Acute and Long-Term Effects of Stretching with Whole-Body Vibration on Young’s Modulus of the Soleus Muscle Measured Using Shear Wave Elastography
Abstract
1. Introduction
2. Materials and Methods
2.1. Participants
2.2. SOL Muscle Stretching with WBV Protocol
2.3. Measurement of Young’s Modulus of SOL Muscle and AT
2.4. Measurement of Ankle Dorsiflexion ROM
2.5. Statistical Analysis
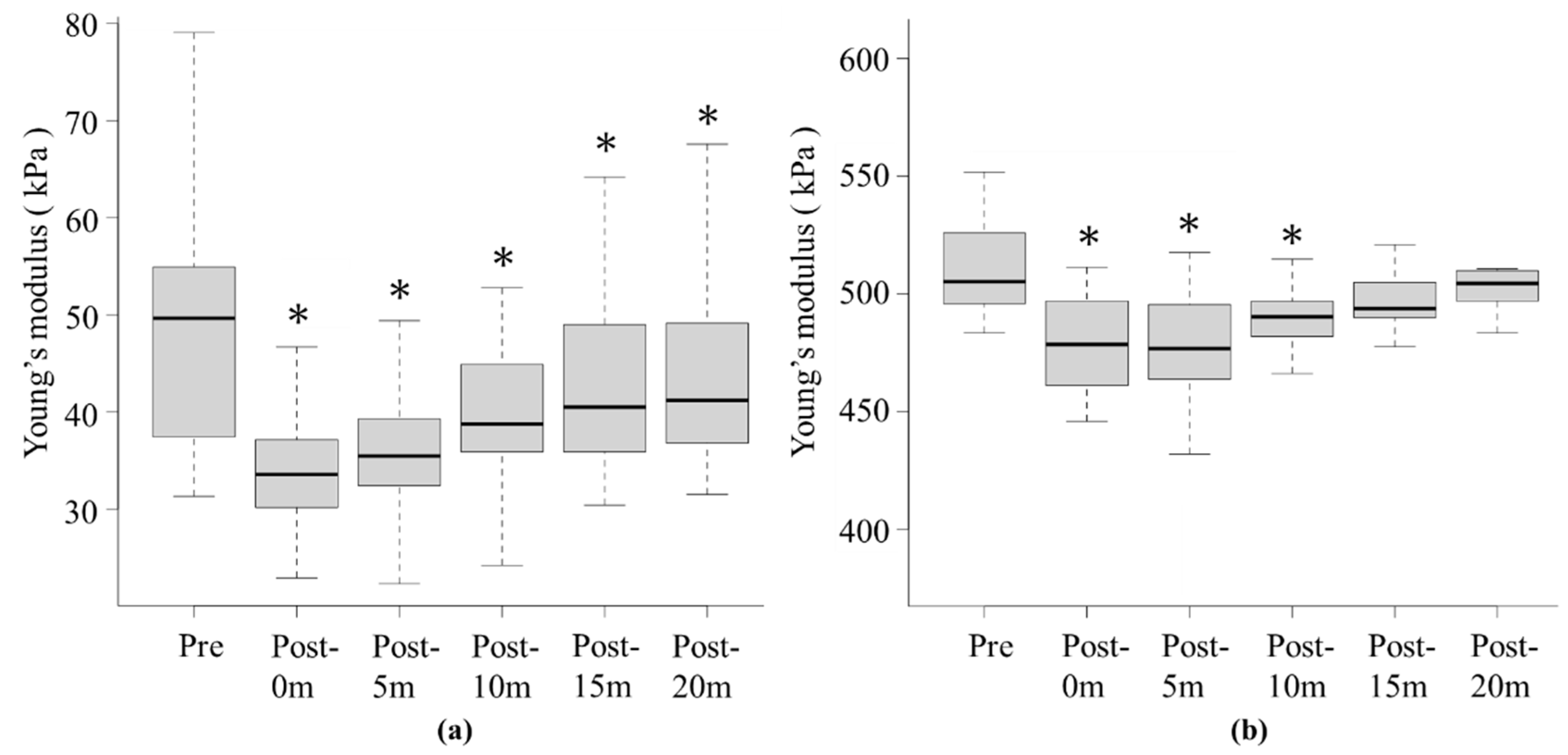
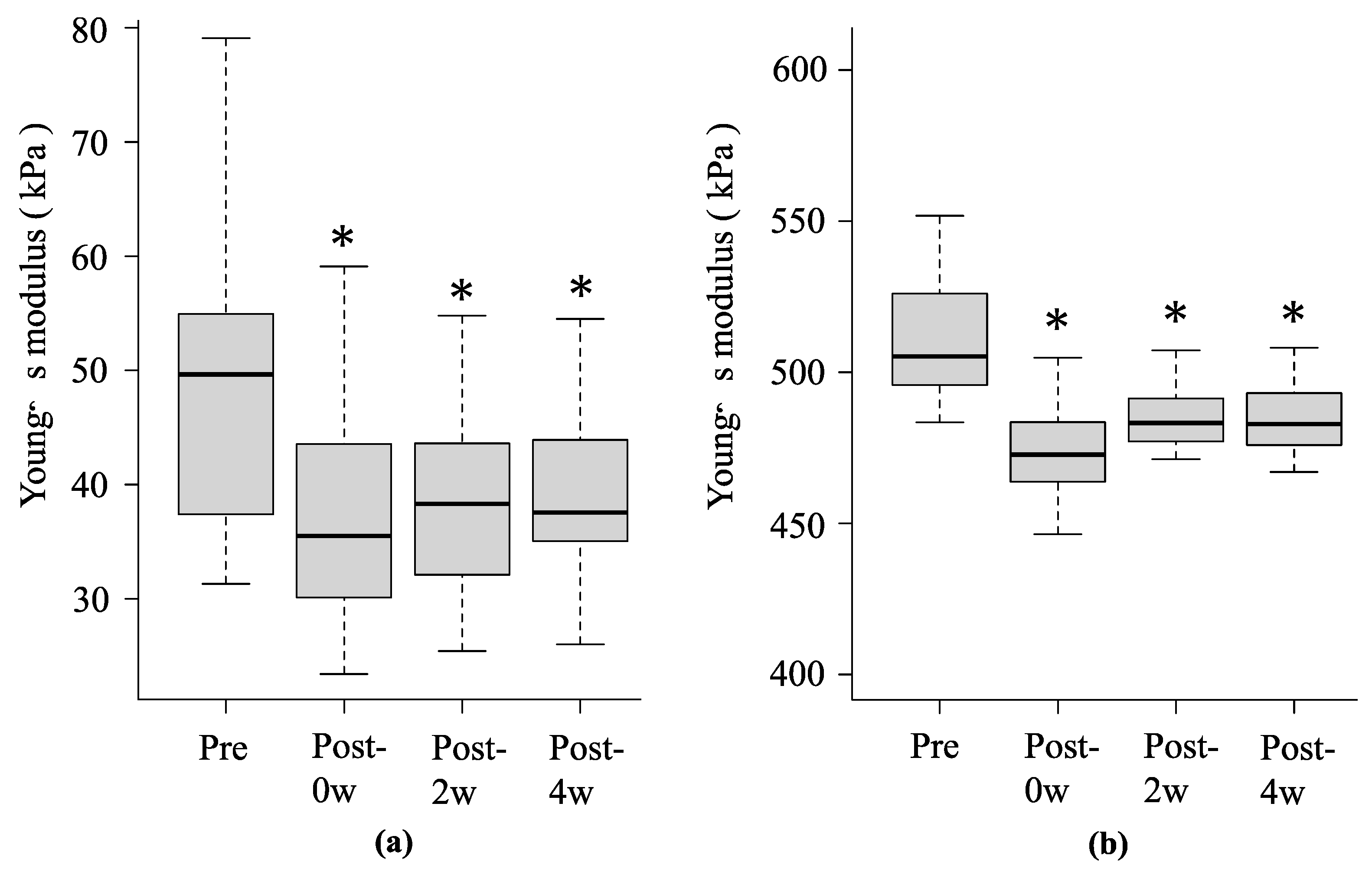
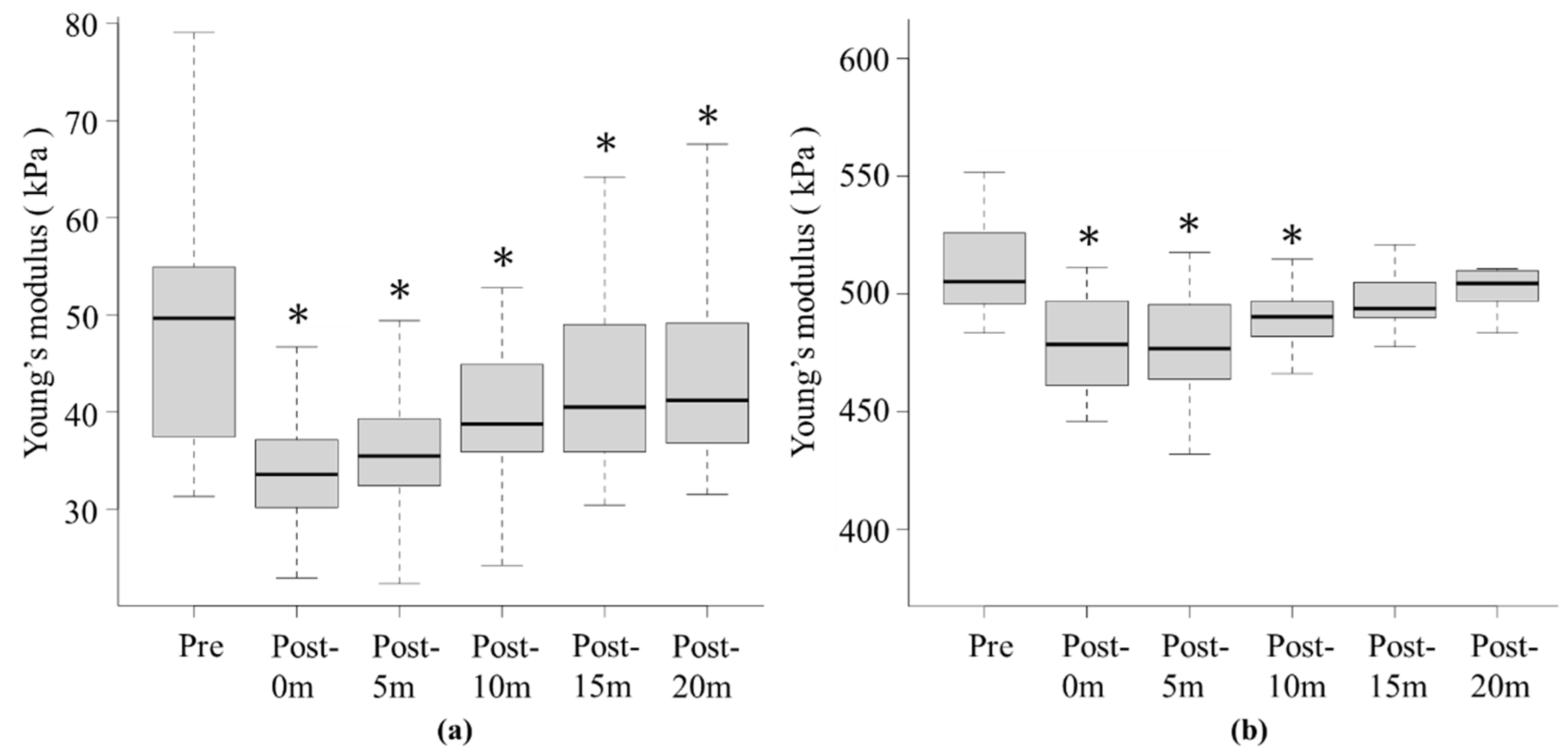
3. Results
3.1. Participants’ Characteristics
3.2. Changes in Young’s Moduli of the SOL Muscle and AT
3.3. Changes in Ankle Dorsiflexion ROM
4. Discussion
5. Conclusions
Author Contributions
Funding
Institutional Review Board Statement
Informed Consent Statement
Data Availability Statement
Conflicts of Interest
References
- Bojsen-Møller, J.; Schwartz, S.; Kalliokoski, K.K.; Finni, T.; Magnusson, S.P. Intermuscular Force Transmission Between Human Plantarflexor Muscles In Vivo. J. Appl. Physiol. 2010, 109, 1608–1618. [Google Scholar] [CrossRef] [PubMed]
- Albracht, K.; Arampatzis, A.; Baltzopoulos, V. Assessment of Muscle Volume and Physiological Cross-Sectional Area of the Human Triceps Surae Muscle In Vivo. J. Biomech. 2008, 41, 2211–2218. [Google Scholar] [CrossRef] [PubMed]
- Balius, R.; Alomar, X.; Rodas, G.; Miguel-Pérez, M.; Pedret, C.; Dobado, M.C.; Blasi, J.; Koulouris, G. The Soleus Muscle: MRI, Anatomic and Histologic Findings in Cadavers with Clinical Correlation of Strain Injury Distribution. Skeletal Radiol. 2013, 42, 521–530. [Google Scholar] [CrossRef] [PubMed]
- Balius, R.; Rodas, G.; Pedret, C.; Capdevila, L.; AlOmar, X.; Bong, D.A. Soleus Muscle Injury: Sensitivity of Ultrasound Patterns. Skeletal Radiol. 2014, 43, 805–812. [Google Scholar] [CrossRef] [PubMed]
- Akiyama, K.; Akagi, R.; Hirayama, K.; Hirose, N.; Takahashi, H.; Fukubayshi, T. Shear Modulus of the Lower Leg Muscles in Patients with Medial Tibial Stress Syndrome. Ultrasound Med. Biol. 2016, 42, 1779–1783. [Google Scholar] [CrossRef] [PubMed]
