Single and Combined Effects of Preferred Music and Endpoint Knowledge on Jump Performance in Basketball Players
Abstract
1. Introduction
2. Materials and Methods
2.1. Experimental Approach to the Problem
2.2. Participants
2.3. Procedures
2.3.1. Familiarization Session
2.3.2. Experimental Protocol
Session 1. Repeated CMJ to Exhaustion
Sessions 2, 3. Prior Knowledge Duration or Number
Sessions 4–6
2.4. Music Preference
2.5. Measurements
2.5.1. Countermovement Jumps Exercise
2.5.2. Ratings of Perceived Exertion
2.5.3. Feeling State
2.6. Statistical Analysis
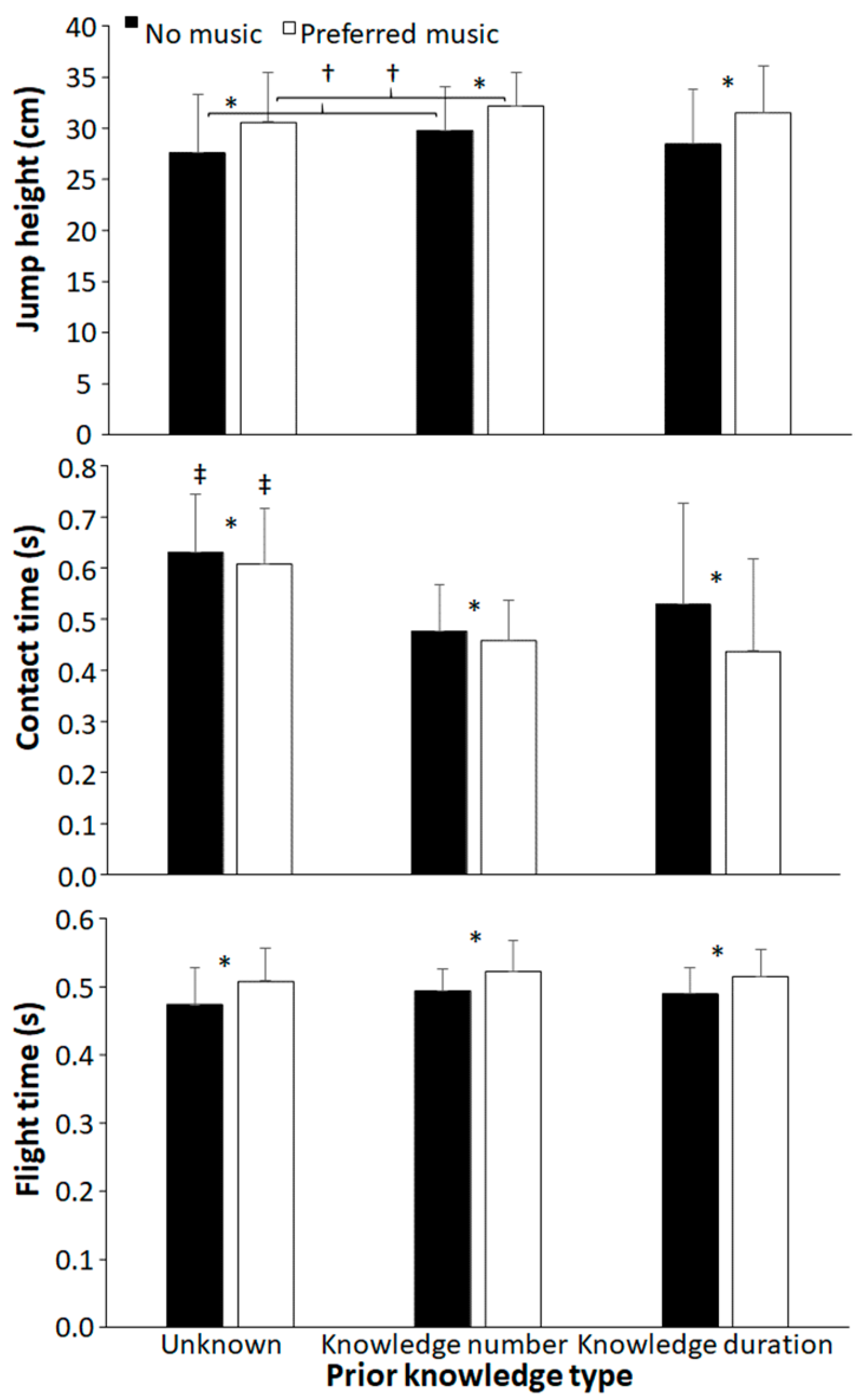
3. Results
3.1. Physical Performance
3.2. RPE and Feeling Scale
4. Discussion
5. Conclusions
Author Contributions
Funding
Institutional Review Board Statement
Informed Consent Statement
Data Availability Statement
Acknowledgments
Conflicts of Interest
References
- Thomas, K.; Goodall, S.; Stone, M.; Howatson, G.; Gibson, A.S.C.; Ansley, L. Central and peripheral fatigue in male cyclists after 4-, 20-, and 40-km time trials. Med. Sci. Sports Exerc. 2015, 47, 537–546. [Google Scholar] [CrossRef] [PubMed]
- Micklewright, D.; Papadopoulou, E.; Swart, J.; Noakes, T. Previous experience influences pacing during 20 km time trial cycling. Br. J. Sports Med. 2010, 44, 952–960. [Google Scholar] [CrossRef]
- Abbiss, C.R.; Laursen, P.B. Describing and understanding pacing strategies during athletic competition. Sports Med. 2008, 38, 239–252. [Google Scholar] [CrossRef] [PubMed]
- Foster, C.; Schrager, M.; Snyder, A.C.; Thompson, N.N. Pacing strategy and athletic performance. Sports Med. 1994, 17, 77–85. [Google Scholar] [CrossRef] [PubMed]
- Bacon, C.J.; Myers, T.R.; Karageorghis, C.I. Effect of music-movement synchrony on exercise oxygen consumption. J. Sports Med. Phys. Fit. 2012, 52, 359. [Google Scholar]
- Terry, P.C.; Karageorghis, C.I.; Saha, A.M.; D’Auria, S. Effects of synchronous music on treadmill running among elite triathletes. J. Sci. Med. Sport 2012, 15, 52–57. [Google Scholar] [CrossRef]
- Ballmann, C.G. The influence of music preference on exercise responses and performance: A review. J. Funct. Morphol. Kinesiol. 2021, 6, 33. [Google Scholar] [CrossRef]
- Ulmer, H.V. Concept of an extracellular regulation of muscular metabolic rate during heavy exercise in humans by psychophysiological feedback. Experientia 1996, 52, 416–420. [Google Scholar] [CrossRef]
- Baden, D.A.; McLean, T.L.; Tucker, R.; Noakes, T.D.; Gibson, A.S.C. Effect of anticipation during unknown or unexpected exercise duration on rating of perceived exertion, affect, and physiological function. Br. J. Sports Med. 2005, 39, 742–746. [Google Scholar] [CrossRef]
- Coquart, J.B.; Garcin, M. Knowledge of the endpoint: Effect on perceptual values. Int. J. Sports Med. 2008, 29, 976–979. [Google Scholar] [CrossRef]
