Does Birth Month Matter? Effects of Birth Subgroupings on Motor Performance and Ball-Involving Tests in a Youth Soccer Academy
Abstract
1. Introduction
2. Materials and Methods
2.1. Participants
2.2. Testing Procedures
- -
- Counter Movement Jump (CMJ) and Counter Movement Jump with Arm Swing (CMJA). The players performed three consecutive vertical jumps from a standing position, which were measured using the Optojump System (96 LEDs, 1.0416 cm resolution, Microgate, Bolzano, Italy). The system allowed precise measurement of the jump height by analyzing the flight time of each jump [22]. The highest jump among the three attempts was recorded for analysis. Arm movements were standardized: in CMJ, arms remained positioned on the hips throughout the movement, while in CMJA, free arm swing was permitted to assess coordination improvements. These tests were selected as they evaluate lower limb power and coordination, fundamental components for soccer performance, particularly in jumping for headers and explosive movements [23]. Slinde and colleagues [24] showed a high test–retest stability coefficient (range 0.80–0.98) for CMJ performances.
- -
- 15-Meter Linear Sprint (LS) and 15-Meter Sprint with Ball Control (LSB). For the sprint test, the players completed a 15 m linear sprint in the shortest possible time. These tests measure fundamental speed capabilities and technical-coordinative abilities essential for soccer performance, with the ball control variant specifically assessing the integration of technical skills under speed demands [25]. The time spent in the sprint test was detected by a photocell system (Witty, Microgate, Bolzano, Italy). The fastest time among multiple trials was recorded for analysis. Altmann and colleagues [26] showed a high test–retest stability for these tests.
