Associations Between Swimmers’ Dry-Land Lower- and Upper-Limb Measures and Butterfly Sprint Performance
Abstract
1. Introduction
2. Materials and Methods
2.1. Subjects
2.2. Procedures
2.2.1. The Dry-Land Tests
2.2.2. The Swim Tests
2.3. Statistical Analysis
3. Results
4. Discussion
5. Conclusions
Author Contributions
Funding
Institutional Review Board Statement
Informed Consent Statement
Data Availability Statement
Conflicts of Interest
References
- Khodaee, M.; Edelman, G.T.; Spittler, J.; Wilber, R.; Krabak, B.J.; Solomon, D.; Riewald, S.; Kendig, A.; Borgelt, L.M.; Riederer, M.; et al. Medical Care for Swimmers. Sports Med. Open 2016, 2, 27. [Google Scholar] [CrossRef]
- Hołub, M.; Stanula, A.; Baron, J.; Głyk, W.; Rosemann, T.; Knechtle, B. Predicting Breaststroke and Butterfly Stroke Results in Swimming Based on Olympics History. Int. J. Environ. Res. Public Health 2021, 18, 6621. [Google Scholar] [CrossRef] [PubMed]
- Stanula, A.; Maszczyk, A.; Roczniok, R.; Pietraszewski, P.; Ostrowski, A.; Zając, A.; Strzała, M. The Development and Prediction of Athletic Performance in Freestyle Swimming. J. Hum. Kinet. 2012, 32, 97–107. [Google Scholar] [CrossRef]
- Trinidad, A.; González-García, H.; López-Valenciano, A. An Updated Review of the Epidemiology of Swimming Injuries. PMR 2021, 13, 1005–1020. [Google Scholar] [CrossRef] [PubMed]
- Krabak, B.J.; Hancock, K.J.; Doberstein, S.T. Comparison of Dry-Land Training Programs Between Age Groups of Swimmers. PMR 2013, 5, 303–309. [Google Scholar] [CrossRef]
- Aspenes, S.T.; Kjendlie, P.L.; Hoff, J.; Helgerud, J. Combined strength and endurance training in competitive swimmers. J. Sports Sci. Med. 2009, 8, 357–365. [Google Scholar]
- Girold, S.; Maurin, D.; Dugue, B.; Chatard, J.C.; Millet, G. Effects of dry-land vs. resisted- and assisted-sprint exercises on swimming sprint performances. J. Strength Cond. Res. 2007, 21, 599–605. [Google Scholar] [CrossRef][Green Version]
- Crowley, E.; Harrison, A.J.; Lyons, M. Dry-land resistance training practices of elite swimming strength and conditioning coaches. J. Strength Cond. Res. 2018, 32, 2592–2600. [Google Scholar] [CrossRef]
- Fone, L.; van den Tillaar, R. Effect of different types of strength training on swimming performance in competitive swimmers: A systematic review. Sports Med. Open 2022, 8, 19. [Google Scholar] [CrossRef] [PubMed]
