The Quality of Life of Former Portuguese Football Players
Abstract
1. Introduction
2. Methods
2.1. Sample
2.2. Definition of Variables and Instrument
- Career duration: Refers to the time span from the first year of professionalization in a senior setting and the final year of professional retirement.
- Career end period: During the 30-year period (1988–2018), two groups of former players were formed: those who retired be-tween 1988 and 2005, and those who retired between 2006 and 2018. The career end period took into account the average number of years of professional abandonment among the 84 individuals surveyed.
- Competitive level: Determined by the divisions in which ex-professional athletes worked during their careers. There are two competitive levels: the 1st division, which includes former players who played more than 50% of career years in the country’s main league, and the 2nd division, which includes players who played more than 50% of career years in the country’s secondary leagues.
- Tactical-positional status: Defined by the tactical position that former players identify as being the one they primarily played during their career. They are divided into four groups according to their position: goalkeepers, defenders, midfielders, and forwards.
- International status: Characterized by the number of internationalizations by the Portuguese “AA” team (Portuguese Football Federation). There are two groups: non-international (zero internationalizations) and international (one or more internationalizations).
- Academic qualifications: Characterized by school-based training for Former players throughout their post-career situation. As a result, three groups were formed with different levels of education: former players with education up to the third cycle (or below), high school education, and university education.
- Severe career injuries: Defined as those caused by trauma or overuse that cause functional impairment in former players [47]. These injuries are considered severe after a month of interruption in training and competition [48]. Injuries were classified based on anatomical location, such as the foot/toe, leg, knee, ankle, thigh, hip/groin, back, head/face/nose and others, as defined by the literature [47,49].
- Current professional connection to football: characterized by direct participation in football that affects monthly earnings. There are two groups: those who have a professional connection to football (e.g., trainers, sports directors, entrepreneurs) and those who do not.
2.3. Procedures
3. Results and Discussion
3.1. Quality of Life and Career Duration
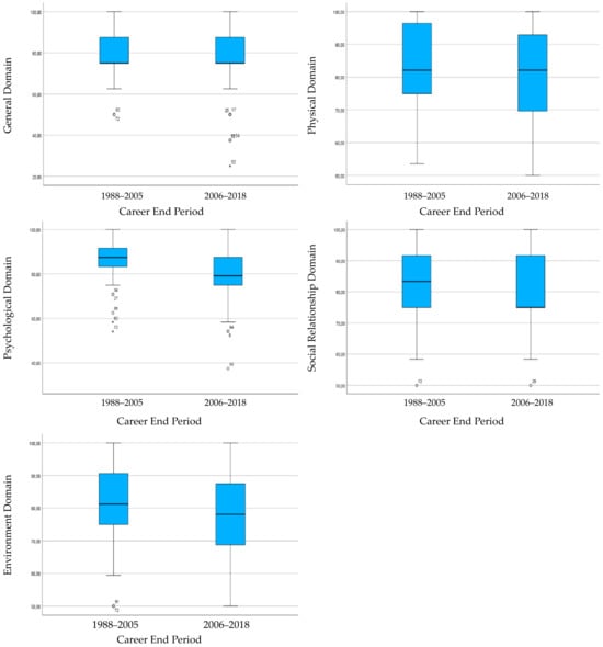
3.2. Quality of Life and Career End Period
3.3. Quality of Life and Competitive Level
3.4. Quality of Life and the Tactical-Position Status
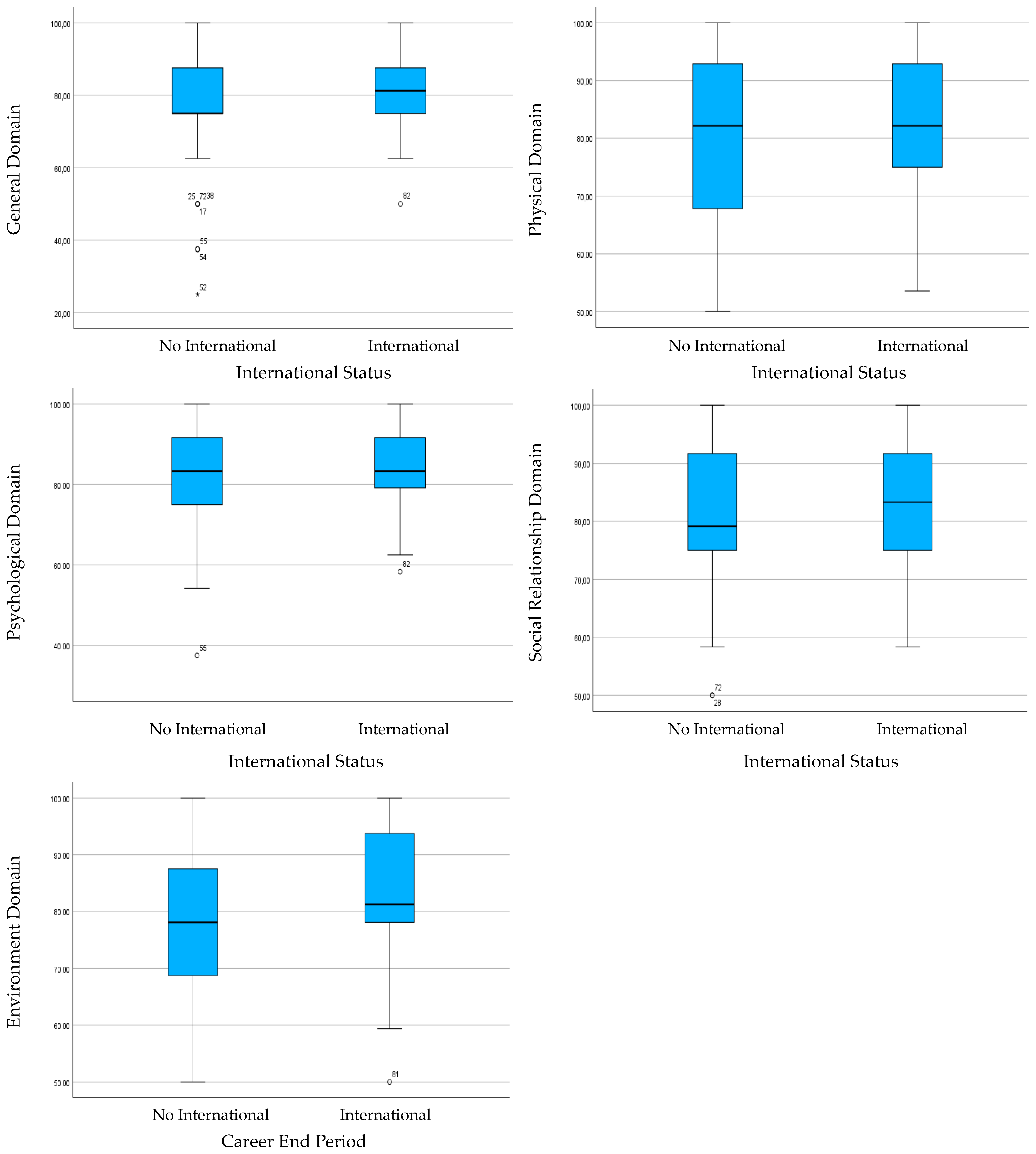
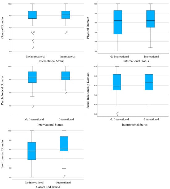
3.5. Quality of Life and the International Status
3.6. Quality of Life and Academic Qualifications
3.7. Quality of Life and Severe Career Injuries
3.8. Quality of Life and Current Professional Connection to Football
4. Conclusions
Author Contributions
Funding
Institutional Review Board Statement
Informed Consent Statement
Data Availability Statement
Acknowledgments
Conflicts of Interest
References
- Amorim, M.; Coelho, R. Saúde, doença e qualidade de vida. Psiquiatr. Clínica 1999, 20, 235–241. [Google Scholar]