- Edama, M.; Takabayashi, T.; Inai, T.; Kikumoto, T.; Ito, W.; Nakamura, E.; Hirabayashi, R.; Ikezu, M.; Kaneko, F.; Kageyama, I. Differences in the Strain Applied to Achilles Tendon Fibers When the Subtalar Joint Is Overpronated: A Simulation Study. Surg. Radiol. Anat. 2019, 41, 595–599. [Google Scholar] [CrossRef] [PubMed]
- Roelants, M.; Delecluse, C.; Goris, M.; Verschueren, S. Effects of 24 Weeks of Whole Body Vibration Training on Body Composition and Muscle Strength in Untrained Females. Int. J. Sports Med. 2004, 25, 1–5. [Google Scholar] [CrossRef]
- Cardinale, M.; Wakeling, J. Whole Body Vibration Exercise: Are Vibrations Good for You? Br. J. Sports Med. 2005, 39, 585–589. [Google Scholar] [CrossRef] [PubMed]
- Feland, J.B.; Hawks, M.; Hopkins, J.T.; Hunter, I.; Johnson, A.W.; Eggett, D.L. Whole Body Vibration as an Adjunct to Static Stretching. Int. J. Sports Med. 2010, 31, 584–589. [Google Scholar] [CrossRef]
- Stone, M.; Ramsey, M.W.; Kinser, A.M.; O’Bryant, H.S.; Ayers, C.; Sands, W.A. Stretching: Acute and Chronic? The Potential Consequences. Strength Cond. J. 2006, 28, 66. [Google Scholar] [CrossRef][Green Version]
- Cochrane, D.J.; Stannard, S.R.; Sargeant, A.J.; Rittweger, J. The Rate of Muscle Temperature Increase During Acute Whole-Body Vibration Exercise. Eur. J. Appl. Physiol. 2008, 103, 441–448. [Google Scholar] [CrossRef] [PubMed]
- Manzi, V.; Iellamo, F.; Alashram, A.R.; D’onofrio, R.; Padua, E.; Casasco, M.; Annino, G. Effects of Three Different Stretching Protocols on Hamstring Muscle Flexibility in Professional Soccer Players: A Randomized Study. J. Sports Med. Phys. Fitness 2020, 60, 999–1004. [Google Scholar] [CrossRef] [PubMed]
- Feland, J.B.; Lesley, T.; Hunter, I.; Cochrane, D.J.; Hopkins, J.T. Whole-Body Vibration and Stretching Enhances Dorsiflexion Range of Motion in Individuals with Chronic Ankle Instability. Phys. Ther. Sport. 2020, 44, 1–7. [Google Scholar] [CrossRef] [PubMed]