- -
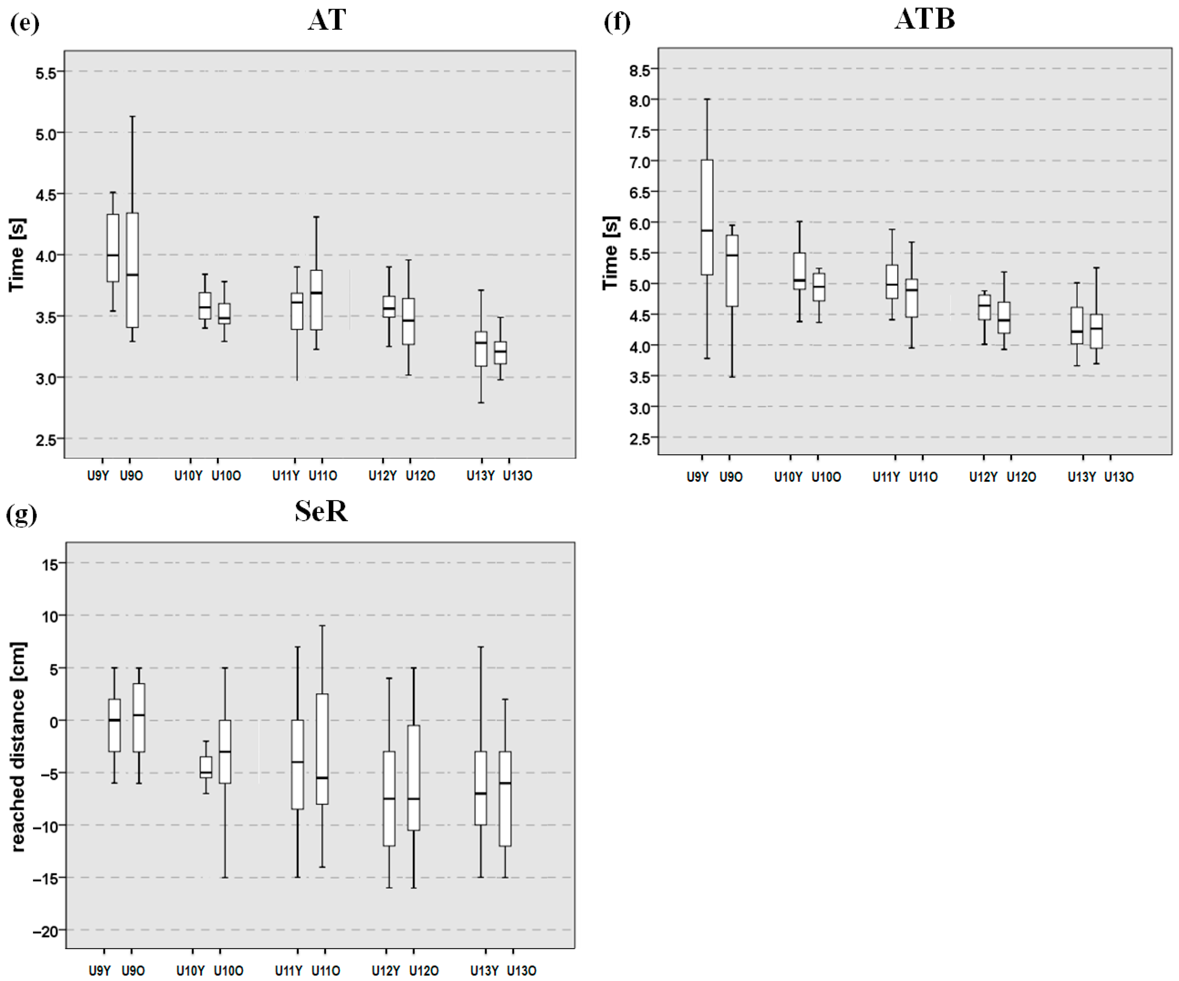
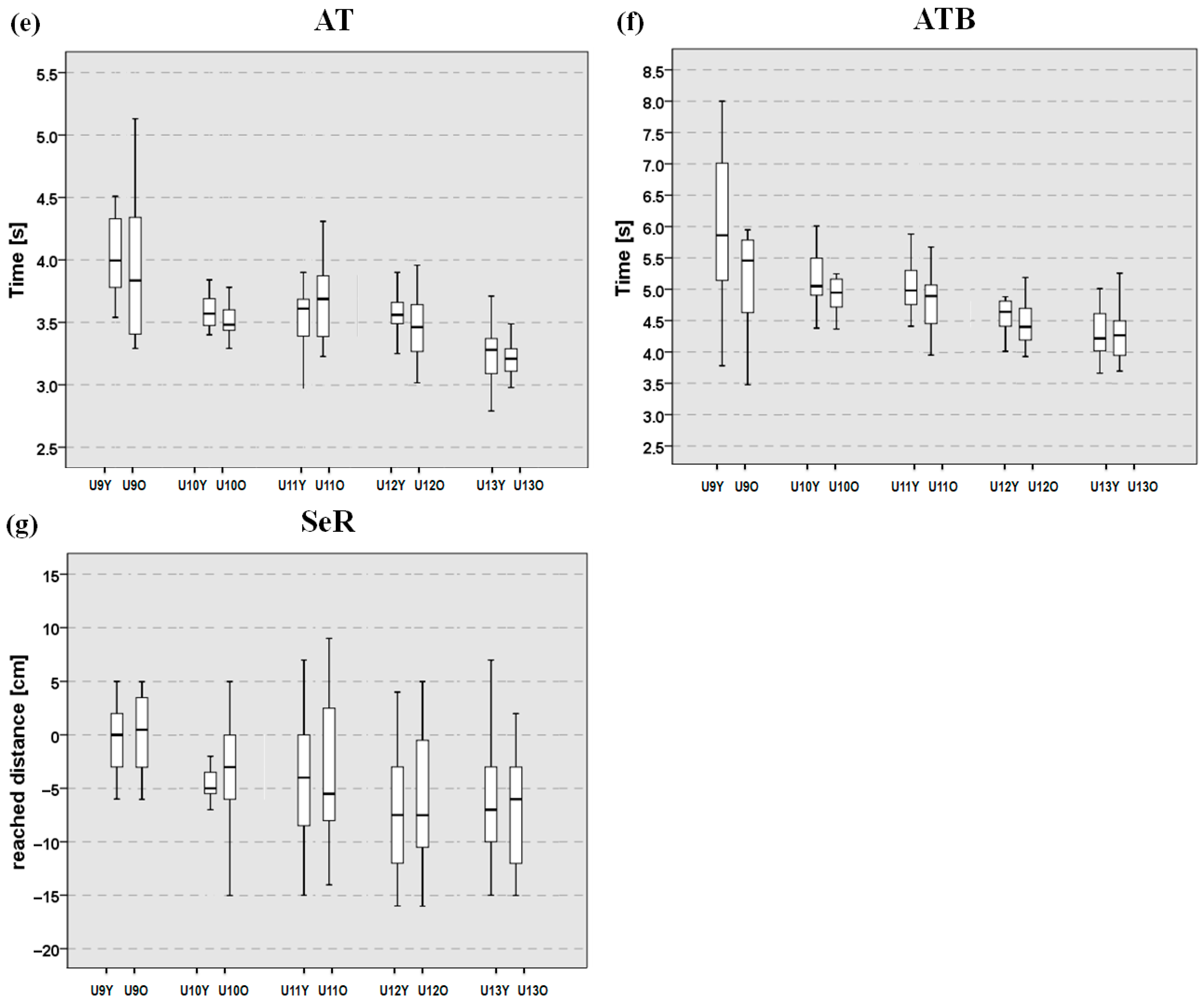
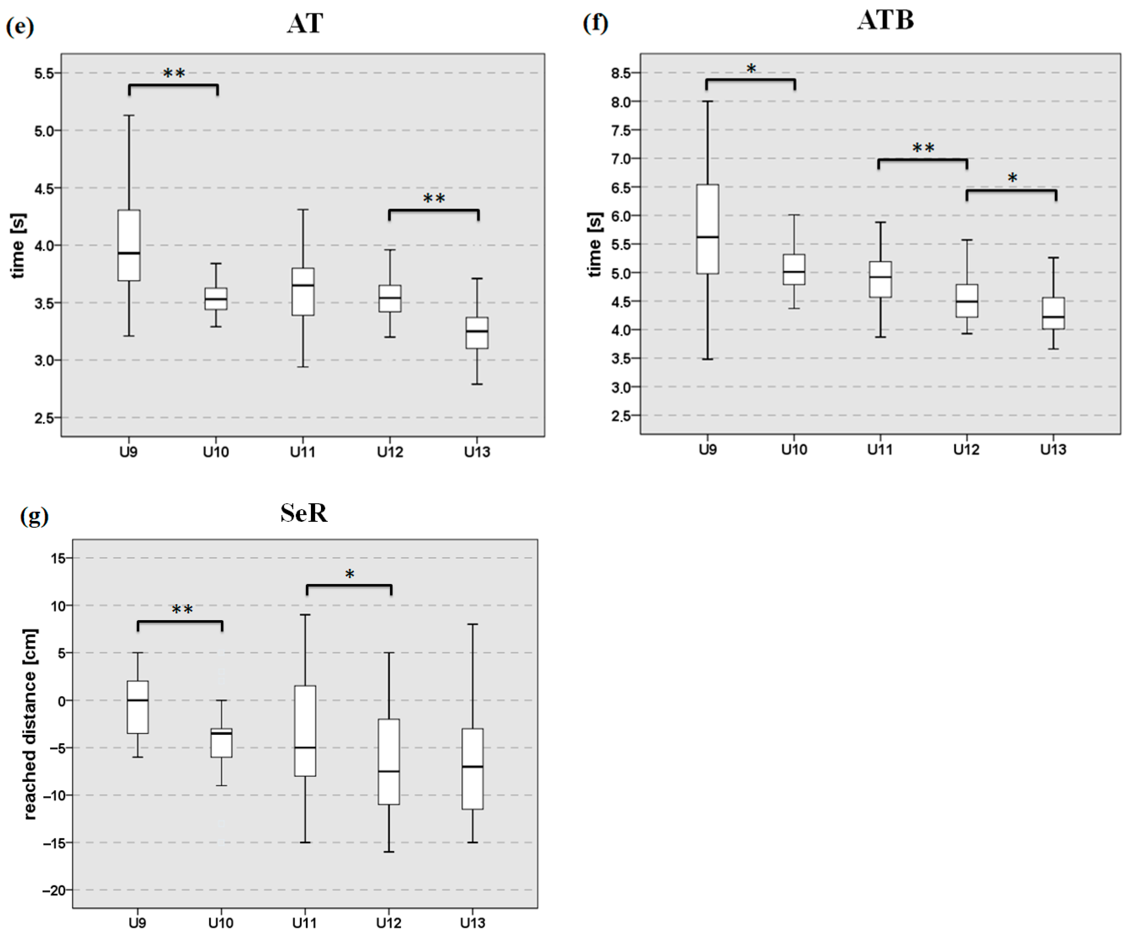
- 15-Meter Agility Test (AT) and 15-Meter Agility Test with Ball Control (ATB). Agility was assessed using a 15 m slalom sprint. These tests evaluate the ability to change direction rapidly, a crucial skill in soccer for evading opponents and creating space, with the ball variant assessing technical execution under coordinative demands [25]. The time spent in the sprint test was detected by a photocell system (Witty, Microgate, Bolzano, Italy). The fastest time among multiple trials was recorded for analysis. Altmann and colleagues [26] showed a high test–retest stability for these tests.