- Cheik, N.C.; Reis, I.T.; Heredia, R.A.G.; de Ventura, M.L.; Tufik, S.; Antunes, H.K.M.; De Mello, M.T. Efeitos do exercício físico e da atividade física na depressão e ansiedade em indivíduos idosos. Rev. Bras. Ciência Mov. 2003, 11, 45–52. [Google Scholar]
- Gutierrez, G.L. Qualidade de Vida: Definição, Conceito e Interfaces Com Outras Áreas de Pesquisa; Escola de Artes Ciências e Humanidades—EACH/USP: Sao Paulo, Brazil, 2012. [Google Scholar]
- Pereira, É.F.; Teixeira, C.S.; dos Santos, A. Qualidade de vida: Abordagens, conceitos e avaliação. Rev. Bras. Educ. Física Esporte 2012, 26, 241–250. [Google Scholar] [CrossRef]
- de Minayo, M.C.S.; de Hartz, Z.M.A.; Buss, P.M. Qualidade de vida e saúde: Um debate necessário. Ciência Saúde Coletiva 2000, 5, 7–18. [Google Scholar] [CrossRef]
- Rodrigues, J.; Chicau Borrego, C.; Ruivo, P.; Sobreiro, P.; Catela, D.; Amendoeira, J.; Matos, R. Conceptual Framework for the Research on Quality of Life. Sustainability 2020, 12, 4911. [Google Scholar] [CrossRef]
- Patrício, B.; Jesus, L.M.T.; Cruice, M.; Hall, A. Quality of Life Predictors and Normative Data. Soc. Indic. Res. 2014, 119, 1557–1570. [Google Scholar] [CrossRef]
- Pais-Ribeiro, J.L. Quality of life is a primary end-point in clinical settings. Clin. Nutr. 2004, 23, 121–130. [Google Scholar] [CrossRef] [PubMed]
- Seidl, E.M.F.; da C Zannon, C.M.L. Qualidade de vida e saúde: Aspectos conceituais e metodológicos. Cad. Saúde Pública 2004, 20, 580–588. [Google Scholar] [CrossRef] [PubMed]
- Renwick, R.; Brown, I.; Nagler, M. Quality of Life in Health Promotion and Rehabilitation: Conceptual Approaches, Issues, and Applications; Sage Publications, Inc.: Thousand Oaks, CA, USA, 1996; Volume xvii, 437p. [Google Scholar]
- Samuel, R.D.; Stambulova, N.; Galily, Y.; Tenenbaum, G. Adaptation to change: A meta-model of adaptation in sport. Int. J. Sport. Psychol. 2023, 1–25. [Google Scholar] [CrossRef]
- Haraldstad, K.; Wahl, A.; Andenæs, R.; Andersen, J.; Andersen, M.H.; Beisland, E.; Borge, C.; Engebretsen, E.; Eisemann, M.; Halvorsrud, L. A systematic review of quality of life research in medicine and health sciences. Qual. Life Res. 2019, 28, 2641–2650. [Google Scholar] [CrossRef] [PubMed]
- WHOQOL Group. The World Health Organization quality of life assessment (WHOQOL): Position paper from the World Health Organization. Soc. Sci. Med. 1995, 41, 1403–1409. [Google Scholar] [CrossRef] [PubMed]
- Arliani, G.G.; Astur, D.C.; Yamada, R.; Yamada, A.F.; da Rocha Corrêa Fernandes, A.; Ejnisman, B.; Castro Pochini, A.; Cohen, M. Professional football can be considered a healthy sport? Knee Surg. Sports Traumatol. Arthrosc. 2016, 24, 3907–3911. [Google Scholar] [CrossRef] [PubMed]
- Barth, M.; Emrich, E. Retirement of professional soccer players—A systematic review from social sciences perspectives. J. Sports Sci. 2021, 39, 903–914. [Google Scholar] [CrossRef] [PubMed]
- Filbay, S.; Pandya, T.; Thomas, B.; McKay, C.; Adams, J.; Arden, N. Quality of Life and Life Satisfaction in Former Athletes: A Systematic Review and Meta-Analysis. Sports Med. 2019, 49, 1723–1738. [Google Scholar] [CrossRef] [PubMed]
- Maffulli, N.; Longo, U.G.; Gougoulias, N.; Caine, D.; Denaro, V. Sport injuries: A review of outcomes. Br. Med. Bull. 2011, 97, 47–80. [Google Scholar] [CrossRef] [PubMed]
- Stambulova, N.; Alfermann, D.; Statler, T.; Côté, J. ISSP Position stand: Career development and transitions of athletes. Int. J. Sport. Exerc. Psychol. 2009, 7, 395–412. [Google Scholar] [CrossRef]
