abbreviations
| HRV | HSeart rate variability |
| RHR | Resting heart rate |
| rMSSD | The root mean square of successive differences in R–R intervals |
| HIA | Time spent performing high-intensity activity |
| TL | Training Loads |
| AU | Arbitrary Units |
References
- Vigh-Larsen, J.F.; Mohr, M. The physiology of ice hockey performance: An update. Scand. J. Med. Sci. Sports 2024, 34, e14284. [Google Scholar] [CrossRef] [PubMed]
- Brocherie, F.; Girard, O.; Millet, G.P. Updated analysis of changes in locomotor activities across periods in an international ice hockey game. Biol. Sport 2018, 35, 261–267. [Google Scholar] [CrossRef] [PubMed]
- Ransdell, L.B.; Murray, T. A physical profile of elite female ice hockey players from the USA. J. Strength Cond. Res. 2011, 25, 2358–2363. [Google Scholar] [CrossRef] [PubMed]
- Bigg, J.L.; Gamble, A.S.D.; Spriet, L.L. Internal load of male varsity ice hockey players during training and games throughout an entire season. Int. J. Sports Physiol. Perform. 2021, 17, 286–295. [Google Scholar] [CrossRef]
- Merrigan, J.J.; Stone, J.D.; Kraemer, W.J.; Friend, C.; Lennon, K.; Vatne, E.A.; Hagen, J.A. Analysis of sleep, nocturnal physiology, and physical demands of NCAA Women’s Ice Hockey across a championship season. J. Strength Cond. Res. 2024, 38, 694–703. [Google Scholar] [CrossRef]
- Perrotta, A.S.; Held, N.J.; Warburton, D.E.R. Examination of internal training load parameters during the selection, preparation and competition phases of a mesocycle in elite field hockey players. Int. J. Perform. Anal. Sport 2017, 17, 813–821. [Google Scholar] [CrossRef]
- Gamble, A.S.D.; Bigg, J.L.; Nyman, D.L.E.; Spriet, L.L. Local Positioning System-Derived External Load of Female and Male Varsity Ice Hockey Players During Regular Season Games. Front. Physiol. 2022, 13, 831723. [Google Scholar] [CrossRef]
- Conners, R.T.; Whitehead, P.N.; Dodds, F.T.; Schott, K.D.; Quick, M.C. Validation of the polar team pro system for sprint speed with ice hockey players. J. Strength Cond. Res. 2022, 36, 3468–3472. [Google Scholar] [CrossRef]
- Buchheit, M. Monitoring training status with HR measures: Do all roads lead to Rome? Front. Physiol. 2014, 5, 73. [Google Scholar] [CrossRef]
- Schneider, C.; Hanakam, F.; Wiewelhove, T.; Doweling, A.; Kellmann, M.; Meyer, T.; Pfeiffer, M.; Ferrauti, A. Heart Rate Monitoring in Team Sports-A Conceptual Framework for Contextualizing Heart Rate Measures for Training and Recovery Prescription. Front. Physiol. 2018, 9, 639. [Google Scholar] [CrossRef]
- Stanley, J.; Peake, J.M.; Buchheit, M. Cardiac parasympathetic reactivation following exercise: Implications for training prescription. Sports Med. 2013, 43, 1259–1277. [Google Scholar] [CrossRef] [PubMed]
- Flatt, A.A.; Esco, M.R. Evaluating individual training adaptation with Smartphone-derived heart rate variability in a collegiate female soccer team. J. Strength Cond. Res. 2016, 30, 378–385. [Google Scholar] [CrossRef] [PubMed]