- Yoshida, K.; Itoigawa, Y.; Maruyama, Y.; Saita, Y.; Takazawa, Y.; Ikeda, H.; Kaneko, K.; Sakai, T.; Okuwaki, T. Application of Shear Wave Elastography for the Gastrocnemius Medial Head to Tennis Leg. Clin. Anat. 2017, 30, 114–119. [Google Scholar] [CrossRef] [PubMed]
- Miyasaka, H.; Ebihara, B.; Fukaya, T.; Mutsuzaki, H. Absolute Reliability of Young’s Modulus of the Soleus Muscle and Achilles Tendon Measured Using Shear Wave Elastography in Healthy Young Males. Asia Pac. J. Sports Med. Arthrosc. Rehabil. Technol. 2024, 37, 1–7. [Google Scholar] [CrossRef] [PubMed]
- Zhou, J.P.; Liu, C.L.; Zhang, Z.J. Non-uniform Stiffness Within Gastrocnemius-Achilles Tendon Complex Observed After Static Stretching. J. Sports Sci. Med. 2019, 18, 454–461. [Google Scholar] [PubMed]
- Hirata, K.; Kanehisa, H.; Miyamoto, N. Acute Effect of Static Stretching on Passive Stiffness of the Human Gastrocnemius Fascicle Measured by Ultrasound Shear Wave Elastography. Eur. J. Appl. Physiol. 2017, 117, 493–499. [Google Scholar] [CrossRef] [PubMed]
- Nakamura, M.; Ikezoe, T.; Tokugawa, T.; Ichihashi, N. Acute Effects of Stretching on Passive Properties of Human Gastrocnemius Muscle-Tendon Unit: Analysis of Differences Between Hold-Relax and Static Stretching. J. Sport Rehabil. 2015, 24, 286–292. [Google Scholar] [CrossRef] [PubMed]
- Hirata, K.; Miyamoto-Mikami, E.; Kanehisa, H.; Miyamoto, N. Muscle-Specific Acute Changes in Passive Stiffness of Human Triceps Surae After Stretching. Eur. J. Appl. Physiol. 2016, 116, 911–918. [Google Scholar] [CrossRef]
- McKay, A.K.A.; Stellingwerff, T.; Smith, E.S.; Martin, D.T.; Mujika, I.; Goosey-Tolfrey, V.L.; Sheppard, J.; Burke, L.M. Defining Training and Performance Caliber: A Participant Classification Framework. Int. J. Sports Physiol. Perform. 2022, 17, 317–331. [Google Scholar] [CrossRef]