- Stambulova, N.B.; Ryba, T.V.; Henriksen, K. Career development and transitions of athletes: The International Society of Sport Psychology Position Stand Revisited. Int. J. Sport. Exerc. Psychol. 2021, 19, 524–550. [Google Scholar] [CrossRef]
- Monteiro, R.; Monteiro, D.; Torregrossa, M.; Travassos, B. Career Planning in Elite Soccer: The Mediating Role of Self-Efficacy, Career Goals, and Athletic Identity. Front. Psychol. 2021, 12, 694868. [Google Scholar] [CrossRef] [PubMed]
- Barreira, D.; Garganta, J.; Castellano, J.; Machado, J.; Anguera, M.T. How elite-level soccer dynamics has evolved over the last three decades?: Input from generalizability theory. Cuad. Psicol. Deporte 2015, 15, 51–62. [Google Scholar] [CrossRef][Green Version]
- Carapinheira, A.; Mendes, P.; Guedes Carvalho, P.; Travassos, B. Sports Career termination in football players: Systematic review. Rev. Iberoam. Psicol. Ejerc. Deporte 2019, 14, 61–65. [Google Scholar]
- Knights, S.; Sherry, E.; Ruddock-Hudson, M.; O’Halloran, P. The End of a Professional Sport Career: Ensuring a Positive Transition. J. Sport Manag. 2019, 33, 518–529. [Google Scholar] [CrossRef]
- Lelbach, A.; Dörnyei, G.; Ihász, F.; Koller, A. Post-sports career healthy ageing: The Janus-faced, high-performance sport. Dev. Health Sciences 2020, 3, 9–15. [Google Scholar] [CrossRef]
- Carmody, S.; Anemaat, K.; Massey, A.; Kerkhoffs, G.; Gouttebarge, V. Health conditions among retired professional footballers: A scoping review. BMJ Open Sport Exerc. Med. 2022, 8, e001196. [Google Scholar] [CrossRef] [PubMed]
- Carmody, S.; Aoki, H.; Kilic, O.; Maas, M.; Massey, A.; Kerkhoffs, G.; Gouttebarge, V. Osteoarthritic changes in the knees of recently retired male professional footballers: A pilot study. S. Afr. J. Sports Med. 2022, 34, 1–7. [Google Scholar] [CrossRef] [PubMed]
- Zech, A.; Wellmann, K. Perceptions of football players regarding injury risk factors and prevention strategies. PLoS ONE 2017, 12, e0176829. [Google Scholar] [CrossRef] [PubMed]
- Carapinheira, A.; Mendes, P.; Guedes Carvalho, P.; Torregrossa, M.; Travassos, B. Career Termination of Portuguese Elite Football Players: Comparison between the Last Three Decades. Sports 2018, 6, 155. [Google Scholar] [CrossRef] [PubMed]
- Drawer, S.; Fuller, C.W. Perceptions of retired professional soccer players about the provision of support services before and after retirement. Br. J. Sports Med. 2002, 36, 33–38. [Google Scholar] [CrossRef] [PubMed]
- Drawer, S.; Fuller, C.W. Propensity for osteoarthritis and lower limb joint pain in retired professional soccer players. Br. J. Sports Med. 2001, 35, 402–408. [Google Scholar] [CrossRef] [PubMed]
- Stephan, Y.; Bilard, J.; Ninot, G.; Delignieres, D. Repercussions of Transition Out of Elite Sport on Subjective Well-Being: A One-Year Study. J. Appl. Sport Psychol. 2003, 15, 354–371. [Google Scholar] [CrossRef]
- Maseko, J.; Surujlal, J. Retirement planning among South African professional soccer players: A qualitative study of players’ perceptions: Job satisfaction sport. Afr. J. Phys. Health Educ. Recreat. Danc. 2011, 157–171. [Google Scholar]
- Selingardi, D.C. Término e Recomeço: Da Carreira atlética à Aposentadoria. Master’s Thesis, Psicologia Escolar e do Desenvolvimento Humano, Universidade de São Paulo, Sao Paulo, Brazil, 2013. Available online: http://www.teses.usp.br/teses/disponiveis/47/47131/tde-15082013-104847/ (accessed on 20 October 2023).