- Perrotta, A.S.; Warburton, D.E.R. Alterations in cardiac vagal modulation-to-tone ratio in response to accumulated exercise stress in intermittent team sport. Biomed. Hum. Kinet. 2020, 12, 197–203. [Google Scholar] [CrossRef]
- Luteberget, L.S.; Houtmeyers, K.C.; Vanrenterghem, J.; Jaspers, A.; Brink, M.S.; Helsen, W.F. Load monitoring practice in elite women association football. Front. Sports Act. Living 2021, 3, 715122. [Google Scholar] [CrossRef]
- Perrotta, A.S.; Day, B.D.; Correa, C.J.; Scott, A.J.; Ramos, J.; Gnatiuk, E.A.; Warburton, D.E.R. Physiological, anthropometric and athletic performance adaptations from completing a 1-month pre-season period: A two-year longitudinal study in female collegiate soccer players. Front. Sports Act. Living 2024, 6, 1353129. [Google Scholar] [CrossRef]
- Esco, M.R.; Flatt, A.A. Ultra-short-term heart rate variability indexes at rest and post-exercise in athletes: Evaluating the agreement with accepted recommendations. J. Sports Sci. Med. 2014, 13, 535–541. [Google Scholar]
- Perrotta, A.S.; Jeklin, A.T.; Hives, B.A.; Meanwell, L.E.; Warburton, D.E.R. Validity of the elite HRV smartphone application for examining heart rate variability in a field-based setting. J. Strength Cond. Res. 2017, 31, 2296–2302. [Google Scholar] [CrossRef]
- Faul, F.; Erdfelder, E.; Buchner, A.; Lang, A.-G. Statistical power analyses using G* Power 3.1: Tests for correlation and regression analyses. Behav. Res. Methods 2009, 41, 1149–1160. [Google Scholar] [CrossRef]
- Perrotta, A.S.; Koehle, M.S.; White, M.D.; Taunton, J.E.; Warburton, D.E.R. Consecutive non-training days over a weekend for assessing cardiac parasympathetic variation in response to accumulated exercise stress. Eur. J. Sport Sci. 2019, 20, 1072–1082. [Google Scholar] [CrossRef]
- Edwards, S. High Performance Training and Racing. In The Heart Rate Monitoring Book; Edwards, S., Ed.; Feet Fleet Press: Sacramento, CA, USA, 1993; pp. 113–123. [Google Scholar]
- Alexiou, H.; Coutts, A.J. A comparison of methods used for quantifying internal training load in women soccer players. Int. J. Sports Physiol. Perform. 2008, 3, 320–330. [Google Scholar] [CrossRef]
- Schaffarczyk, M.; Rogers, B.; Reer, R.; Gronwald, T. Validity of the polar H10 sensor for heart rate variability analysis during resting state and incremental exercise in recreational men and women. Sensors 2022, 22, 6536. [Google Scholar] [CrossRef]
- Moya-Ramon, M.; Mateo-March, M.; Peña-González, I.; Zabala, M.; Javaloyes, A. Validity and reliability of different smartphones applications to measure HRV during short and ultra-short measurements in elite athletes. Comput. Methods Programs Biomed. 2022, 217, 106696. [Google Scholar] [CrossRef] [PubMed]