- Dallas, G.; Smirniotou, A.; Tsiganos, G.; Tsopani, D.; Di Cagno, A.; Tsolakis, C. Acute Effect of Different Stretching Methods on Flexibility and Jumping Performance in Competitive Artistic Gymnasts. J. Sports Med. Phys. Fitness 2014, 54, 683–690. [Google Scholar] [PubMed]
- Sands, W.A.; McNeal, J.R.; Stone, M.H.; Russell, E.M.; Jemni, M. Flexibility Enhancement with Vibration: Acute and Long-Term. Med. Sci. Sports Exerc. 2006, 38, 720–725. [Google Scholar] [CrossRef] [PubMed]
- Kinser, A.M.; Ramsey, M.W.; O’Bryant, H.S.; Ayres, C.A.; Sands, W.A.; Stone, M.H. Vibration and Stretching Effects on Flexibility and Explosive Strength in Young Gymnasts. Med. Sci. Sports Exerc. 2008, 40, 133–140. [Google Scholar] [CrossRef]
- Nakamura, M.; Sato, S.; Murakami, Y.; Kiyono, R.; Yahata, K.; Sanuki, F.; Yoshida, R.; Fukaya, T.; Takeuchi, K. The Comparison of Different Stretching Intensities on the Range of Motion and Muscle Stiffness of the Quadriceps Muscles. Front. Physiol. 2020, 11, 628870. [Google Scholar] [CrossRef] [PubMed]
- Marín, P.J.; Bunker, D.; Rhea, M.R.; Ayllón, F.N. Neuromuscular Activity During Whole-Body Vibration of Different Amplitudes and Footwear Conditions: Implications for Prescription of Vibratory Stimulation. J. Strength Cond. Res. 2009, 23, 2311–2316. [Google Scholar] [CrossRef]
- Bercoff, J.; Tanter, M.; Fink, M. Supersonic Shear Imaging: A New Technique for Soft Tissue Elasticity Mapping. IEEE Trans. Ultrason. Ferroelectr. Freq. Control. 2004, 51, 396–409. [Google Scholar] [CrossRef] [PubMed]
- Kot, B.C.W.; Zhang, Z.J.; Lee, A.W.C.; Leung, V.Y.F.; Fu, S.N. Elastic Modulus of Muscle and Tendon with Shear Wave Ultrasound Elastography: Variations with Different Technical Settings. PLoS ONE 2012, 7, e44348. [Google Scholar] [CrossRef]
- Miyasaka, H.; Ebihara, B.; Fukaya, T.; Mutsuzaki, H. Relationship Between the Young’s Modulus of the Achilles Tendon and Ankle Dorsiflexion Angle at Maximum Squat Depth in Healthy Young Males. Medicina 2023, 59, 1105. [Google Scholar] [CrossRef]