- Wylleman, P.; Alfermann, D.; Lavallee, D. Career transitions in sport: European perspectives. Psychol. Sport Exerc. 2004, 5, 7–20. [Google Scholar] [CrossRef]
- Martin, L.A.; Fogarty, G.J.; Albion, M.J. Changes in Athletic Identity and Life Satisfaction of Elite Athletes as a Function of Retirement Status. J. Appl. Sport Psychol. 2014, 26, 96–110. [Google Scholar] [CrossRef]
- Brandão, M.R.; Akel, M.C.; Andrade, A.; Guiselini, M.; Martini, L.; Nastás, M. Causas e conseqüências da transição de carreira esportiva: Uma revisão de literatura. Rev. Bras. Ciência Mov. 2000, 10, 49–58. [Google Scholar]
- Park, S.; Lavallee, D.; Tod, D. Athletes’ career transition out of sport: A systematic review. Int. Rev. Sport Exerc. Psychol. 2013, 6, 22–53. [Google Scholar] [CrossRef]
- Berger, B.G.; Eklund, R.C.; Weinberg, R.S. Foundations of Exercise Psychology; Fitness Information Technology, Inc., U.S.: Hackensack, NJ, USA, 2015. [Google Scholar]
- Raphael, D.; Brown, I.; Renwick, R.; Rootman, I. Assessing the quality of life of persons with developmental disabilities: Description of a new model, measuring instruments, and initial findings. Int. J. Disabil. Dev. Educ. 1996, 43, 25–42. [Google Scholar] [CrossRef]
- WHOQOL Group. Development of the WHOQOL: Rationale and Current Status. Int. J. Ment. Health 1994, 23, 24–56. [Google Scholar] [CrossRef]
- World Health Organization. Division of Mental Health and Prevention of Substance Abuse WHOQOL: Measuring Quality of Life; World Health Organization: Geneva, Switzerland, 1997; Available online: https://iris.who.int/handle/10665/63482 (accessed on 1 July 2024).
- Vaz Serra, A.; Canavarro, M.C.; Simões, M.; Pereira, M.; Gameiro, S.; Quartilho, M.J.; Rijo, D.; Carona, C.; Paredes, T. Estudos psicométricos do instrumento de avaliação da qualidade de vida da Organização Mundial de Saúde (WHOQOL-Bref) para Português de Portugal. Psiquiatr. Clínica 2006, 27, 41–49. [Google Scholar]
- Canavarro, M.; Serra, A.; Pereira, M.; Simões, M.; Quintais, l.; Quartilho, M.J.; Rijo, D.; Carona, C.; Gameiro, S.; Paredes, T. Desenvolvimento do Instrumento de Avaliação e Qualidade de Vida da Organização Mundial da Saúde (WHOQOL-100) para Português de Portugal. Psiquiatr. Clínica 2006, 27, 15–23. [Google Scholar]
- Canavarro, M.C.; Moreira, H.; Paredes, T. Qualidade de vida e saúde: Aplicações do WHOQOL. Alicerces 2010, 3, 243–268. [Google Scholar]
- Kluthcovsky, A.C.G.C.; Kluthcovsky, F.A. O WHOQOL-bref, um instrumento para avaliar qualidade de vida: Uma revisão sistemática. Rev. Psiquiatr. Rio Gd. Sul. 2009, 31. [Google Scholar] [CrossRef]
- Teixeira, E.; Silva, C.; Vicente, A. Development and validation of an interview guide for examining the effects of sports careers on the quality of life of retired Portuguese football players. Front. Psychol. 2024, 15, 1374784. [Google Scholar] [CrossRef] [PubMed]
- Soares, J. O Treino do Futebolista—Volume 2. Lesões. Nutrição; Porto Editora: Porto, Portugal, 2007. [Google Scholar]
- Ekstrand, J.; Hägglund, M.; Waldén, M. Epidemiology of Muscle Injuries in Professional Football (Soccer). Am. J. Sports Med. 2011, 39, 1226–1232. [Google Scholar] [CrossRef] [PubMed]
- Ekstrand, J.; Karlsson, J. The risk for injury in football. There is a need for consensus about definition of the injury and the design of studies. Scand. J. Med. Sci. Sports 2003, 13, 147–149. [Google Scholar] [CrossRef]
- Ho, R. Handbook of Univariate and Multivariate Data Analysis with IBM SPSS, 2nd ed.; Chapman and Hall/CRC: Boca Raton, FL, USA, 2014. [Google Scholar]
- Barth, M.; Schlesinger, T.; Pitsch, W. Is Professional Soccer a Risk for Their “Lives Afterwards”? A Social-Sciences-Based Examination of Retired Professional Soccer Players from a Long-Term Perspective. J. Risk Financ. Manag. 2022, 15, 609. [Google Scholar] [CrossRef]
