Does Obesity Affect Neuromuscular and Cardiovascular Adaptations after a 3-Month Combined Exercise Program in Untrained Premenopausal Middle-Aged Women?
Abstract
1. Introduction
2. Materials and Methods
2.1. Participants
2.2. Study Design
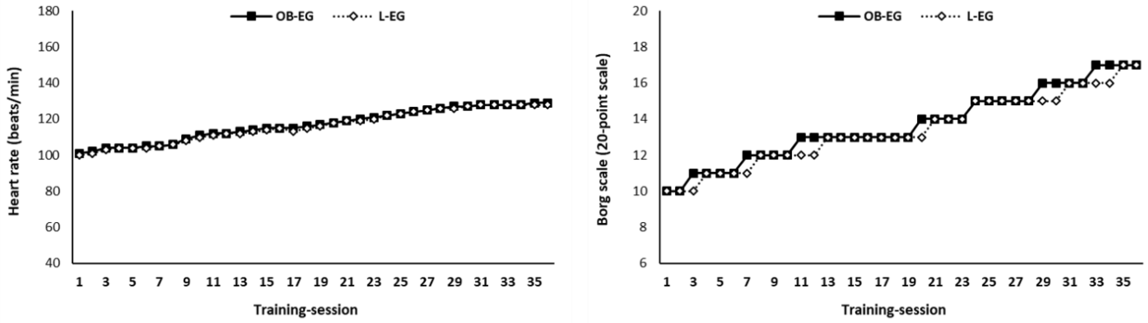
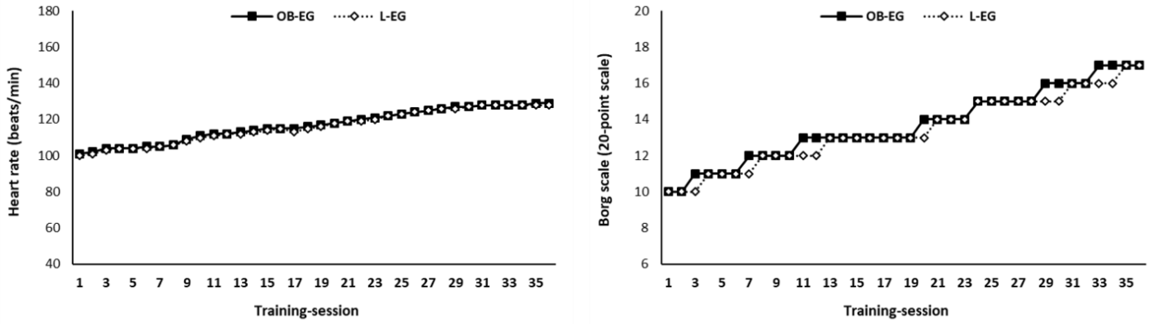
2.3. Training Program
- (a)
- Strength training: The strength workout included body weight exercises for all major muscle groups. In more detail, the program consisted of exercises for the lower (static forward lunges and step up) and upper (push-ups and dips) body as well as for abdominal and dorsal trunk muscles. The intensity during body weight exercises was modified by progressively increasing the number of repetitions (5–15 RM) and sets (2–4) during the 3-month time period, according to the recommendation of the American College of Sports Medicine [4];
- (b)
- The aerobic training program included low-impact aerobic dance movements (i.e., forward and backward march, step touch, knee lift, heel up, kick, lateral lunges, grapevine, squats, V-step, turn step) in conjunction with continuous arm movements at the shoulder level as well as above the head. During the aerobic dance choreography, the women held a medium resistance anti-stress ball at each hand and squeezed it simultaneously according to the specific aerobic dance movements. The intensity (60–80% of the age-predicted HRmax; 105–120 bits/min) and the duration (18–30 min) of aerobic training progressively increased during the training program according to the recommendation of the American College of Sports Medicine [4].