- Hamilton, A.R.; Behm, D.G. The effect of prior knowledge of test endpoint on non-local muscle fatigue. Eur. J. Appl. Physiol. 2017, 117, 651–663. [Google Scholar] [CrossRef] [PubMed]
- Halperin, I.; Aboodarda, S.J.; Basset, F.A.; Byrne, J.M.; Behm, D.G. Pacing strategies during repeated maximal voluntary contractions. Eur. J. Appl. Physiol. 2014, 114, 1413–1420. [Google Scholar] [CrossRef]
- Billaut, F.; Bishop, D.J.; Schaerz, S.; Noakes, T.D. Influence of knowledge of sprint number on pacing during repeated-sprint exercise. Med. Sci. Sports Exerc. 2011, 43, 665–672. [Google Scholar] [CrossRef] [PubMed]
- Tucker, R.; Noakes, T.D. The physiological regulation of pacing strategy during exercise: A critical review. Br. J. Sports Med. 2009, 43, e1. [Google Scholar] [CrossRef] [PubMed]
- Boutcher, S.H.; Trenske, M. The effects of sensory deprivation and music on perceived exertion and affect during exercise. J. Sport Exerc. Psychol. 1990, 12, 167–176. [Google Scholar] [CrossRef]
- Stork, M.J.; Kwan, M.Y.; Gibala, M.J.; Ginis, K.A.M. Music enhances performance and perceived enjoyment of sprint interval exercise. Med. Sci. Sports Exerc. 2015, 47, 1052–1060. [Google Scholar] [CrossRef]
- Jebabli, N.; Granacher, U.; Selmi, M.A.; Al-Haddabi, B.; Behm, D.G.; Chaouachi, A.; Haj Sassi, R. Listening to Preferred Music Improved Running Performance without Changing the Pacing Pattern during a 6 Minute Run Test with Young Male Adults. Sports 2020, 8, 61. [Google Scholar] [CrossRef]
- Jebabli, N.; Zouhal, H.; Boullosa, D.; Govindasamy, K.; Tourny, C.; Hackney, A.C.; Granacher, U.; Ben Abderrahman, A. The Effects of Preferred Music and Its Timing on Performance, Pacing, and Psychophysiological Responses During the 6-min Test. J. Hum. Kinet. 2022, 82, 123–133. [Google Scholar] [CrossRef]
- Ghazel, N.; Souissi, A.; Chtourou, H.; Aloui, G.; Souissi, N. The effect of music on short-term exercise performance during the different menstrual cycle phases in female handball players. Res. Sports Med. 2022, 30, 50–60. [Google Scholar] [CrossRef]
- Jebabli, N.; Ben Aabderrahman, A.; Boullosa, D.; Chtourou, H.; Ouerghi, N.; Rhibi, F.; Govindasamy, K.; Saeidi, A.; Clark, C.C.T.; Granacher, U.; et al. Listening to music during a repeated sprint test improves performance and psychophysiological responses in healthy and physically active male adults. BMC Sports Sci. Med. Rehabil. 2023, 15, 21. [Google Scholar] [CrossRef]
- Biagini, M.S.; Brown, L.E.; Coburn, J.W.; Judelson, D.A.; Statler, T.A.; Bottaro, M.; Tran, T.T.; Longo, N.A. Effects of self-selected music on strength, explosiveness, and mood. J. Strength Cond. Res. 2012, 26, 1934–1938. [Google Scholar] [CrossRef] [PubMed]
- Chen, C.C.; Chen, Y.; Tang, L.C.; Chieng, W.H. Effects of interactive music tempo with heart rate feedback on physio-psychological responses of basketball players. Int. J. Environ. Health 2022, 19, 4810. [Google Scholar] [CrossRef] [PubMed]