- Davis, D.S.; Briscoe, D.A.; Markowski, C.T.; Saville, S.E.; Taylor, C.J. Physical characteristics that predict vertical jump performance in recreational male athletes. Phys. Ther. Sport 2003, 4, 167–174. [Google Scholar] [CrossRef]
- Karatrantou, K.; Gerodimos, V.; Voutselas, V.; Manouras, N.; Famisis, K.; Ioakimidis, P. Can sport-specific training affect vertical jumping ability during puberty. Biol. Sport 2019, 36, 217–224. [Google Scholar] [CrossRef]
- West, D.J.; Owen, N.J.; Cunningham, D.J.; Cook, C.J.; Kilduff, L.P. Strength and power predictors of swimming starts in international sprint swimmers. J. Strength Cond. Res. 2011, 25, 950–955. [Google Scholar] [CrossRef]
- García-Ramos, A.; Padial, P.; De La Fuente, B.; Argüelles-Cienfuegos, J.; Bonitch-Góngora, J.; Feriche, B. Relationship between vertical jump height and swimming start performance before and after an altitude training camp. J. Strength Cond. Res. 2016, 30, 1638–1645. [Google Scholar] [CrossRef]
- García-Ramos, A.; Tomažin, K.; Feriche, B.; Strojnik, V.; Feriche, B.; Argüelles-Cienfuegos, J.; Bonitch-Góngora, S.; Sanchis-Moysi, I. The relationship between the lower-body muscular profile and swimming start performance. J. Hum. Kinet. 2016, 50, 157–165. [Google Scholar] [CrossRef]
- Morouço, P.; Neiva, H.; González-Badillo, J.; Garrido, N.; Marinho, D.A.; Marques, M.C. Associations between dry land strength and power measurements with swimming performance in elite athletes: A pilot study. J. Hum. Kinet. 2011, 29, 105–112. [Google Scholar] [CrossRef]
- Shen, Y.; Fu, Y.; Gu, Y.; Wang, Y. The effect of ankle flexibility on the relationship between knee isokinetic strength and the speed of underwater dolphin kicks in male competitive swimmers. Isokinet. Exerc. Sci. 2022, 30, 61–68. [Google Scholar] [CrossRef]
- Bosco, C. Strength Assessment with the Bosco’s Test; Italian Society of Sports Sciences: Rome, Italy, 1999; pp. 5–165. [Google Scholar]
- Strzała, M.; Stanula, A.; Kaca, P.; Ostrowski, A.; Krężałek, M.; Głąb, G. Butterfly sprint swimming technique, analysis of somatic and spatial-temporal coordination variables. J. Hum. Kinet. 2017, 60, 51–62. [Google Scholar] [CrossRef] [PubMed]
- Bartolomeu, R.; Costa, M.J.; Barbosa, T.M. Contribution of limbs’ actions to the four competitive swimming strokes: A nonlinear approach. J. Sports Sci. 2018, 36, 1836–1845. [Google Scholar] [CrossRef] [PubMed]