- -
- Sit and Reach Test (SeR). Lower limb and spine flexibility were evaluated using the Sit and Reach test. Players sat with their legs extended and their feet resting on a graduated panel, and their best maximum forward reach distance among multiple attempts was measured [27]. This test was included as flexibility is important for injury prevention and overall movement quality in young athletes.
2.3. Statistical Analysis
3. Results
3.1. Differences Between Age Groups
3.2. Differences Within Age Subgroups
4. Discussion
Limitations
5. Conclusions
Future Directions
Author Contributions
Funding
Institutional Review Board Statement
Informed Consent Statement
Data Availability Statement
Conflicts of Interest
References
- Amatori, S.; Pintus, A.; Corsi, L.; Bensi, R.; Zanini, L.; Rocco, V.; Guidetti, L.; Baldari, C.; Rocchi, M.B.L.; Sisti, D.; et al. Chronological age, relative age, pubertal development, and their impact on countermovement jump performance in adolescent football players: An integrative analysis. Heliyon 2024, 10, e36879. [Google Scholar] [CrossRef]
- Fernandez-Gonzalo, R.; De Souza-Teixeira, F.; Bresciani, G.; García-López, D.; Hernández-Murúa, J.A.; Jiménez-Jiménez, R.; De Paz, J.A. Comparison of Technical and Physiological Characteristics of Prepubescent Soccer Players of Different Ages. J. Strength Cond. Res. 2010, 24, 1790–1798. [Google Scholar] [CrossRef]
- Saward, C.; Hulse, M.; Morris, J.G.; Goto, H.; Sunderland, C.; Nevill, M.E. Longitudinal Physical Development of Future Professional Male Soccer Players: Implications for Talent Identification and Development? Front. Sports Act. Living 2020, 2, 578203. [Google Scholar] [CrossRef] [PubMed] [PubMed Central]
- Pienaar, A.E.; Gericke, C.; Plessis, W.D. Competency in Object Control Skills at an Early Age Benefit Future Movement Application: Longitudinal Data from the NW-CHILD Study. Int. J. Environ. Res. Public Health 2021, 18, 1648. [Google Scholar] [CrossRef]
- Zhang, D.; Soh, K.G.; Chan, Y.M.; Zaremohzzabieh, Z. Effect of intervention programs to promote fundamental motor skills among typically developing children: A systematic review and meta-analysis. Child. Youth Serv. Rev. 2024, 156, 107320. [Google Scholar] [CrossRef]
- Leyhr, D.; Kelava, A.; Raabe, J.; Höner, O. Longitudinal motor performance development in early adolescence and its relationship to adult success: An 8-year prospective study of highly talented soccer players. PLoS ONE 2018, 13, e0196324. [Google Scholar] [CrossRef] [PubMed] [PubMed Central]
- Barnett, L.M.; Lai, S.K.; Veldman, S.L.C.; Hardy, L.L.; Cliff, D.P.; Morgan, P.J.; Zask, A.; Lubans, D.R.; Shultz, S.P.; Ridgers, N.D.; et al. Correlates of Gross Motor Competence in Children and Adolescents: A Systematic Review and Meta-Analysis. Sports Med. 2016, 46, 1663–1688. [Google Scholar] [CrossRef] [PubMed]