- Blasco-Lafarga, C.; Ricart, B.; Cordellat, A.; Roldán, A.; Navarro-Roncal, C.; Monteagudo, P. High versus low motivating music on intermittent fitness and agility in young well-trained basketball players. Int. J. Sport Psychol. 2022, 20, 777–793. [Google Scholar] [CrossRef]
- Boolani, A.; Lackman, J.; Baghurst, T.; LaRue, J.L.; Smith, M.L. Impact of Positive and Negative Motivation and Music on Jump Shot Efficiency among NAIA Division I College Basketball Players. Int. J. Exerc. Sci. 2019, 12, 100–110. [Google Scholar] [PubMed]
- Hammami, R.; Nebigh, A.; Selmi, M.A.; Rebai, H.; Versic, S.; Drid, P.; Jezdimirovic, T.; Sekulic, D. Acute Effects of Verbal Encouragement and Listening to Preferred Music on Maximal Repeated Change-of-Direction Performance in Adolescent Elite Basketball Players—Preliminary Report. Appl. Sci. 2021, 11, 8625. [Google Scholar] [CrossRef]
- Ben Abdelkrim, N.; El Fazaa, S.; El Ati, J. Time-motion analysis and physiological data of elite under-19-year-old basketball players during competition. Br. J. Sport Med. 2007, 41, 69–75. [Google Scholar] [CrossRef]
- Lopes-Silva, J.P.; Lima-Silva, A.E.; Bertuzzi, R.; Silva-Cavalcante, M.D. Influence of music on performance and psychophysiological responses during moderate-intensity exercise preceded by fatigue. Physiol. Behav. 2015, 139, 274–280. [Google Scholar] [CrossRef]
- Terry, P.C.; Karageorghis, C.I.; Curran, M.L.; Martin, O.V.; Parsons-Smith, R.L. Effects of music in exercise and sport: A meta-analytic review. Psychol. Bull. 2020, 146, 91. [Google Scholar] [CrossRef]
- Ato, M.; López-García, J.J.; Benavente, A. A classification system for research designs in psychology. An. Psicol. 2013, 29, 1038–1059. [Google Scholar]
- Borg, G.A. Psychophysical bases of perceived exertion. Med. Sci. Sports Exerc. 1982, 14, 377–381. [Google Scholar] [CrossRef]
- Hardy, C.J.; Rejeski, W.J. Not what, but how one feels: The measurement of affect during exercise. J. Sport Exerc. Psychol. 1989, 11, 304–317. [Google Scholar] [CrossRef]
- Cohen, J. Statistical Power Analysis for the Behavioral Sciences; Lawrence Erlbaum Associates, Inc.: Hillsdale, NJ, USA, 1988; ISBN 0-12-179060-6. [Google Scholar]
- Patania, V.M.; Padulo, J.; Iuliano, E.; Ardigò, L.P.; Čular, D.; Miletić, A.; De Giorgio, A. The psychophysiological effects of different tempo music on endurance versus high-intensity performances. Front. Psychol. 2020, 11, 74. [Google Scholar] [CrossRef] [PubMed]
- Meglic, C.E.; Orman, C.M.; Rogers, R.R.; Williams, T.D.; Ballmann, C.G. Influence of warm-up music preference on anaerobic exercise performance in Division I NCAA Female Athletes. J. Funct. Morphol. 2021, 6, 64. [Google Scholar] [CrossRef]
- Kayser, B. Exercise starts and ends in the brain. Eur. J. Appl. Physiol. 2003, 90, 411–419. [Google Scholar] [CrossRef] [PubMed]