- Pagaduan, J.C.; Pojskić, H.; Užičanin, E.; Babajić, F. Effect of various warm-up protocols on jump performance in college football players. J. Hum. Kinet. 2012, 35, 127–132. [Google Scholar] [CrossRef] [PubMed]
- Kuitunen, S.; Kyröläinen, H.; Avela, J.; Komi, P.V. Leg stiffness modulation during exhaustive stretch-shortening cycle exercise. Scand. J. Med. Sci. Sports 2007, 17, 67–75. [Google Scholar] [CrossRef]
- Kozinc, Ž.; Žitnik, J.; Smajla, D.; Šarabon, N. The difference between squat jump and countermovement jump in 770 male and female participants from different sports. Eur. J. Sport Sci. 2021, 22, 985–993. [Google Scholar] [CrossRef] [PubMed]
- Bober, T.; Rzepko, A.; Pietraszewski, B. Ćwiczenia plajometryczne—Charakterystyka biomechaniczna, wskaźniki, zastosowania. Sport Wyczyn. 2007, 7–9, 5–23. [Google Scholar]
- Housh, J. Performance Excellence: Drop, Stop, Pop: Keys to Vertical Jumping. Strategies 1990, 3, 11–14. [Google Scholar] [CrossRef]
- Sztywny, A.S. Sztywność Kończyn Dolnych Człowieka Przejawiana Podczas Skoków Pionowych na Maksymalną i Zadaną Wysokość; Wydawnictwo AWF Wrocław: Wrocław, Poland, 2018. [Google Scholar]
- Liebermann, D.G.; Katz, L. On the assessment of lower-limb muscular power capability. Isokinet. Exerc. Sci. 2003, 11, 87–94. [Google Scholar] [CrossRef]
- Moir, G.; Button, C.; Glaister, M.; Stone, M.H. Influence of familiarization on the reliability of vertical jump and acceleration sprinting performance in physically active men. J. Strength Cond. Res. 2004, 18, 276–280. [Google Scholar] [PubMed]
- Markovic, G.; Dizdar, D.; Jukic, I.; Cardinale, M. Reliability and Factorial Validity of Squat and Countermovement Jump Tests. J. Strength Cond. Res. 2004, 18, 551–555. [Google Scholar]
- Comyns, T.M.; Flanagan, E.P.; Fleming, N.; Fitzgerald, E. Reliability and Validity of Field-Based Vertical Jump Assessment Systems. BMC Sports Sci. Med. Rehabil. 2023, 15, 22. [Google Scholar]
- Buśko, K.; Lewandowska, J.; Lipińska, M.; Michałski, R.; Pastuszak, A. Somatotype-variables related to muscle torque and power output in female volleyball players. Acta Bioeng. Biomech. 2013, 15, 119–126. [Google Scholar]
- Hara, M.; Shibayama, A.; Takeshita, D.; Hay, D.C.; Fukashiro, S. A comparison of the mechanical effect of arm swing and countermovement on the lower extremities in vertical jumping. Hum. Mov. Sci. 2008, 27, 636–648. [Google Scholar] [CrossRef]