- Duncan, M.J.; Eyre, E.L.J.; Noon, M.R.; Morris, R.; Thake, C.D.; Clarke, N.D.; Cunningham, A.J. Actual and perceived motor competence mediate the relationship between physical fitness and technical skill performance in young soccer players. Eur. J. Sport Sci. 2022, 22, 1196–1203. [Google Scholar] [CrossRef]
- Hermassi, S.; Hayes, L.D.; Bartels, T.; Schwesig, R. Differences in body composition, static balance, field test performance, and academic achievement in 10–12-year-old soccer players. Front. Physiol. 2023, 14, 1150484. [Google Scholar] [CrossRef] [PubMed]
- Selmi, M.A.; Sassi, R.H.; Yahmed, M.H.; Giannini, S.; Perroni, F.; Elloumi, M. Normative Data and Physical Determinants of Multiple Sprint Sets in Young Soccer Players Aged 11–18 Years: Effect of Maturity Status. J. Strength Cond. Res. 2020, 34, 506–515. [Google Scholar] [CrossRef]
- Bolckmans, S.; Starkes, J.L.; Towlson, C.; Barnes, C.; Parkin, G.; Helsen, W.F. Leveling the Playing Field: A New Proposed Method to Address Relative Age- and Maturity-Related Bias in UK Male Academy Soccer Players. Front. Sports Act. Living 2022, 4, 847438. [Google Scholar] [CrossRef]
- Gonçalves, C.E.B.; Rama, L.M.L.; Figueiredo, A.B. Talent Identification and Specialization in Sport: An Overview of Some Unanswered Questions. Int. J. Sports Physiol. Perform. 2012, 7, 390–393. [Google Scholar] [CrossRef]
- Meylan, C.; Cronin, J.; Oliver, J.; Hughes, M. Talent identification in soccer: The role of maturity status on physical, physiological and technical characteristics. Int. J. Sports Sci. Coach. 2010, 5, 571–592. [Google Scholar] [CrossRef]
- Roberts, S.J.; Boddy, L.M.; Fairclough, S.J.; Stratton, G. The Influence of Relative Age Effects on the Cardiorespiratory Fitness Levels of Children Age 9 to 10 and 11 to 12 Years of Age. Pediatr. Exerc. Sci. 2012, 24, 72–83. [Google Scholar] [CrossRef]
- Lovell, R.; Towlson, C.; Parkin, G.; Portas, M.; Vaeyens, R.; Cobley, S. Soccer Player Characteristics in English Lower-League Development Programmes: The Relationships between Relative Age, Maturation, Anthropometry and Physical Fitness. PLoS ONE 2015, 10, e0137238. [Google Scholar] [CrossRef] [PubMed] [PubMed Central]
- Cumming, S.P.; Lloyd, R.S.; Oliver, J.L.; Eisenmann, J.C.; Malina, R.M. Bio-banding in Sport: Applications to Competition, Talent Identification, and Strength and Conditioning of Youth Athletes. Strength Cond. J. 2017, 39, 34–47. [Google Scholar] [CrossRef]
- Perroni, F.; Vetrano, M.; Rainoldi, A.; Guidetti, L.; Baldari, C. Relationship among explosive power, body fat, fat free mass and pubertal development in youth soccer players: A preliminary study. Sport Sci. Health 2014, 10, 67–73. [Google Scholar] [CrossRef]
- Jakobsson, J.; Julin, A.L.; Persson, G.; Malm, C. Darwinian Selection Discriminates Young Athletes: The Relative Age Effect in Relation to Sporting Performance. Sports Med. Open 2021, 7, 16. [Google Scholar] [CrossRef] [PubMed]
- Fortunato, Á.; Gonçalves, C.; Lopes, V.P. Relationship Between Motor Competence and Soccer-Specific Skills: A Longitudinal Study With Young Players. J. Mot. Learn. Dev. 2024, 12, 455–468. [Google Scholar] [CrossRef]