- Winters, M. The Diagnosis and Management of Medial Tibial Stress Syndrome: An Evidence Update-German Version. Unfallfchirurg 2019, 122, 848–853. [Google Scholar] [CrossRef]
- Campbell, P.; Lawton, J.O. Spontaneous Rupture of the Achilles Tendon: Pathology and Management. Br. J. Hosp. Med. 1993, 50, 321–325. [Google Scholar]
- Cohen, J. Statistical Power Analysis for the Behavioral Sciences, 2nd ed.; Lawrence Erlbaum: Hillsdale, NJ, USA, 1988. [Google Scholar]
- Faul, F.; Erdfelder, E.; Buchner, A.; Lang, A.G. Statistical Power Analyses Using G*Power 3.1: Tests for Correlation and Regression Analyses. Behav. Res. Methods 2009, 41, 1149–1160. [Google Scholar] [CrossRef] [PubMed]
- Mahieu, N.N.; McNair, P.; De Muynck, M.; Stevens, V.; Blanckaert, I.; Smits, N.; Witvrouw, E. Effect of Static and Ballistic Stretching on the Muscle-Tendon Tissue Properties. Med. Sci. Sports Exerc. 2007, 39, 494–501. [Google Scholar] [CrossRef] [PubMed]
- Weppler, C.H.; Magnusson, S.P. Increasing Muscle Extensibility: A Matter of Increasing Length or Modifying Sensation? Phys. Ther. 2010, 90, 438–449. [Google Scholar] [CrossRef] [PubMed]
- Magnusson, S.P.; Simonsen, E.B.; Aagaard, P.; Boesen, J.; Johannsen, F.; Kjaer, M. Determinants of Musculoskeletal Flexibility: Viscoelastic Properties, Cross-Sectional Area, EMG and Stretch Tolerance. Scand. J. Med. Sci. Sports. 1997, 7, 195–202. [Google Scholar] [CrossRef]
- Kerschan-Schindl, K.; Grampp, S.; Henk, C.; Resch, H.; Preisinger, E.; Fialka-Moser, V.; Imhof, H. Whole-Body Vibration Exercise Leads to Alterations in Muscle Blood Volume. Clin. Physiol. 2001, 21, 377–382. [Google Scholar] [CrossRef] [PubMed]
- Park, Y.G.; Kwon, B.S.; Park, J.W.; Cha, D.Y.; Nam, K.Y.; Sim, K.B.; Chang, J.; Lee, H.J. Therapeutic Effect of Whole Body Vibration on Chronic Knee Osteoarthritis. Ann. Rehabil. Med. 2013, 37, 505–515. [Google Scholar] [CrossRef] [PubMed]
- Cochrane, D.J.; Stannard, S.R. Acute Whole Body Vibration Training Increases Vertical Jump and Flexibility Performance in Elite Female Field Hockey Players. Br. J. Sports Med. 2005, 39, 860–865. [Google Scholar] [CrossRef] [PubMed]