- Čular, D.; Ivancev, V.; Zagatto, A.M.; Milić, M.; Bešlija, T.; Sellami, M.; Padulo, J. Validity and reliability of the 30-s continuous jump for anaerobic power and capacity assessment in combat sport. Front. Physiol. 2018, 9, 543. [Google Scholar] [CrossRef]
- Padulo, J.; Laffaye, G.; Ardigò, L.P.; Chamari, K. Concentric and eccentric: Muscle contraction or exercise? J. Hum. Kinet. 2013, 37, 5–6. [Google Scholar] [CrossRef]
- Pupo, J.D.; Gheller, R.G.; Dias, J.A.; Rodacki, A.L.F.; Moro, A.R.P.; Santos, S.G. Reliability and validity of the 30-s continuous jump test for anaerobic fitness evaluation. J. Sci. Med. Sport 2014, 17, 650–655. [Google Scholar] [CrossRef] [PubMed]
- Olstad, B.H.; Gonjo, T.; Njøs, N.; Abächerli, K.; Eriksrud, O. Reliability of Load-Velocity Profiling in Front Crawl Swimming. Front. Physiol. 2020, 11, 574306. [Google Scholar] [CrossRef]
- Rakovic, E.; Paulsen, G.; Helland, C.; Eriksrud, O.; Haugen, T. The Validity and Reliability of the 1080 Sprint Device for Assessing Sprint Performance: A Comparison with Laser-Based Systems. J. Sports Sci. 2022, 40, 722–730. [Google Scholar]
- Cross, M.R.; Brughelli, M.; Brown, S.R.; Samozino, P.; Gill, N.D.; Cronin, J.B.; Morin, J.-B. Mechanical Properties of Sprinting in Elite Rugby Athletes Using the 1080 Sprint: Reliability, Validity, and Implications. J. Strength Cond. Res. 2020, 34, 1678–1685. [Google Scholar]
- Hermosilla, F.; Sanders, R.; González-Mohíno, F.; Yustres, I.; González-Ravé, J.M. Effects of dry-land training programs on swimming turn performance: A systematic review. Int. J. Environ. Res. Public Health 2021, 18, 9340. [Google Scholar] [CrossRef]
- Thng, S.; Pearson, S.; Keogh, J.W.L. Relationships Between Dry-land Resistance Training and Swim Start Performance and Effects of Such Training on the Swim Start: A Systematic Review. Sports Med. 2019, 49, 1957–1973. [Google Scholar] [CrossRef] [PubMed]
- Kaufmann, S.; Hoos, O.; Beck, A.; Fueller, F.; Latzel, R.; Beneke, R. The Metabolic Relevance of Type of Locomotion in Anaerobic Testing: Bosco Continuous Jumping Test Versus Wingate Anaerobic Test of the Same Duration. Int. J. Sports Physiol. Perform. 2021, 16, 1663–1669. [Google Scholar] [CrossRef]
- Amaro, N.M.; Morouço, P.G.; Marques, M.C.; Fernandes, R.J.; Marinho, D.A. Biomechanical and bioenergetical evaluation of swimmers using fully-tethered swimming: A qualitative review. J. Hum. Sport Exerc. 2017, 12, 1346–1360. [Google Scholar] [CrossRef]