- Tarvainen, M.P.; Niskanen, J.-P.; Lipponen, J.A.; Ranta-Aho, P.O.; Karjalainen, P.A. Kubios HRV—Heart rate variability analysis software. Comput. Methods Programs Biomed. 2014, 113, 210–220. [Google Scholar] [CrossRef]
- Heart rate variability: Standards of measurement, physiological interpretation, and clinical use: Task Force of the European Society of Cardiology and the North American Society of Pacing and Electrophysiology. Circulation 1996, 93, 1043–1065. [CrossRef]
- Penttilä, J.; Helminen, A.; Jartti, T.; Kuusela, T.; Huikuri, H.V.; Tulppo, M.P.; Coffeng, R.; Scheinin, H. Time domain, geometrical and frequency domain analysis of cardiac vagal outflow: Effects of various respiratory patterns. Clin. Physiol. 2001, 21, 365–376. [Google Scholar] [CrossRef] [PubMed]
- Pestana, E.R.; Mostarda, C.T.; Silva-Filho, A.C.; Salvador, E.P.; de Carvalho, W.R.G. Effect of different phases of menstrual cycle in heart rate variability of physically active women. Sport Sci. Health 2018, 14, 297–303. [Google Scholar] [CrossRef]
- Teixeira, A.L.; Ramos, P.S.; Vianna, L.C.; Ricardo, D.R. Heart rate variability across the menstrual cycle in young women taking oral contraceptives. Psychophysiology 2015, 52, 1451–1455. [Google Scholar] [CrossRef]
- Lipponen, J.A.; Tarvainen, M.P. A robust algorithm for heart rate variability time series artefact correction using novel beat classification. J. Med. Eng. Technol. 2019, 43, 173–181. [Google Scholar] [CrossRef]
- Plews, D.J.; Laursen, P.B.; Le Meur, Y.; Hausswirth, C.; Kilding, A.E.; Buchheit, M. Monitoring training with heart rate-variability: How much compliance is needed for valid assessment? Int. J. Sports Physiol. Perform. 2014, 9, 783–790. [Google Scholar] [CrossRef]
- Hopkins, W.G. Measures of reliability in sports medicine and science. Sports Med. 2000, 30, 1–15. [Google Scholar] [CrossRef]
- Hopkins, W.G.; Marshall, S.W.; Batterham, A.M.; Hanin, J. Progressive statistics for studies in sports medicine and exercise science. Med. Sci. Sports Exerc. 2009, 41, 3–13. [Google Scholar] [CrossRef] [PubMed]
- Aubert, A.E.; Seps, B.; Beckers, F. Heart rate variability in athletes. Sports Med. 2003, 33, 889–919. [Google Scholar] [CrossRef] [PubMed]
- Lipka, A.; Luthardt, C.; Tognaccioli, T.; Cairo, B.; Abreu, R.M. Heart rate variability and overtraining in soccer players: A systematic review. Physiol. Rep. 2025, 13, e70357. [Google Scholar] [CrossRef]
- Grabo, L.M.; Schulz, A.; Bellingrath, S. Vagally-mediated heart rate variability longitudinally predicts test anxiety in university students. Anxiety Stress Coping 2025, 38, 409–422. [Google Scholar] [CrossRef]
- Thomas, B.L.; Viljoen, M. Heart Rate Variability and Academic Performance of First-Year University Students. Neuropsychobiology 2019, 78, 175–181. [Google Scholar] [CrossRef]
- Umetani, K.; Singer, D.H.; McCraty, R.; Atkinson, M. Twenty-four hour time domain heart rate variability and heart rate: Relations to age and gender over nine decades. J. Am. Coll. Cardiol. 1998, 31, 593–601. [Google Scholar]
