Construction and Validation of Newly Adapted Sport-Specific Anaerobic Diving Tests
Abstract
1. Introduction
2. Materials and Methods
2.1. Sample of Participants
2.2. Sample of Variables
2.3. Procedure
2.4. Statistics
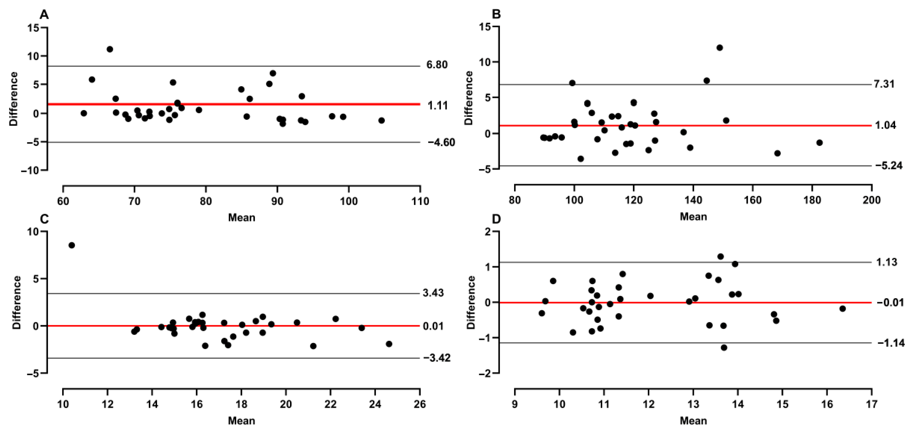
3. Results
4. Discussion
5. Conclusions
Author Contributions
Funding
Institutional Review Board Statement
Informed Consent Statement
Data Availability Statement
Conflicts of Interest
References
- Kjeld, T.; Stride, N.; Gudiksen, A.; Hansen, E.G.; Arendrup, H.C.; Horstmann, P.F.; Zerahn, B.; Jensen, L.T.; Nordsborg, N.; Bejder, J.; et al. Oxygen conserving mitochondrial adaptations in the skeletal muscles of breath hold divers. PLoS ONE 2018, 13, e0201401. [Google Scholar] [CrossRef] [PubMed]
- Fitz-Clarke, J.R. Breath-Hold Diving. Compr. Physiol. 2018, 8, 585–630. [Google Scholar]
- Schagatay, E. Human breath-hold diving ability and the underlying physiology. Hum. Evol. 2014, 29, 125–140. [Google Scholar]
- Steinback, C.D.; Salmanpour, A.; Breskovic, T.; Dujic, Z.; Shoemaker, J.K. Sympathetic neural activation: An ordered affair. J. Physiol. 2010, 588, 4825–4836. [Google Scholar] [CrossRef] [PubMed]
- Breskovic, T.; Steinback, C.D.; Salmanpour, A.; Shoemaker, J.K.; Dujic, Z. Recruitment pattern of sympathetic neurons during breath-holding at different lung volumes in apnea divers and controls. Auton. Neurosci. 2011, 164, 74–81. [Google Scholar] [CrossRef]
- Dujic, Z.; Uglesic, L.; Breskovic, T.; Valic, Z.; Heusser, K.; Marinovic, J.; Ljubkovic, M.; Palada, I. Involuntary breathing movements improve cerebral oxygenation during apnea struggle phase in elite divers. J. Appl. Physiol. 2009, 107, 1840–1846. [Google Scholar] [CrossRef] [PubMed]
- Dujic, Z.; Ivancev, V.; Heusser, K.; Dzamonja, G.; Palada, I.; Valic, Z.; Tank, J.; Obad, A.; Bakovic, D.; Diedrich, A. Central chemoreflex sensitivity and sympathetic neural outflow in elite breath-hold divers. J. Appl. Physiol. 2008, 104, 205–211. [Google Scholar] [CrossRef] [PubMed]
- Hoiland, R.L.; Bain, A.R.; Rieger, M.G.; Bailey, D.M.; Ainslie, P.N. Hypoxemia, oxygen content, and the regulation of cerebral blood flow. Am. J. Physiol.-Regul. Integr. Comp. Physiol. 2016, 310, R398–R413. [Google Scholar] [CrossRef]
- Giunta, A.A.; Liberati, L.; Pellegrino, C.; Ricci, G.; Rizzo, S. Eustachian tube balloon dilation in treatment of equalization problems of freediving spearfishermen. Diving Hyperb. Med. 2019, 49, 9–15. [Google Scholar] [CrossRef]
- Lindholm, P.; Lundgren, C. Alveolar gas composition before and after maximal breath-holds in competitive divers. Undersea Hyperb. Med. 2006, 33, 463. [Google Scholar]
- Schagatay, E.; Andersson, J.P.; Nielsen, B. Hematological response and diving response during apnea and apnea with face immersion. Eur. J. Appl. Physiol. 2007, 101, 125–132. [Google Scholar] [CrossRef] [PubMed]
- Schagatay, E. Predicting performance in competitive apnea diving, part II: Dynamic apnoea. Diving Hyperb. Med. 2010, 40, 11–22. [Google Scholar] [PubMed]