- Soares, S.; Silva, R.; Aleixo, I.; Machado, L.; Fernandes, R.J.; Maia, J.; Vilas-Boas, J.P. Evaluation of Force Production and Fatigue using an Anaerobic Test Performed by Differently Matured Swimmers. In Proceedings of the XIth International Symposium for Biomechanics & Medicine in Swimming, Norwegian School of Sport Sciences, Oslo, Norway, 16–19 June 2010; pp. 291–293. [Google Scholar]
- Rakovic, E.; Paulsen, G.; Helland, C.; Haugen, T.; Eriksrud, O. Validity and Reliability of a Motorized Sprint Resistance Device. J. Strength Cond. Res. 2022, 36, 2335–2338. [Google Scholar] [CrossRef]
- Lockie, R.G.; Murphy, A.J.; Knight, T.J.; De Jonge, X.A.J. Factors that differentiate acceleration ability in field sport athletes. J. Strength Cond. Res. 2011, 25, 2704–2714. [Google Scholar] [CrossRef] [PubMed]
- Alcaraz, P.E.; Palao, J.M.; Elvira, J.L.L. Determining the optimal load for resisted sprint training with sled towing. J. Strength Cond. Res. 2009, 23, 480–485. [Google Scholar] [CrossRef] [PubMed]
- Alcaraz, P.E.; Palao, J.M.; Elvira, J.L.L.; Linthorne, N.P. Effects of three types of resisted sprint training devices on the kinematics of sprinting at maximum velocity. J. Strength Cond. Res. 2008, 22, 890–897. [Google Scholar] [CrossRef] [PubMed]
- Matusiński, A.; Gołaś, A.; Zając, A.; Nitychoruk, M.; Maszczyk, A. Optimizing the load for peak power and peak velocity development during resisted sprinting. Phys. Act. Rev. 2021, 9, 128–134. [Google Scholar] [CrossRef]


| Jump Test | Height [cm] | Power [W] | Work [J] |
|---|---|---|---|
| SJ | 32.78 (6.77) | 2829.87 (525.12) | 208.22 (46.28) |
| CMJ | 39.28 (6.74) | 3224.42 (568.33) | 249.96 (51.95) |
| ACMJ | 37.75 (7.81) | 3131.85 (578.99) | 240.04 (54.04) |
| CJ15s | 27.8 (5.35) | 20.03 (3.37) | 176.69 (37.08) |
| CJ30s | 25.28 (4.81) | 18.6 (3.03) | 160.88 (34.55) |
| Arm Tests | Unit |
|---|---|
| peak power | 659.27 (122.97) W |
| peak force | 144.81 (29.25) N |
| peak velocity | 5.05 (1.37) m∙s−1 |
| Distance [m] | Time [s] | Velocity [m∙s−1] | Power [W] | Force [N] | Work [J] |
|---|---|---|---|---|---|
| 0–5 | 4.85 (0.56) | 1.05 (0.13) | 18.52 (2.53) | 15.78 (0.62) | 88.64 (6.64) |
| 0–10 | 9.93 (1.16) | 1.02 (0.13) | 18.05 (2.46) | 15.71 (0.59) | 176.84 (12.53) |
| 0–15 | 15.35 (1.80) | 0.99 (0.12) | 17.52 (2.47) | 15.64 (0.59) | 264.62 (18.68) |
| 0–20 | 21.15 (2.53) | 0.96 (0.12) | 16.98 (2.48) | 15.58 (0.60) | 352.33 (25.05) |
| 0–5 m | 0–10 m | 0–15 m | 0–20 m | ||||||||||||||||||||||