- Edmonds, R.; Schmidt, B.; Siedlik, J. Eligibility classification as a factor in understanding student-athlete responses to collegiate volleyball competition. Sports 2021, 9, 43. [Google Scholar] [CrossRef]
- Iellamo, F.; Pigozzi, F.; Parisi, A.; Di Salvo, V.; Vago, T.; Norbiato, G.; Lucini, D.; Pagani, M. The stress of competition dissociates neural and cortisol homeostasis in elite athletes. J. Sports Med. Phys. Fit. 2003, 43, 539–545. [Google Scholar]
- Tekin, R.T.; Kudas, S.; Buran, M.M.; Cabuk, S.; Akbasli, O.; Uludag, V.; Yosmaoglu, H.B. The relationship between resting heart rate variability and sportive performance, sleep and body awareness in soccer players. BMC Sports Sci. Med. Rehabil. 2025, 17, 58. [Google Scholar] [CrossRef]
- Forte, G.; Morelli, M.; Grässler, B.; Casagrande, M. Decision making and heart rate variability: A systematic review. Appl. Cogn. Psychol. 2022, 36, 100–110. [Google Scholar] [CrossRef]




| Week # | rMSSD (ms) | RHR (Bpm) | TL (AU) | HIA (Min) |
|---|---|---|---|---|
| Week 1 | 105.3 ± 66.8 | 62.9 ± 7.8 | 847.8 ± 228.0 | 67.75 ± 42.1 |
| Week 2 | 90.9 ± 47.9 | 63.5 ± 8.2 | 1809.1 ± 446.1 | 169.65 ± 85.1 |
| Week 3 | 82.6 ± 38.0 | 66.4 ± 7.3 | 1519.7 ± 459.2 | 153.4 ± 73.5 |
| Week 4 | 85.8 ± 47.1 | 66.4 ± 9.0 | 1461.7 ± 503.6 | 133.1 ± 79.5 |
| Week 5 | 82.0 ± 45.2 | 66.6 ± 8.4 | 1131.3 ± 517.4 | 120.7 ± 71.7 |
| Week 6 | 87.3 ± 49.1 | 65.6 ± 10.1 | 1219.9 ± 304.4 | 117.8 ± 56.1 |
| Week 7 | 100.0 ± 48.9 | 63.9 ± 5.8 | 1453.6 ± 501.9 | 137.6 ± 64.8 |
| Week 8 | 88.6 ± 40.5 | 65.4 ± 7.7 | 1527.4 ± 509.9 | 130.9 ± 77.1 |
| Week 9 | 96.9 ± 47.6 | 63.4 ± 5.8 | 1582.0 ± 405.7 | 137.0 ± 68.7 |
| Week 10 | 98.1 ± 46.3 | 64.4 ± 6.7 | 505.5 ± 109.6 | 37.3 ± 17.1 |
| Week 11 | 94.8 ± 36.6 | 62.1 ± 6.4 | N/A | N/A |
| Week 12 | 108.0 ± 44.8 | 61.5 ± 6.1 | N/A | N/A |
| Week 13 | 114.1 ± 70.3 | 63.8 ± 7.1 | 628.8 ± 209.9 | 70.6 ± 50.1 |
| Week 14 | 96.6 ± 54.1 | 63.7 ± 5.7 | 1524.1 ± 640.5 | 154.6 ± 102.9 |
| Week 15 | 103.0 ± 50.8 | 64.5 ± 6.7 | 1496.2 ± 492.2 | 149.3 ± 78.7 |
| Week 16 | 96.4 ± 52.2 | 65.0 ± 7.2 | 1364.2 ± 451.3 | 120.1 ± 71.5 |
| Week 17 | 96.1 ± 45.1 | 63.7 ± 6.2 | 1419.9 ± 348.1 | 136.6 ± 42.8 |
| Week 18 | 106.8 ± 62.3 | 62.8 ± 6.3 | 989.75 ± 300.0 | 94.4 ± 41.4 |
| Week 19 | 93.9 ± 64.0 | 64.1 ± 7.1 | 1225.8 ± 522.6 | 118.9 ± 83.4 |
| Week 20 | 85.2 ± 53.8 | 65.1 ± 8.7 | 1045.875 ± 314.4 | 100.1 ± 36.9 |
| Week 21 | 101.2 ± 52.7 | 61.2 ± 8.6 | 1294.8 ± 406.8 | 122.9 ± 48.4 |
| School Year | Subject | Playing Position | rMSSD (ms) | RHR (Bpm) | TL (AU) | HIA (Min) |
|---|---|---|---|---|---|---|
| Rookie | Sophomore | Junior | 1 | F | 163.8 ± 22.5 | N/A | 1688 ± 672.4 | 287.9 ± 132.6 |
| 2 | D | 82.1 ± 54.3 | 67.3 ± 8.7 | 1084.2 ± 509.9 | 110.7 ± 45.7 | |
| 3 | D | 60.5 ± 11.9 | 64.2 ± 4.4 | 936.4 ± 352.7 | 102.1 ± 39.0 | |
| 4 | F | 233.0 ± 39.0 | 47.8 ± 5.1 | 823.6 ± 381.1 | 35.9 ± 25.9 | |