- Tagliabue, P.; Susta, D.; Sponsiello, N.; La Torre, A.; Ferretti, G. Blood lactate accumulation in static and dynamic apnoeas in humans. In Blue 2005: Human Behaviour and Limits in Underwater Environment; Consiglio Nazionale delle Ricerche: Roma, Italy, 2005; p. 113. [Google Scholar]
- Heusser, K.; Dzamonja, G.; Tank, J.; Palada, I.; Valic, Z.; Bakovic, D.; Obad, A.; Ivancev, V.; Breskovic, T.; Diedrich, A. Cardiovascular regulation during apnea in elite divers. Hypertension 2009, 53, 719–724. [Google Scholar] [CrossRef] [PubMed]
- Schagatay, E. Predicting performance in competitive apnea diving. Part III: Depth. Diving Hyperb. Med. 2011, 41, 216–228. [Google Scholar]
- Zagatto, A.M.; Beck, W.R.; Gobatto, C.A. Validity of the running anaerobic sprint test for assessing anaerobic power and predicting short-distance performances. J. Strength Cond. Res. 2009, 23, 1820–1827. [Google Scholar] [CrossRef] [PubMed]
- Olsen, C.R.; Fanestil, D.D.; Scholander, P.F. Some effects of apneic underwater diving on blood gases, lactate, and pressure in man. J. Appl. Physiol. 1962, 17, 938–942. [Google Scholar] [CrossRef]
- Ydenberg, R.; Clark, C.W. Aerobiosis and anaerobiosis during diving by western grebes: An optimal foraging approach. J. Theor. Biol. 1989, 139, 437–447. [Google Scholar] [CrossRef]
- Ferrigno, M.; Ferretti, G.; Ellis, A.; Warkander, D.; Costa, M.; Cerretelli, P.; Lundgren, C.E. Cardiovascular changes during deep breath-hold dives in a pressure chamber. J. Appl. Physiol. 1997, 83, 1282–1290. [Google Scholar] [CrossRef] [PubMed]
- Ferretti, G.; Costa, M.; Ferrigno, M.; Grassi, B.; Marconi, C.; Lundgren, C.; Cerretelli, P. Alveolar gas composition and exchange during deep breath-hold diving and dry breath holds in elite divers. J. Appl. Physiol. 1991, 70, 794–802. [Google Scholar] [CrossRef] [PubMed]
- Andersson, J.; Schagatay, E. Effects of lung volume and involuntary breathing movements on the human diving response. Eur. J. Appl. Physiol. Occup. Physiol. 1997, 77, 19–24. [Google Scholar] [CrossRef]
- Andersson, J.P.; Linér, M.H.; Runow, E.; Schagatay, E.K. Diving response and arterial oxygen saturation during apnea and exercise in breath-hold divers. J. Appl. Physiol. 2002, 93, 882–886. [Google Scholar] [CrossRef] [PubMed]
- Dekerle, J.; Sidney, M.; Hespel, J.; Pelayo, P. Validity and reliability of critical speed, critical stroke rate, and anaerobic capacity in relation to front crawl swimming performances. Int. J. Sports Med. 2002, 23, 93–98. [Google Scholar] [CrossRef] [PubMed]

| Variable | Mean | SD | Min | Max | α |
|---|---|---|---|---|---|
| DAST1 (s) | 80.49 | 11.14 | 62.92 | 103.97 | 0.98 |
| DAST2 (s) | 79.38 | 11.76 | 60.95 | 105.20 | |
| DAST1max (s) | 12.08 | 1.77 | 9.45 | 16.26 | 0.97 |
| DAST2max (s) | 12.09 | 1.74 | 9.56 | 16.44 | |
| SAST1 (s) | 119.05 | 22.07 | 89.34 | 181.82 | 0.99 |
| SAST2 (s) | 118.02 | 21.78 | 89.91 | 183.10 | |
| SAST1max (s) | 17.07 | 2.68 | 12.90 | 23.67 | 0.91 |
| SAST2max (s) | 17.06 | 6.13 | 25.58 | 3.41 | |
| DYN (m) | 113.05 | 40.29 | 50.00 | 200.00 | - |
| 100 m (s) | 83.85 | 16.56 | 61.00 | 130.00 | - |
| 2 min (m) | 136.35 | 20.93 | 92.00 | 175.00 | - |