- Brustio, P.R.; Lupo, C.; Ungureanu, A.N.; Frati, R.; Rainoldi, A.; Boccia, G. The relative age effect is larger in Italian soccer top-level youth categories and smaller in Serie A. PLoS ONE 2018, 13, e0196253. [Google Scholar] [CrossRef]
- Lupo, C.; Boccia, G.; Ungureanu, A.N.; Frati, R.; Marocco, R.; Brustio, P.R. The Beginning of Senior Career in Team Sport Is Affected by Relative Age Effect. Front. Psychol. 2019, 10, 1465. [Google Scholar] [CrossRef]
- Quagliarella, L.; Sasanelli, N.; Belgiovine, G.; Accettura, D.; Notarnicola, A.; Moretti, B. Evaluation of counter movement jump parameters in young male soccer players. J. Appl. Biomater. Biomech. 2011, 9, 40–46. [Google Scholar] [CrossRef]
- Heishman, A.D.; Daub, B.D.; Miller, R.M.; Freitas, E.D.S.; Frantz, B.A.; Bemben, M.G. Countermovement Jump Reliability Performed With and Without an Arm Swing in NCAA Division 1 Intercollegiate Basketball Players. J. Strength Cond. Res. 2020, 34, 546–558. [Google Scholar] [CrossRef] [PubMed]
- Slinde, F.; Suber, C.; Suber, L.; Edwen, C.E.; Svantesson, U. Test retest reliability of three countermovement jumping tests. J. Strength Cond. Res. 2008, 22, 640–644. [Google Scholar] [CrossRef]
- Mujika, I.; Santisteban, J.; Impellizieri, F.M.; Castagna, C. Fitness determinants of success in men’s and women’s football. J. Sport Sci. 2009, 27, 107–114. [Google Scholar] [CrossRef] [PubMed]
- Altmann, S.; Ringhof, S.; Neumann, R.; Woll, A.; Rumpf, M.C. Validity and reliability of speed tests used in soccer: A systematic review. PLoS ONE 2019, 14, e0220982. [Google Scholar] [CrossRef]
- Nikolaidis, P.; Ziv, G.; Lidor, R.; Arnon, M. Inter-individual Variability in Soccer Players of Different Age Groups Playing Different Positions. J. Hum. Kinet. 2014, 40, 213–225. [Google Scholar] [CrossRef] [PubMed]
- Cohen, J. Statistical Power Analysis for the Behavioral Sciences (Rev. ed.); Lawrence Erlbaum Associates: Mahwah, NJ, USA, 1988. [Google Scholar] [CrossRef]
- Abarghoueinejad, M.; Baxter-Jones, A.D.G.; Gomes, T.N.; Barreira, D.; Maia, J. Motor Performance in Male Youth Soccer Players: A Systematic Review of Longitudinal Studies. Sports 2021, 9, 53. [Google Scholar] [CrossRef] [PubMed] [PubMed Central]
- Kokstejn, J.; Musalek, M.; Wolanski, P.; Murawska-Cialowicz, E.; Stastny, P. Fundamental Motor Skills Mediate the Relationship Between Physical Fitness and Soccer-Specific Motor Skills in Young Soccer Players. Front. Physiol. 2019, 10, 596. [Google Scholar] [CrossRef] [PubMed] [PubMed Central]
- Bozděch, M.; Agricola, A.; Zháněl, J. The Relative Age Effect at Different Age Periods in Soccer: A Meta-Analysis. Percept. Mot. Skills 2023, 130, 2632–2662. [Google Scholar] [CrossRef] [PubMed]
- Sierra-Díaz, M.J.; González-Víllora, S.; Pastor-Vicedo, J.C.; Serra-Olivares, J. Soccer and Relative Age Effect: A Walk among Elite Players and Young Players. Sports 2017, 5, 5. [Google Scholar] [CrossRef] [PubMed] [PubMed Central]