- Fernandes, G.S.; Parekh, S.M.; Moses, J.; Fuller, C.W.; Scammell, B.; Batt, M.E.; Zhang, W.; Doherty, M. Depressive symptoms and the general health of retired professional footballers compared with the general population in the UK: A case–control study. BMJ Open 2019, 9, e030056. [Google Scholar] [CrossRef] [PubMed]
- Gouttebarge, V.; Frings-Dresen, M.H.W.; Sluiter, J.K. Mental and psychosocial health among current and former professional footballers. Occup. Med. 2015, 65, 190–196. [Google Scholar] [CrossRef]
- Gouttebarge, V.; Aoki, H.; Ekstrand, J.; Verhagen, E.A.; Kerkhoffs, G.M. Are severe musculoskeletal injuries associated with symptoms of common mental disorders among male European professional footballers? Knee Surg. Sports Traumatol. Arthrosc. Off. J. ESSKA 2016, 3934–3942. [Google Scholar] [CrossRef] [PubMed]
- Jones, A.; Jones, G.; Greig, N.; Bower, P.; Brown, J.; Hind, K.; Francis, P. Corrigendum to’ Epidemiology of injury in English professional football players: A cohort study’ [Physical Therapy in Sport 35C (2018)18–22]. Phys. Ther. Sport 2021, 50, 138. [Google Scholar] [CrossRef] [PubMed]
- Fleck, M. Problemas conceituais em qualidade de vida. In Avaliação da Qualidade de Vida: Guia Para Profissionais de Saúde; Artme: Porto Alegre, Brazil, 2008; pp. 19–28. [Google Scholar]
- Nosraty, L.; Deeg, D.; Raitanen, J.; Jylhä, M. Who live longer than their age peers: Individual predictors of longevity among older individuals. Aging Clin. Exp. Res. 2023, 35, 677–688. [Google Scholar] [CrossRef]
- Carapinheira, A.; Torregrossa, M.; Mendes, P.; Guedes Carvalho, P.; Travassos, B.F.R. A retrospective analysis of retirement of football players in Portugal. Motricidade 2018, 14, 74–85. [Google Scholar] [CrossRef]
- Taylor, J.; Ogilvie, B.C. A conceptual model of adaptation to retirement among athletes. J. Appl. Sport Psychol. 1994, 6, 1–20. [Google Scholar] [CrossRef]
- Gouttebarge, V.; Aoki, H.; Kerkhoffs, G. Lower extremity osteoarthritis is associated with lower health-related quality of life among retired professional footballers. Phys. Sportsmed. 2018, 46, 471–476. [Google Scholar] [CrossRef] [PubMed]
- van Ramele, S.; Aoki, H.; Kerkhoffs, G.M.M.J.; Gouttebarge, V. Mental health in retired professional football players: 12-month incidence, adverse life events and support. Psychol. Sport Exerc. 2017, 28, 85–90. [Google Scholar] [CrossRef]
- Van Yperen, N. Why Some Make It and Others Do Not: Identifying Psychological Factors That Predict Career Success in Professional Adult Soccer. Sport Psychol. 2009, 23, 317–329. [Google Scholar] [CrossRef]
- Moisao, A.; Brito-Costa, C.; Vicente Castro, C.; Amorim, S.A.H.; Fernandéz, M.I. Qualidade de vida em atletas de futebol. Rev. INFAD Psicología. Int. J. Dev. Educ. Psychol. 2016, 2, 401–412. [Google Scholar] [CrossRef]
- Śmigielski, W.; Gajda, R.; Małek, Ł.; Drygas, W. Goalkeepers Live Longer than Field Players: A Retrospective Cohort Analysis Based on World-Class Football Players. Int. J. Environ. Res. Public Health 2020, 17, 6297. [Google Scholar] [CrossRef] [PubMed]
- Moreira, L.; Malloy-Diniz, L.F.; Pinheiro, G.S.; Costa, V.T. Are there differences in the attention of elite football players concerning playing positions? Sci. Med. Footb. 2022, 6, 494–502. [Google Scholar] [CrossRef] [PubMed]
- Hatamleh, M.R. The life transitions of hig performance athletes retirement from sport. Eur. Sci. J. 2013, 9, 18. [Google Scholar]
- McKnight, K.; Bernes, K.; Gunn, T.; Chorney, D.; Orr, D.; Bardick, A. Life After Sport. Atletic Career Transition and Transferable Skills. J. Excell. 2009, 13, 63–77. [Google Scholar]
- Curran, C. Post-playing careers of Irish-born footballers in England, 1945–2010. Sport Soc. 2015, 18, 1273–1286. [Google Scholar] [CrossRef]
- Breslin, D.G.; Ferguson, M.K.; Shannon, D.S.; Haughey, M.T.; Connor, S. Player Transition Out of Football to Protect Wellbeing: A Dual Career Identity Study; Ulster University, School of Sport: Newtownabbey, UK, 2019; p. 47. [Google Scholar]