|---|---|---|---|---|---|---|---|---|---|---|---|---|---|---|---|---|---|---|---|---|---|---|---|---|---|
| Time [s] | Velocity [m/s] | Power [W] | Time [s] | Velocity [m/s] | Power [W] | Time [s] | Velocity [m/s] | Power [W] | Time [s] | Velocity [m/s] | Power [W] | ||||||||||||||
| JT | VAR | r | R2 | r | R2 | r | R2 | r | R2 | r | R2 | r | R2 | r | R2 | r | R2 | r | R2 | r | R2 | r | R2 | r | R2 |
| SJ | H [cm] | 0.73 | 0.53 | 0.79 | 0.63 | 0.61 | 0.38 | 0.73 | 0.53 | 0.79 | 0.62 | 0.62 | 0.38 | 0.73 | 0.53 | 0.79 | 0.62 | 0.61 | 0.38 | 0.72 | 0.52 | 0.78 | 0.61 | 0.59 | 0.35 |
| P [W] | 0.83 | 0.69 | 0.87 | 0.75 | 0.66 | 0.43 | 0.84 | 0.70 | 0.87 | 0.76 | 0.68 | 0.47 | 0.84 | 0.71 | 0.87 | 0.76 | 0.68 | 0.46 | 0.82 | 0.68 | 0.86 | 0.74 | 0.66 | 0.43 | |
| W [J] | 0.82 | 0.67 | 0.86 | 0.74 | 0.64 | 0.40 | 0.82 | 0.67 | 0.86 | 0.74 | 0.65 | 0.43 | 0.82 | 0.67 | 0.86 | 0.73 | 0.65 | 0.42 | 0.81 | 0.65 | 0.85 | 0.72 | 0.63 | 0.40 | |
| CMJ | H [cm] | 0.75 | 0.56 | 0.78 | 0.60 | 0.60 | 0.36 | 0.74 | 0.55 | 0.76 | 0.59 | 0.60 | 0.36 | 0.75 | 0.56 | 0.77 | 0.59 | 0.60 | 0.36 | 0.75 | 0.57 | 0.77 | 0.60 | 0.61 | 0.37 |
| P [W] | 0.78 | 0.60 | 0.79 | 0.62 | 0.60 | 0.36 | 0.78 | 0.61 | 0.78 | 0.62 | 0.61 | 0.38 | 0.79 | 0.62 | 0.79 | 0.62 | 0.61 | 0.38 | 0.78 | 0.61 | 0.79 | 0.62 | 0.62 | 0.38 | |
| W [J] | 0.79 | 0.62 | 0.79 | 0.63 | 0.58 | 0.33 | 0.78 | 0.61 | 0.78 | 0.61 | 0.59 | 0.35 | 0.79 | 0.62 | 0.78 | 0.61 | 0.59 | 0.34 | 0.79 | 0.62 | 0.78 | 0.61 | 0.59 | 0.35 | |
| ACMJ | H [cm] | 0.72 | 0.52 | 0.75 | 0.56 | 0.54 * | 0.29 | 0.73 | 0.53 | 0.75 | 0.56 | 0.55 * | 0.31 | 0.71 | 0.51 | 0.74 | 0.55 | 0.55 * | 0.30 | 0.70 | 0.50 | 0.73 | 0.54 | 0.53 * | 0.28 |
| P [W] | 0.79 | 0.63 | 0.80 | 0.64 | 0.56 * | 0.31 | 0.80 | 0.64 | 0.80 | 0.65 | 0.59 | 0.34 | 0.79 | 0.62 | 0.80 | 0.64 | 0.59 | 0.34 | 0.78 | 0.60 | 0.79 | 0.62 | 0.56 * | 0.32 | |
| W [J] | 0.82 | 0.67 | 0.83 | 0.70 | 0.60 | 0.36 | 0.84 | 0.70 | 0.84 | 0.71 | 0.63 | 0.40 | 0.83 | 0.69 | 0.84 | 0.71 | 0.63 | 0.40 | 0.81 | 0.66 | 0.83 | 0.68 | 0.61 | 0.37 | |
| CJ15s | H [cm] | 0.76 | 0.58 | 0.81 | 0.65 | 0.60 | 0.36 | 0.77 | 0.59 | 0.81 | 0.66 | 0.61 | 0.37 | 0.75 | 0.56 | 0.80 | 0.64 | 0.60 | 0.36 | 0.73 | 0.53 | 0.79 | 0.62 | 0.58 | 0.34 |
| P [W] | 0.82 | 0.68 | 0.86 | 0.74 | 0.64 | 0.41 | 0.84 | 0.70 | 0.87 | 0.75 | 0.66 | 0.43 | 0.82 | 0.68 | 0.86 | 0.74 | 0.66 | 0.43 | 0.81 | 0.65 | 0.85 | 0.72 | 0.64 | 0.41 | |