- Keemss, J.; Sieland, J.; Pfab, F.; Banzer, W. Effects of COVID-19 Lockdown on Physical Performance, Sleep Quality, and Health-Related Quality of Life in Professional Youth Soccer Players. Front. Sports Act. Living 2022, 4, 875767. [Google Scholar] [CrossRef] [PubMed] [PubMed Central]
- Perroni, F.; Amatori, S.; Corsi, L.; Bensi, R.; Guidetti, L.; Baldari, C.; Rocchi, M.B.L.; Castagna, C.; Gobbi, E.; Sisti, D.; et al. Assessment of Performance in Youth Soccer Players: Should We Consider the Maturation Status? J. Hum. Kinet. 2024, 93, 119–131. [Google Scholar] [CrossRef] [PubMed] [PubMed Central]
- Malina, R.M.; Coelho-E-Silva, M.J.; Figueiredo, A.J.; Philippaerts, R.M.; Hirose, N.; Peña Reyes, M.E.; Gilli, G.; Benso, A.; Vaeyens, R.; Deprez, D.; et al. Tanner-Whitehouse Skeletal Ages in Male Youth Soccer Players: TW2 or TW3? Sports Med. 2018, 48, 991–1008. [Google Scholar] [CrossRef] [PubMed]
- Malina, R.M.; Ribeiro, B.; Aroso, J.; Cumming, S.P. Characteristics of youth soccer players aged 13–15 years classified by skill level. Br. J. Sports Med. 2007, 41, 290–295; discussion 295. [Google Scholar] [CrossRef] [PubMed] [PubMed Central]
- Koopmann, T.; Faber, I.; Baker, J.; Schorer, J. Assessing Technical Skills in Talented Youth Athletes: A Systematic Review. Sports Med. 2020, 50, 1593–1611. [Google Scholar] [CrossRef] [PubMed] [PubMed Central]




| Groups | CMJ [cm] | CMJA [cm] | LS [s] | LSB [s] | AT [s] | ATB [s] | SeR [cm] |
|---|---|---|---|---|---|---|---|
| U9 | 19.3 [17.5–19.7] | 20.3 [18.7–20.7] * | 3.37 [3.16–3.64] * | 3.88 [3.66–4.4] | 3.93 [3.66–4.33] * | 5.62 [4.82–6.85] * | 0 [−4–+2] * |
| U10 | 19.5 [17.1–19.9] | 22.4 [19.5–24.6] | 3.2 [3.11–3.31] | 3.8 [3.59–3.99] | 3.53 [3.44–3.64] | 5.01 [4.75–5.38] | −3 [−6–−2] |
| U11 | 20.3 [17.5–21.6] * | 23.4 [18.7–25.6] * | 3.2 [3.0–3.3] | 3.65 [3.48–3.8] * | 3.65 [3.38–3.86] | 4.92 [4.52–5.25] * | −5 [−8–+2] * |
| U12 | 21.6 [18.8–26.0] | 24.1 [21.4–29.8] | 3.18 [3.06–3.3] * | 3.39 [3.28–3.55] * | 3.54 [3.4–3.65] * | 4.49 [4.21–4.79] * | −7.5 [−11.3–−2] |
| U13 | 23.1 [21.4–25.7] | 26.4 [24.7–28.2] | 2.93 [2.77–3.04] | 3.25 [3.1–3.37] | 3.25 [3.09–3.37] | 4.22 [4.0–4.61] | −7 [−12–−3] |
| Groups | Subgroups | CMJ [cm] | CMJA [cm] | LS [s] | LSB [s] | AT [s] | ATB [s] | SeR [cm] |
|---|---|---|---|---|---|---|---|---|
| U9 | U9Y (n = 14) | 19.6 [17.5–19.7] | 19.9 [18.2–20.4] | 3.39 [3.16–3.65] | 4.02 [3.71–4.31] | 3.93 [3.72–4.33] | 5.86 [5.14–7.01] | 0.0 [−4.0–+2.0] |
| U9O (n = 9) | 19.2 [17.2–21.0] | 20.75 [20.3–24.7] * | 3.32 [3.16–3.61] | 3.78 [3.55–4.49] | 3.84 [3.40–4.43] | 5.46 [4.58–5.87] | 0.5 [−3.5–+3.8] | |
| U10 | U10Y (n = 15) | 17.5 [15.6–19.8] | 19.5 [17.5–22.6] | 3.23 [3.15–3.31] | 3.91 [3.70–4.24] | 3.57 [3.46–3.71] | 5.05 [4.83–5.56] | −5 [−6.0–−3.0] |
| U10O (n = 16) | 19.7 [18.8–21.1] * | 22.9 [22.3–28.0] * | 3.18 [3.07–3.31] | 3.69 [3.54–3.86] * | 3.48 [3.43–3.60] | 4.95 [4.72–5.18] | −3 [−7.5–0.0] | |