- Ehnold, P.; Gohritz, A.; Lotzen, L.; Schlesinger, T. Soccer above all? Analysis of academic and vocational education among female soccer players in the German women’s Bundesliga and 2nd women’s Bundesliga. Front. Sports Act. Living 2024, 6, 1294803. [Google Scholar] [CrossRef]
- Vilanova, A.; Puig, N. Estrategias de entrada al mercado de trabajo de los atletas olímpicos. Una tipología. Rev. Int. Sociol. 2017, 75, e063. [Google Scholar] [CrossRef]
- Smismans, S.; Wylleman, P.; De Brandt, K.; Defruyt, D. From elite sport to the job market: Development and initial validation of the Athlete Competency Questionnaire for Employability (ACQE) (Del deporte de élite al mercado laboral: Desarrollo y validación inicial del Cuestionario de Competencias de Deportistas para la Empleabilidad (ACQE)). Cult. Cienc. Deporte CCD 2021, 16, 1694. [Google Scholar] [CrossRef]
- Turner, D. Qualitative Interview Design: A Practical Guide for Novice Investigators. Qual. Rep. 2010, 15, 754–760. [Google Scholar] [CrossRef]
- Charmaz, K. Experiencing chronic illness. In Handbook of Social Studies in Health and Medicine; Albrecht, G.L., Fitzpatrick, R., Scrimshaw, S.C., Eds.; Sage: London, UK, 2003. [Google Scholar]
- Melekoğlu, T.; Sezgin, E.; Işın, A.; Türk, A. The Effects of a Physically Active Lifestyle on the Health of Former Professional Football Players. Sports 2019, 7, 75. [Google Scholar] [CrossRef] [PubMed]
- Roderick, M. An Unpaid Labor of Love: Professional Footballers, Family Life, and the Problem of Job Relocation. J. Sport Soc. Issues 2012, 36, 317–338. [Google Scholar] [CrossRef]
- Pfirrmann, D.; Herbst, M.; Ingelfinger, P.; Simon, P.; Tug, S. Analysis of Injury Incidences in Male Professional Adult and Elite Youth Soccer Players: A Systematic Review. J. Athl. Train. 2016, 51, 410–424. [Google Scholar] [CrossRef] [PubMed]
- Benson, S.G.; Dundis, S.P. Understanding and motivating health care employees: Integrating Maslow’s hierarchy of needs, training and technology. J. Nurs. Manag. 2003, 11, 315–320. [Google Scholar] [CrossRef] [PubMed]
- Luo, J.; Liu, X.-B.; Yao, Q.; Qu, Y.; Yang, J.; Lin, K.; Pan, S.R.; Wang, T.; Dai, Y.; Chen, H. The relationship between social support and professional identity of health professional students from a two-way social support theory perspective: Chain mediating effects of achievement motivation and meaning in life. BMC Med. Educ. 2024, 24, 473. [Google Scholar] [CrossRef] [PubMed]
- Arliani, G.G.; Lara, P.S.; Astur, D.C.; Cohen, M.; Gonçalves, J.P.P.; Ferretti, M. Impact of sports on health of former professional soccer players in Brazil. Acta Ortop. Bras. 2014, 22, 188–190. [Google Scholar] [CrossRef] [PubMed][Green Version]


| Regions (Nuts II) | N | % |
|---|---|---|
| North | 15 | 17.9 |
| Center | 25 | 29.8 |
| Lisbon and Vale do Tejo | 27 | 32.1 |
| Alentejo | 6 | 7.1 |
| Algarve | 3 | 3.6 |
| Madeira e Açores | 6 | 7.1 |
| Out from Portugal | 2 | 2.4 |
| Total | 84 | 100.0 |
| Domains | Facets | |
|---|---|---|
| WHOQOL-BREF | General Quality of Live | |
| Physical | Pain and Discomfort Energy and Fatigue Sleep and Rest Mobility Activities of Daily Living Dependence on Medication or Treatments Work Capacity | |
| Psychological | Positive feelings Thoughts, feelings, memory and concentration Self-esteem Body image and appearance Negative feelings Spirituality/Religion/Beliefs | |
| Social relationships | Personal relationships Social support Sexual activity | |
| Environment | Physical security Home environment Economic Resources Health and social care Opportunities to acquire new information and skills Participation or opportunities for recreation and leisure Physical environment (pollution/noise/traffic/climate) Transport |
| WDG = Sum.2 (Q1, Q2) |
| WD1 = Sum.7 (Q3, Q4, Q10, Q15, Q16, Q17, Q18) |
| WD2 = Sum.6 (Q5, Q6, Q7, Q11, Q19, Q26) |
| WD3 = Sum.3 (Q20, Q21, Q22) |
| WD4 = Sum.8 (Q8, Q9, Q12, Q13, Q14, Q23, Q24, Q25) |
| MDG = 4 × (Mean(Q1, Q2)) |
| MD1 = 4 × (Mean(Q3, Q4, Q10, Q15, Q16, Q17, Q18)) |