| 5 | F | 50.2 ± 15.3 | 66.1 ± 9.0 | 1335.8 ± 534.6 | 113.1 ± 47.1 | |
| 6 | F | 102.8 ± 21.0 | 58.5 ± 3.8 | 1251.5 ± 524.0 | 108.6 ± 51.6 | |
| 7 | F | 80.3 ± 27.7 | 65.8 ± 8.4 | 1245.5 ± 495.3 | 102.7 ± 47.4 | |
| 8 | F | 97.9 ± 37.0 | 65.0 ± 5.3 | 1295.7 ± 696.6 | 126.7 ± 89.8 | |
| 9 | F | 85.5 ± 25.5 | 63.0 ± 3.1 | 1098.7 ± 656.1 | 102.3 ± 62.6 | |
| 10 | D | 89.4 ± 13.7 | 57.8 ± 4.0 | 1033.2 ± 629.7 | 103.6 ± 67.8 | |
| 11 | F | 131.1 ± 17.9 | 60.5 ± 7.0 | 1545.8 ± 645.0 | 156.8 ± 66.1 | |
| 12 | D | 119.9 ± 62.5 | 59.8 ± 5.6 | 643.6 ± 319.5 | 47.4 ± 34.8 | |
| Seniors | 13 | D | 88.6 ± 20.2 | 67.0 ± 6.3 | 1535.1 ± 634.3 | 170.7 ± 77.7 |
| 14 | F | 49.0 ± 16.3 | 71.9 ± 6.2 | 716.6 ± 337.1 | 80.3 ± 35.2 | |
| 15 | F | 108.3 ± 27.0 | 55.4 ± 7.7 | 1368.5 ± 427.4 | 115.0 ± 38.3 | |
| 16 | D | 57.5 ± 11.4 | 65.9 ± 5.5 | 10,250.0 ± 545.6 | 60.9 ± 48.1 | |
| 17 | F | 77.9 ± 21.9 | 55.7 ± 5.0 | 784.6 ± 416.7 | 39.7 ± 21.3 | |
| 18 | F | 68.9 ± 7.2 | 59.5 ± 6.2 | 1228.0 ± 501.8 | 103.2 ± 48.3 | |
| 19 | D | 122.3 ± 20.3 | 54.6 ± 4.2 | 1055.2 ± 458.0 | 100.3 ± 43.3 | |
| 20 | F | 85.1 ± 14.6 | 63.7 ± 1.7 | 1059.6 ± 465.4 | 54.7 ± 29.9 | |
| 21 | D | 34.8 ± 24.9 | 67.7 ± 12.1 | 1429.5 ± 545.9 | 146.5 ± 59.8 |
Disclaimer/Publisher’s Note: The statements, opinions and data contained in all publications are solely those of the individual author(s) and contributor(s) and not of MDPI and/or the editor(s). MDPI and/or the editor(s) disclaim responsibility for any injury to people or property resulting from any ideas, methods, instructions or products referred to in the content. |
© 2025 by the authors. Licensee MDPI, Basel, Switzerland. This article is an open access article distributed under the terms and conditions of the Creative Commons Attribution (CC BY) license (https://creativecommons.org/licenses/by/4.0/).
Share and Cite
Peterson, M.L.; Monforton, P.E.; Bain, A.R.; Milne, K.J.; Perrotta, A.S. Examining the Exercise Dose–Response Using Cardiac Autonomic Activity in Female University Ice Hockey Players. Sports 2025, 13, 330. https://doi.org/10.3390/sports13090330
Peterson ML, Monforton PE, Bain AR, Milne KJ, Perrotta AS. Examining the Exercise Dose–Response Using Cardiac Autonomic Activity in Female University Ice Hockey Players. Sports. 2025; 13(9):330. https://doi.org/10.3390/sports13090330
Chicago/Turabian StylePeterson, Maggie L., Patrick E. Monforton, Anthony R. Bain, Kevin J. Milne, and Andrew S. Perrotta. 2025. "Examining the Exercise Dose–Response Using Cardiac Autonomic Activity in Female University Ice Hockey Players" Sports 13, no. 9: 330. https://doi.org/10.3390/sports13090330
APA StylePeterson, M. L., Monforton, P. E., Bain, A. R., Milne, K. J., & Perrotta, A. S. (2025). Examining the Exercise Dose–Response Using Cardiac Autonomic Activity in Female University Ice Hockey Players. Sports, 13(9), 330. https://doi.org/10.3390/sports13090330