- Noakes, T.D. Fatigue is a brain-derived emotion that regulates the exercise behavior to ensure the protection of whole body homeostasis. Front. Physiol. 2012, 3, 82. [Google Scholar] [CrossRef]
- Hanson, N.J.; Buckworth, J. The effect of endpoint knowledge on perceived exertion, affect, and attentional focus during self-paced running. J. Strength Cond. Res. 2015, 29, 934–941. [Google Scholar] [CrossRef]
- Highton, J.; Mullen, T.; Twist, C. Influence of knowledge of task endpoint on pacing and performance during simulated rugby league match play. Int. J. Sports Physiol. Perform. 2017, 12, 1192–1198. [Google Scholar] [CrossRef]
- Aloui, A.; Briki, W.; Baklouti, H.; Chtourou, H.; Driss, T.; Chaouachi, A.; Chamari, K.; Souissi, N. Listening to music during warming-up counteracts the negative effects of ramadan observance on short-term maximal performance. PLoS ONE 2015, 10, e0136400. [Google Scholar] [CrossRef]
- Clark, J.C.; Baghurst, T.; Redus, B.S. Self-selected motivational music on the performance and perceived exertion of runners. J. Strength Cond. Res. 2021, 35, 1656–1661. [Google Scholar] [CrossRef]




Disclaimer/Publisher’s Note: The statements, opinions and data contained in all publications are solely those of the individual author(s) and contributor(s) and not of MDPI and/or the editor(s). MDPI and/or the editor(s) disclaim responsibility for any injury to people or property resulting from any ideas, methods, instructions or products referred to in the content. |
© 2023 by the authors. Licensee MDPI, Basel, Switzerland. This article is an open access article distributed under the terms and conditions of the Creative Commons Attribution (CC BY) license (https://creativecommons.org/licenses/by/4.0/).
Share and Cite
Jebabli, N.; Khlifi, M.; Ouerghi, N.; Boujabli, M.; Bouassida, A.; Abderrahman, A.B.; van den Tillaar, R. Single and Combined Effects of Preferred Music and Endpoint Knowledge on Jump Performance in Basketball Players. Sports 2023, 11, 105. https://doi.org/10.3390/sports11050105
Jebabli N, Khlifi M, Ouerghi N, Boujabli M, Bouassida A, Abderrahman AB, van den Tillaar R. Single and Combined Effects of Preferred Music and Endpoint Knowledge on Jump Performance in Basketball Players. Sports. 2023; 11(5):105. https://doi.org/10.3390/sports11050105
Chicago/Turabian StyleJebabli, Nidhal, Mariem Khlifi, Nejmeddine Ouerghi, Manar Boujabli, Anissa Bouassida, Abderraouf Ben Abderrahman, and Roland van den Tillaar. 2023. "Single and Combined Effects of Preferred Music and Endpoint Knowledge on Jump Performance in Basketball Players" Sports 11, no. 5: 105. https://doi.org/10.3390/sports11050105
APA StyleJebabli, N., Khlifi, M., Ouerghi, N., Boujabli, M., Bouassida, A., Abderrahman, A. B., & van den Tillaar, R. (2023). Single and Combined Effects of Preferred Music and Endpoint Knowledge on Jump Performance in Basketball Players. Sports, 11(5), 105. https://doi.org/10.3390/sports11050105