| MD2 = 4 × (Mean(Q5, Q6, Q7, Q11, Q19, Q26)) |
| MD3 = 4 × (Mean(Q8, Q9, Q12, Q13, Q14, Q23, Q24, Q25)) |
| TWDG = ((WDG–2)/8) × 100 |
| TWD1 = ((WD17)/28) × 100 |
| TWD2 = ((WD2–6)/24) × 100 |
| TWD3 = ((WD3–3)/12) × 100 |
| TWD4 = ((WD4–8)/32) × 100 |
| N | Minimum | Maximum | Mean | Std Deviation | |
|---|---|---|---|---|---|
| General QoL | 84 | 25.00 | 100.00 | 78.7202 | 15.73737 |
| Physical Domain | 84 | 50.00 | 100.00 | 81.1650 | 13.13516 |
| Psychological Domain | 84 | 37.50 | 100.00 | 82.0933 | 12.85115 |
| Social Relationship Domain | 84 | 50.00 | 100.00 | 81.5476 | 12.67920 |
| Environment Domain | 84 | 50.00 | 100.00 | 79.3899 | 12.37816 |
| Career Duration | General QoL | Physical Domain | Psychological Domain | Social Relationships Domain | Environmental Domain | ||
|---|---|---|---|---|---|---|---|
| Career duration | Pearson correlation | 1 | −0.105 | −0.080 | −0.136 | −0.076 | 0.009 |
| Sig. (2 ext.) | 0.342 | 0.469 | 0.218 | 0.491 | 0.937 | ||
| N | 84 | 84 | 84 | 84 | 84 | 84 | |
| Career End Period | N | Mean | Std Deviation | |
|---|---|---|---|---|
| General QoL | 1988–2005 | 33 | 79.1667 | 13.13492 |
| 2006–2018 | 51 | 78.4314 | 17.33465 |
| t | df | Sig | |
|---|---|---|---|
| General QoL (TWDG) | 0.208 | 82 | 0.836 |
| Physical Domain (TWD1) | 0.486 | 82 | 0.628 |
| Psychological Domain (TWD2) | 1.823 | 82 | 0.072 |
| Social Relationship Domain (TWD3) | 1.039 | 82 | 0.302 |
| Environment Domain (TWD4) | 0.711 | 82 | 0.479 |
| N | Mean | Std. Deviation | Std. Error Mean | ||
|---|---|---|---|---|---|
| General QoL | 1st division | 43 | 81.1047 | 12.00573 | 1.83086 |
| 2nd division | 41 | 76.2195 | 18.70931 | 2.92190 | |
| Physical Domain | 1st division | 43 | 82.3920 | 13.05022 | 1.99014 |
| 2nd division | 41 | 79.8780 | 13.26140 | 2.07108 | |
| Psychological Domain | 1st division | 43 | 84.0116 | 12.98434 | 1.98009 |
| 2nd division | 41 | 80.0813 | 12.55240 | 1.96036 | |
| Social Relations Domain | 1st division | 43 | 83.5271 | 12.26477 | 1.87036 |
| 2nd division | 41 | 79.4715 | 12.92306 | 2.01824 | |
| Environment Domain | 1st division | 43 | 81.7587 | 13.06268 | 1.99204 |
| 2nd division | 41 | 76.9055 | 11.24301 | 1.75586 |
| t | df | Sig | |
|---|---|---|---|
| General QoL | 1.431 | 82 | 0.156 |
| Physical Domain | 0.876 | 82 | 0.384 |
| Psychological Domain | 1.409 | 82 | 0.162 |
| Social Relationship Domain | 1.476 | 82 | 0.144 |
| Environment Domain | 1.821 | 82 | 0.072 |
| Sum of Squares | df | Mean Square | F | Sig. | ||
|---|---|---|---|---|---|---|
| General QoL | Between Groups | 943.411 | 3 | 314.470 | 1.283 | 0.286 |
| Within Groups | 19,612.765 | 80 | 245.160 | |||
| Total | 20,556.176 | 83 | ||||
| Physical Domain | Between Groups | 690.446 | 3 | 230.149 | 1.351 | 0.264 |
| Within Groups | 13,629.738 | 80 | 170.372 | |||
| Total | 14,320.183 | 83 | ||||
| Psychological Domain | Between Groups | 245.660 | 3 | 81.887 | 0.487 | 0.693 |
| Within Groups | 13,461.971 | 80 | 168.275 | |||
| Total | 13,707.631 | 83 | ||||
| Social Relationships Domain | Between Groups | 789.609 | 3 | 263.203 | 1.677 | 0.178 |
| Within Groups | 12,553.645 | 80 | 156.921 | |||
| Total | 13,343.254 | 83 | ||||
| Environment Domain | Between Groups | 284.464 | 3 | 94.821 | 0.610 | 0.610 |
| Within Groups | 12,432.705 | 80 | 155.409 | |||
| Total | 12,717.169 | 83 | ||||
| t | df | Sig | |
|---|---|---|---|
| General QoL | −1.277 | 82 | 0.205 |
| Physical Domain | −0.472 | 82 | 0.638 |
| Psychological Domain | −0.928 | 82 | 0.356 |
| Social Relationship Domain | −1.263 | 82 | 0.210 |
| Environment Domain | −1.392 | 82 | 0.168 |
| Academic Qualification | ||||||
|---|---|---|---|---|---|---|
| Third Cycle or Lower | High School | University Education | ||||
| Median | IQR | Median | IQR | Median | IQR | |
| General QoL | 75.0000 | 12.50 | 75.0000 | 12.50 | 87.5000 | 25.00 |
| Physical Domain | 75.0000 | 14.29 | 85.7143 | 26.79 | 92.8571 | 17.86 |