- Aksoy, D. Effects of 10-Week Whole Body Vibration Training on Strength, Flexibility and Agility in Taekwondo Athletes. J. Educ. Learn. 2019, 8, 213–222. [Google Scholar] [CrossRef]
- Fagnani, F.; Giombini, A.; Di Cesare, A.; Pigozzi, F.; Di Salvo, V. The Effects of a Whole-Body Vibration Program on Muscle Performance and Flexibility in Female Athletes. Am. J. Phys. Med. Rehabil. 2006, 85, 956–962. [Google Scholar] [CrossRef]
- Dastmenash, S.; van den Tillaar, R.; Jacobs, P.; Shafiee, G.H.; Shojaedin, S.S. The Effect of Whole Body Vibration, PNF Training or a Combination of Both on Hamstrings Range of Motion. World Appl. Sci. J. 2010, 11, 744–751. [Google Scholar]
- Jacobs, P.L.; Burns, P. Acute Enhancement of Lower-Extremity Dynamic Strength and Flexibility with Whole-Body Vibration. J. Strength Cond. Res. 2009, 23, 51–57. [Google Scholar] [CrossRef] [PubMed]
- Tsuji, T.; Kitano, N.; Tsunoda, K.; Himori, E.; Okura, T.; Tanaka, K. Short-Term Effects of Whole-Body Vibration on Functional Mobility and Flexibility in Healthy, Older Adults: A Randomized Crossover Study. J. Geriatr. Phys. Ther. 2014, 37, 58–64. [Google Scholar] [CrossRef] [PubMed]
- Dallas, G.; Paradisis, G.; Kirialanis, P.; Mellos, V.; Argitaki, P.; Smirniotou, A. The Acute Effects of Different Training Loads of Whole Body Vibration on Flexibility and Explosive Strength of Lower Limbs in Divers. Biol. Sport. 2015, 32, 235–241. [Google Scholar] [CrossRef] [PubMed]
- Marshall, L.C.; Wyon, M.A. The Effect of Whole-Body Vibration on Jump Height and Active Range of Movement in Female Dancers. J. Strength Cond. Res. 2012, 26, 789–793. [Google Scholar] [CrossRef] [PubMed]
- Sands, W.A.; McNeal, J.R.; Stone, M.H.; Kimmel, W.L.; Gregory Haff, G.; Jemni, M. The Effect of Vibration on Active and Passive Range of Motion in Elite Female Synchronized Swimmers. Eur. J. Sport Sci. 2008, 8, 217–223. [Google Scholar] [CrossRef]