| U11 | U11Y (n = 15) | 20.3 [16.1–21.0] | 24.1 [17.3–25.6] | 3.0 [2.92–3.18] | 3.65 [3.38–3.74] | 3.61 [3.28–3.70] | 4.98 [4.72–5.31] | −4 [−9.0–0.0] |
| U11O (n = 24) | 20.3 [18.1–22.9] | 23.0 [19.7–26.2] | 3.23 [3.04–3.42] * | 3.67 [3.51–4.01] | 3.69 [3.39–3.88] | 4.9 [4.46–5.10] | −5.5 [−8.0–+2.8] | |
| U12 | U12Y (n = 22) | 20.5 [19.0–24.3] | 23.6 [21.3–28.8] | 3.18 [3.12–3.34] | 3.41 [3.28–3.57] | 3.56 [3.48–3.66] | 4.64 [4.40–4.83] | −7.5 [−12.8–−2.8] |
| U12O (n = 20) | 22.4 [18.6–28.0] | 25.7 [21.2–31.0] | 3.15 [3.03–3.24] | 3.35 [3.22–3.55] | 3.465 [3.27–3.65] | 4.405 [4.19–4.75] | −7.5 [−12.8–−0.3] | |
| U13 | U13Y (n = 22) | 23.2 [21.7–25.0] | 27.1 [25.1–28.2] | 2.97 [2.79–3.09] | 3.25 [3.16–3.39] | 3.28 [3.08–3.37] | 4.215 [4.02–4.62] | −7 [−10.3–−2.3] |
| U13O (n = 13) | 22.8 [20.5–22.8] | 25.9 [24.2–28.8] | 2.9 [2.74–3.0] | 3.25 [3.08–3.39] | 3.21 [3.06–3.36] | 4.27 [3.95–4.72] | −6 [−13.0–−3.0] |
Disclaimer/Publisher’s Note: The statements, opinions and data contained in all publications are solely those of the individual author(s) and contributor(s) and not of MDPI and/or the editor(s). MDPI and/or the editor(s) disclaim responsibility for any injury to people or property resulting from any ideas, methods, instructions or products referred to in the content. |
© 2025 by the authors. Licensee MDPI, Basel, Switzerland. This article is an open access article distributed under the terms and conditions of the Creative Commons Attribution (CC BY) license (https://creativecommons.org/licenses/by/4.0/).
Share and Cite
Marcelli, L.; Silvestri, F.; Di Pinto, G.; Colombo, A.; Marzoli, F.; Gallotta, M.C.; Guidetti, L.; Perroni, F.; Curzi, D. Does Birth Month Matter? Effects of Birth Subgroupings on Motor Performance and Ball-Involving Tests in a Youth Soccer Academy. Sports 2025, 13, 382. https://doi.org/10.3390/sports13110382
Marcelli L, Silvestri F, Di Pinto G, Colombo A, Marzoli F, Gallotta MC, Guidetti L, Perroni F, Curzi D. Does Birth Month Matter? Effects of Birth Subgroupings on Motor Performance and Ball-Involving Tests in a Youth Soccer Academy. Sports. 2025; 13(11):382. https://doi.org/10.3390/sports13110382
Chicago/Turabian StyleMarcelli, Lorenzo, Fioretta Silvestri, Gianluca Di Pinto, Andrea Colombo, Federica Marzoli, Maria Chiara Gallotta, Laura Guidetti, Fabrizio Perroni, and Davide Curzi. 2025. "Does Birth Month Matter? Effects of Birth Subgroupings on Motor Performance and Ball-Involving Tests in a Youth Soccer Academy" Sports 13, no. 11: 382. https://doi.org/10.3390/sports13110382
APA StyleMarcelli, L., Silvestri, F., Di Pinto, G., Colombo, A., Marzoli, F., Gallotta, M. C., Guidetti, L., Perroni, F., & Curzi, D. (2025). Does Birth Month Matter? Effects of Birth Subgroupings on Motor Performance and Ball-Involving Tests in a Youth Soccer Academy. Sports, 13(11), 382. https://doi.org/10.3390/sports13110382