| Psychological Domain | 83.3333 | 12.50 | 87.5000 | 22.92 | 83.3333 | 12.50 |
| Social Relationship Domain | 75.0000 | 16.67 | 83.3333 | 20.83 | 83.3333 | 22.92 |
| Environment Domain | 78.1250 | 18.75 | 81.2500 | 23.44 | 79.6875 | 15.63 |
| General QoL | Physical Domain | Psychological Domain | Social Relationships Domain | Environmental Domain | |
|---|---|---|---|---|---|
| N Academic Qual. Levels | 3 | 3 | 3 | 3 | 3 |
| N | 84 | 84 | 84 | 84 | 84 |
| J-T Observed Statistics | 1432.000 | 1588.500 | 1288.000 | 1357.500 | 1237.000 |
| J-T Statistics Average | 1169.500 | 1169.500 | 1169.500 | 1169.500 | 1169.500 |
| J-T Statistics Dev test stat | 115.360 | 121.035 | 120.810 | 118.551 | 120.992 |
| Test Statistics J-T Stat | 2.275 | 3.462 | 0.981 | 1.586 | 0.558 |
| Significance Sig. (2 ext.) | 0.023 | <0.001 | 0.327 | 0.113 | 0.577 |
| Sample 1-Sample 2 | Test Statistics | Standard Error | Standard Test Statistics | Sig. | Adj. Sig. |
|---|---|---|---|---|---|
| Third cycle or lower—High school | 538.000 | 63.205 | 1.400 | 0.081 | 0.242 |
| Third cycle or lower—University education | 492.000 | 56.400 | 2.128 | 0.017 | 0.050 |
| High school—University education | 402.000 | 53.324 | 1.013 | 0.156 | 0.467 |
| Sample 1-Sample 2 | Test Statistics | Standard Error | Standard Test Statistics | Sig. | Adj. Sig. |
|---|---|---|---|---|---|
| Third cycle or lower—High school | 595.500 | 67.317 | 2.169 | 0.015 | 0.045 |
| Third cycle or lower—University education | 569.500 | 58.615 | 3.369 | <0.001 | 0.001 |
| High school—University education | 423.500 | 55.660 | 1.356 | 0.087 | 0.262 |
| N | % | ||
|---|---|---|---|
| Injuries | Ankle | 13 | 8.1% |
| Leg | 7 | 4.4% | |
| Knee | 86 | 53.8% | |
| Thigh | 9 | 5.6% | |
| Hip/groin | 10 | 6.3% | |
| Back | 5 | 3.1% | |
| Head/face/nose | 7 | 4.4% | |
| Others | 23 | 14.4% | |
| Total | 160 | 100.0% | |
| General QoL | Physical Domain | Psychological Domain | Social Relationships Domain | Environmental Domain | Serious Injuries | ||
|---|---|---|---|---|---|---|---|
| N | 84 | 84 | 84 | 84 | 84 | 84 | |
| Serious Injuries | Pearson Corr | −0.109 | −0.300 ** | −0.148 | −0.177 | −0.115 | 1 |
| Sig. (two-tailed) | 0.323 | 0.006 | 0.178 | 0.107 | 0.296 | ||
| N | 84 | 84 | 84 | 84 | 84 | 84 | |
| t | df | Sig | |
|---|---|---|---|
| General QoL | −1.033 | 82 | 0.304 |
| Physical Domain | −1.466 | 82 | 0.147 |
| Psychological Domain | −0.881 | 82 | 0.381 |
| Social Relationship Domain | −0.869 | 82 | 0.387 |
| Environment Domain | −1.851 | 82 | 0.068 |
Disclaimer/Publisher’s Note: The statements, opinions and data contained in all publications are solely those of the individual author(s) and contributor(s) and not of MDPI and/or the editor(s). MDPI and/or the editor(s) disclaim responsibility for any injury to people or property resulting from any ideas, methods, instructions or products referred to in the content. |
© 2024 by the authors. Licensee MDPI, Basel, Switzerland. This article is an open access article distributed under the terms and conditions of the Creative Commons Attribution (CC BY) license (https://creativecommons.org/licenses/by/4.0/).
Share and Cite
Teixeira, E.; Silva, C.; Romero, F.; Costa, J.P.; Vicente, A. The Quality of Life of Former Portuguese Football Players. Sports 2024, 12, 200. https://doi.org/10.3390/sports12080200
Teixeira E, Silva C, Romero F, Costa JP, Vicente A. The Quality of Life of Former Portuguese Football Players. Sports. 2024; 12(8):200. https://doi.org/10.3390/sports12080200
Chicago/Turabian StyleTeixeira, Eduardo, Carlos Silva, Félix Romero, João Paulo Costa, and António Vicente. 2024. "The Quality of Life of Former Portuguese Football Players" Sports 12, no. 8: 200. https://doi.org/10.3390/sports12080200
APA StyleTeixeira, E., Silva, C., Romero, F., Costa, J. P., & Vicente, A. (2024). The Quality of Life of Former Portuguese Football Players. Sports, 12(8), 200. https://doi.org/10.3390/sports12080200