- Mizuno, T.; Matsumoto, M.; Umemura, Y. Viscoelasticity of the Muscle-Tendon Unit Is Returned More Rapidly than Range of Motion After Stretching. Scand. J. Med. Sci. Sports. 2013, 23, 23–30. [Google Scholar] [CrossRef]
- Konrad, A.; Reiner, M.M.; Thaller, S.; Tilp, M. The Time Course of Muscle-Tendon Properties and Function Responses of a Five-Minute Static Stretching Exercise. Eur. J. Sport Sci. 2019, 19, 1195–1203. [Google Scholar] [CrossRef] [PubMed]
- Rothmuller, C.; Cafarelli, E. Effect of Vibration on Antagonist Muscle coactivation During Progressive Fatigue in Humans. J. Physiol. 1995, 485, 857–864. [Google Scholar] [CrossRef] [PubMed]
- Gajdosik, R.L.; Vander Linden, D.W.; McNair, P.J.; Williams, A.K.; Riggin, T.J. Effects of an Eight-Week Stretching Program on the Passive-Elastic Properties and Function of the Calf Muscles of Older Women. Clin. Biomech. 2005, 20, 973–983. [Google Scholar] [CrossRef]
- Johnson, E.; Bradley, B.; Witkowski, K.; McKee, R.; Telesmanic, C.; Chavez, A.; Kennedy, K.; Zimmerman, G. Effect of a Static Calf Muscle-Tendon Unit Stretching Program on Ankle Dorsiflexion Range of Motion of Older Women. J. Geriatr. Phys. Ther. 2007, 30, 49–52. [Google Scholar] [CrossRef]
- McKeon, P.O.; Wikstrom, E.A. Sensory-Targeted Ankle Rehabilitation Strategies for Chronic Ankle Instability. Med. Sci. Sports Exerc. 2016, 48, 776–784. [Google Scholar] [CrossRef] [PubMed]
- Knight, C.A.; Rutledge, C.R.; Cox, M.E.; Acosta, M.; Hall, S.J. Effect of Superficial Heat, Deep Heat, and Active Exercise Warm-Up on the Extensibility of the Plantar Flexors. Phys. Ther. 2001, 81, 1206–1214. [Google Scholar] [CrossRef] [PubMed]
- Del Buono, A.; Chan, O.; Maffulli, N. Achilles Tendon: Functional Anatomy and Novel Emerging Models of Imaging Classification. Int. Orthop. 2013, 37, 715–721. [Google Scholar] [CrossRef] [PubMed]
- Kay, A.D.; Blazevich, A.J. Effect of Acute Static Stretch on Maximal Muscle Performance: A Systematic Review. Med. Sci. Sports Exerc. 2012, 44, 154–164. [Google Scholar] [CrossRef] [PubMed]