| W [J] | 0.84 | 0.71 | 0.87 | 0.76 | 0.62 | 0.39 | 0.85 | 0.72 | 0.87 | 0.76 | 0.64 | 0.41 | 0.84 | 0.70 | 0.86 | 0.74 | 0.63 | 0.40 | 0.81 | 0.66 | 0.85 | 0.72 | 0.62 | 0.38 | |
| CJ30s | H [cm] | 0.85 | 0.72 | 0.87 | 0.76 | 0.64 | 0.41 | 0.84 | 0.71 | 0.87 | 0.75 | 0.64 | 0.41 | 0.83 | 0.70 | 0.86 | 0.74 | 0.64 | 0.41 | 0.83 | 0.68 | 0.85 | 0.73 | 0.63 | 0.40 |
| P [W] | 0.87 | 0.76 | 0.88 | 0.78 | 0.64 | 0.41 | 0.88 | 0.77 | 0.88 | 0.78 | 0.66 | 0.43 | 0.87 | 0.76 | 0.88 | 0.78 | 0.66 | 0.44 | 0.87 | 0.75 | 0.88 | 0.77 | 0.65 | 0.43 | |
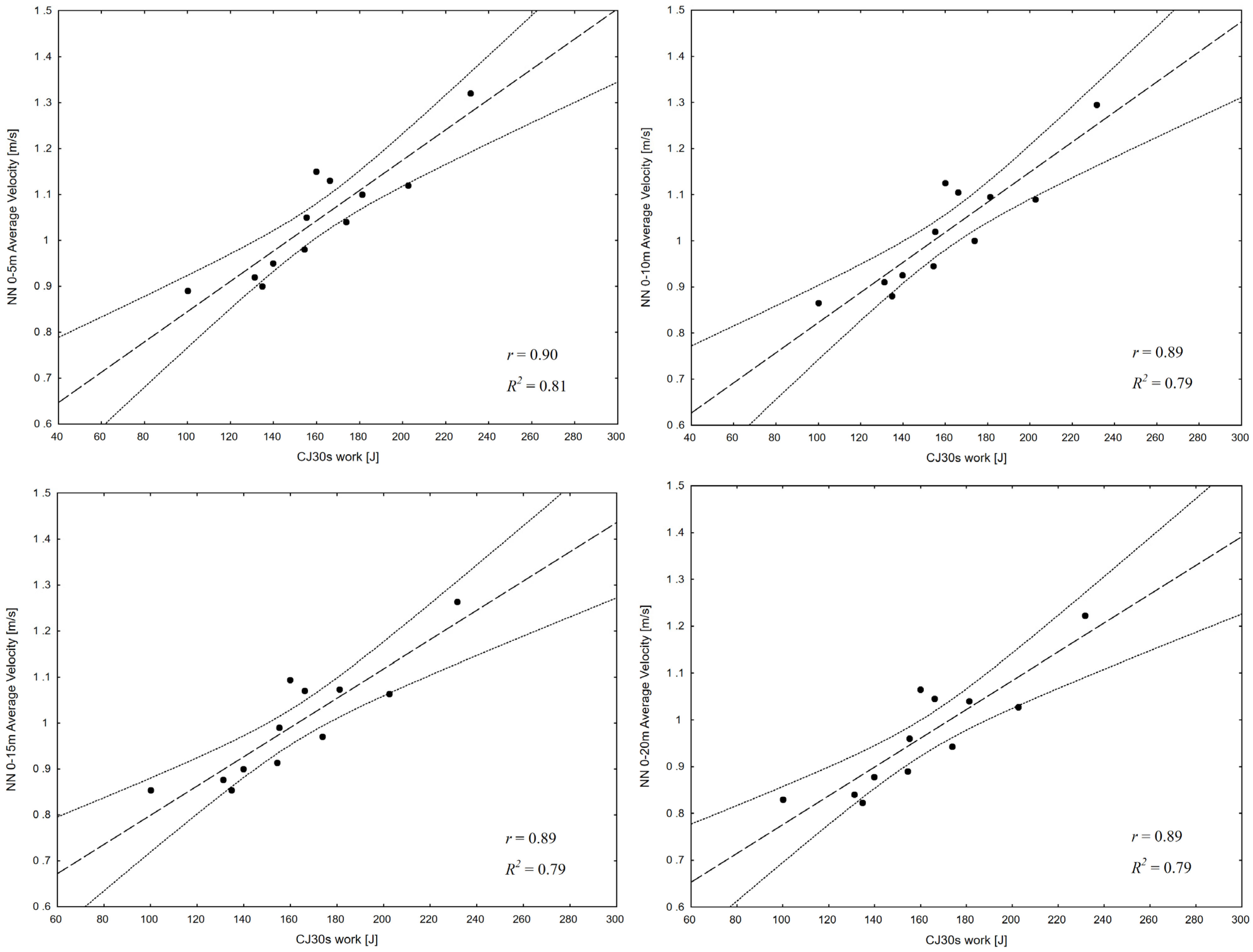
| W [J] | 0.90 | 0.80 | 0.90 | 0.81 | 0.63 | 0.40 | 0.89 | 0.79 | 0.89 | 0.80 | 0.65 | 0.42 | 0.88 | 0.78 | 0.89 | 0.79 | 0.65 | 0.42 | 0.87 | 0.76 | 0.88 | 0.78 | 0.64 | 0.41 | |
Disclaimer/Publisher’s Note: The statements, opinions and data contained in all publications are solely those of the individual author(s) and contributor(s) and not of MDPI and/or the editor(s). MDPI and/or the editor(s) disclaim responsibility for any injury to people or property resulting from any ideas, methods, instructions or products referred to in the content. |
© 2025 by the authors. Licensee MDPI, Basel, Switzerland. This article is an open access article distributed under the terms and conditions of the Creative Commons Attribution (CC BY) license (https://creativecommons.org/licenses/by/4.0/).
Share and Cite
Hołub, M.; Głyk, W.; Stanula, A.; Weiss, K.; Rosemann, T.; Knechtle, B. Associations Between Swimmers’ Dry-Land Lower- and Upper-Limb Measures and Butterfly Sprint Performance. Sports 2025, 13, 346. https://doi.org/10.3390/sports13100346
Hołub M, Głyk W, Stanula A, Weiss K, Rosemann T, Knechtle B. Associations Between Swimmers’ Dry-Land Lower- and Upper-Limb Measures and Butterfly Sprint Performance. Sports. 2025; 13(10):346. https://doi.org/10.3390/sports13100346
Chicago/Turabian StyleHołub, Maciej, Wojciech Głyk, Arkadiusz Stanula, Katja Weiss, Thomas Rosemann, and Beat Knechtle. 2025. "Associations Between Swimmers’ Dry-Land Lower- and Upper-Limb Measures and Butterfly Sprint Performance" Sports 13, no. 10: 346. https://doi.org/10.3390/sports13100346
APA StyleHołub, M., Głyk, W., Stanula, A., Weiss, K., Rosemann, T., & Knechtle, B. (2025). Associations Between Swimmers’ Dry-Land Lower- and Upper-Limb Measures and Butterfly Sprint Performance. Sports, 13(10), 346. https://doi.org/10.3390/sports13100346