| Variable | DAST2 (s) | DAST2max (s) | SAST2 (s) | SAST2max (s) |
|---|---|---|---|---|
| DAST1 (s) | 0.97 | 0.93 | 0.70 | 0.53 |
| DAST1max (s) | 0.95 | 0.95 | 0.70 | 0.52 |
| SAST1 (s) | 0.65 | 0.64 | 0.99 | 0.86 |
| SAST1max (s) | 0.46 | 0.45 | 0.92 | 0.83 |
| Variable | Factor 1 |
|---|---|
| DAST1 (s) | −0.88 |
| DAST1max (s) | −0.86 |
| DAST2 (s) | −0.85 |
| DAST2max (s) | −0.83 |
| SAST1 (s) | −0.94 |
| SAST1max (s) | −0.83 |
| SAST2 (s) | −0.94 |
| SAST2max (s) | −0.80 |
| DYN (m) | 0.64 |
| 100 m (s) | s0.92 |
| 2 min (m) | 0.92 |
| Explained variance | 8.13 |
| Proportion total | 0.74 |
| Variable | DYN (m) | 100 m (s) | 2 min (m) |
|---|---|---|---|
| DAST1 (s) | −0.70 | 0.66 | −0.68 |
| DAST1max (s) | −0.63 | 0.66 | −0.64 |
| DAST2 (s) | −0.72 | 0.62 | −0.63 |
| DAST2max (s) | −0.67 | 0.62 | −0.60 |
| SAST1 (s) | −0.43 | 0.96 | −0.94 |
| SAST1max (s) | −0.34 | 0.91 | −0.89 |
| SAST2 (s) | −0.44 | 0.95 | −0.93 |
| SAST2max (s) | −0.34 | 0.83 | −0.85 |
| Model | R | R2 | Adjusted R2 | Std. Error of the Estimate | Durbin–Watson |
|---|---|---|---|---|---|
| 0.74 | 0.54 | 0.48 | 29.09 | 1.35 | |
| Variable | B | Std. Error | β | T | p |
| DAST (s) | −4.31 | 1.73 | −1.22 | −2.49 | 0.02 * |
| SAST (s) | 0.69 | 0.74 | 0.38 | 0.94 | 0.35 |
| DASTmax (s) | 9.13 | 11.36 | 0.39 | 0.80 | 0.43 |
| SASTmax (s) | −3.72 | 4.61 | −0.27 | −0.81 | 0.43 |
| Model | Sum of Squares | Mean Square | F | p |
|---|---|---|---|---|
| Regression | 5,455,232.29 | 1,363,808.07 | 1.28 | 0.26 |
| Residual | 30,951,997.08 | 1,067,310.24 | ||
| Total | 36,407,229.37 |
Disclaimer/Publisher’s Note: The statements, opinions and data contained in all publications are solely those of the individual author(s) and contributor(s) and not of MDPI and/or the editor(s). MDPI and/or the editor(s) disclaim responsibility for any injury to people or property resulting from any ideas, methods, instructions or products referred to in the content. |
© 2024 by the authors. Licensee MDPI, Basel, Switzerland. This article is an open access article distributed under the terms and conditions of the Creative Commons Attribution (CC BY) license (https://creativecommons.org/licenses/by/4.0/).
Share and Cite
Drviš, I.; Vrdoljak, D.; Dujić, G.; Dujić, Ž.; Foretić, N. Construction and Validation of Newly Adapted Sport-Specific Anaerobic Diving Tests. Sports 2024, 12, 110. https://doi.org/10.3390/sports12040110
Drviš I, Vrdoljak D, Dujić G, Dujić Ž, Foretić N. Construction and Validation of Newly Adapted Sport-Specific Anaerobic Diving Tests. Sports. 2024; 12(4):110. https://doi.org/10.3390/sports12040110
Chicago/Turabian StyleDrviš, Ivan, Dario Vrdoljak, Goran Dujić, Željko Dujić, and Nikola Foretić. 2024. "Construction and Validation of Newly Adapted Sport-Specific Anaerobic Diving Tests" Sports 12, no. 4: 110. https://doi.org/10.3390/sports12040110
APA StyleDrviš, I., Vrdoljak, D., Dujić, G., Dujić, Ž., & Foretić, N. (2024). Construction and Validation of Newly Adapted Sport-Specific Anaerobic Diving Tests. Sports, 12(4), 110. https://doi.org/10.3390/sports12040110