| Age (years) | 27.1 ± 2.5 a |
| Height (m) | 1.73 (1.70–1.76) b |
| Weight (kg) | 64.5 ± 6.3 a |
| Body mass index (kg/m2) | 20.7 (20.1–22.7) b |
| Dominant leg (right/left) | 19/1 c |
Disclaimer/Publisher’s Note: The statements, opinions and data contained in all publications are solely those of the individual author(s) and contributor(s) and not of MDPI and/or the editor(s). MDPI and/or the editor(s) disclaim responsibility for any injury to people or property resulting from any ideas, methods, instructions or products referred to in the content. |
© 2024 by the authors. Licensee MDPI, Basel, Switzerland. This article is an open access article distributed under the terms and conditions of the Creative Commons Attribution (CC BY) license (https://creativecommons.org/licenses/by/4.0/).
Share and Cite
Miyasaka, H.; Ebihara, B.; Fukaya, T.; Mutsuzaki, H. Acute and Long-Term Effects of Stretching with Whole-Body Vibration on Young’s Modulus of the Soleus Muscle Measured Using Shear Wave Elastography. Sports 2024, 12, 165. https://doi.org/10.3390/sports12060165
Miyasaka H, Ebihara B, Fukaya T, Mutsuzaki H. Acute and Long-Term Effects of Stretching with Whole-Body Vibration on Young’s Modulus of the Soleus Muscle Measured Using Shear Wave Elastography. Sports. 2024; 12(6):165. https://doi.org/10.3390/sports12060165
Chicago/Turabian StyleMiyasaka, Hayato, Bungo Ebihara, Takashi Fukaya, and Hirotaka Mutsuzaki. 2024. "Acute and Long-Term Effects of Stretching with Whole-Body Vibration on Young’s Modulus of the Soleus Muscle Measured Using Shear Wave Elastography" Sports 12, no. 6: 165. https://doi.org/10.3390/sports12060165
APA StyleMiyasaka, H., Ebihara, B., Fukaya, T., & Mutsuzaki, H. (2024). Acute and Long-Term Effects of Stretching with Whole-Body Vibration on Young’s Modulus of the Soleus Muscle Measured Using Shear Wave Elastography. Sports, 12(6), 165. https://doi.org/10.3390/sports12060165