2.4. Testing Procedures
2.4.1. Health Indices
- ✓
- Body mass and body height were assessed using a calibrated physician’s scale (Seca model 755, Seca, Hamburg, Germany) and a telescopic height rod (Seca model 220, Seca, Hamburg, Germany), respectively, according to the recommendations of ACSM [31];
- ✓
- Waist and hip circumferences were assessed using a conventional measuring tape (Seca 201, Seca, Hamburg, Germany), as previously described by the ACSM [31];
- ✓
- Body composition (body fat, fat free mass) was assessed using the bioelectrical impedance method (Maltron 900) [31];
- ✓
- Systolic and diastolic blood pressures were measured using an electronic blood pressure monitor (A & D-UA-851) [31];
- ✓
- Forced vital capacity (FVC) and forced expiratory volume in 1 s (FEV1) were assessed using a portable spirometer (Micro Medical Micro), as described by the American Thoracic Society [32].
2.4.2. Functional Capacity Indices
- ✓
- Flexibility: Lower back and hamstring flexibility were measured with the sit and reach test, using a Flex-Tester box (Novel Products Inc., Rockton, IL, USA) according to the recommendations of ACSM [31]. The participants performed three maximal trials with a rest period of 10 s among trials, and the best score (in cm) was considered for analysis;
- ✓
- Balance: The static balance was assessed on both legs using the single-limb stance tests with eyes opened and closed, as previously described by previous studies [33,34]. The participants performed three trials for each leg at each test, and the average time (in s) of the three trials was considered for analysis. Dynamic balance was also evaluated using the timed up-and-go test (TUG), as previously described by Rikli and Jones [35]. The participants performed three maximal trials with a rest period of 30 s, and the best time (in s) was used to evaluate performance.
2.4.3. Physical Fitness Indices
- ✓
- The concentric and eccentric isokinetic peak torque of knee extensors and flexors muscles were measured using a Cybex dynamometer (Cybex Norm, Ronkonkoma, NY, USA), as previously described by Tsourlou et al. [7]. The repetition with the highest moment (Nm) was used for analysis. The conventional (CON/CON and ECC/ECC) and functional (ECC/CON and CON/ECC) knee flexion (KF) to knee extension (KE) torque ratios were also calculated as previously described by Gerodimos et al. [36].
- ✓
- Maximal and endurance handgrip strength measurements were carried out according to the recommendations of the American Society of Hand Therapists, using a portable hydraulic dynamometer (Jamar, 5030J1, Jamar Technologies, Horsham, PA, USA) as previously described by Gerodimos et al. [37];
- ✓
- Muscular endurance of the upper body: (a) The “curl-up test” was used to measure muscular endurance of the abdominal muscles [31], (b) the “knee push-up test” and the “dip test” were used to assess muscular endurance of the chest as well as of the triceps muscles, respectively [31], and (c) the “Ito test” was used to assess muscular endurance of the trunk extensors muscles [38];
- ✓
- Cardiorespiratory fitness was assessed using the submaximal treadmill walking test, as proposed by Ebbeling et al. [39], consisting of three 4-min stages. HR was continuously recorded using chest belt telemetry (Polar Electro, Kempele, Finland). At the end of each stage, the rating of perceived exertion (RPE) was obtained using the 20-point Borg scale. Participants’ heart rates were also measured prior to the walking test protocol at the completion of each stage and at the 1st min following the termination of the walking test.
2.4.4. Enjoyment
2.5. Statistical Analysis
3. Results
3.1. Health Indices
3.2. Functional Capacity Indices
3.3. Physical Fitness Indices
3.3.1. Lower Limbs Strength (Isokinetic Evaluation)
3.3.2. Upper Body Strength
3.3.3. Aerobic Capacity
3.4. Enjoyment
4. Discussion
5. Conclusions
Author Contributions
Funding
Institutional Review Board Statement
Informed Consent Statement
Data Availability Statement
Conflicts of Interest
References
- Adamo, K.B.; Tesson, F. Genotype-specific weight loss treatment advice: How close are we? Appl. Physiol. Nutr. Metab. 2007, 32, 351–366. [Google Scholar] [CrossRef]
- Haslam, D.W.; James, W.P. Obesity. Lancet 2005, 366, 1197–1209. [Google Scholar] [CrossRef] [PubMed]
- Must, A.; Anderson, S.E. Effects of obesity on morbidity in children and adolescents. Nutr. Clin. Care 2003, 6, 4–12. [Google Scholar] [PubMed]
- Garber, C.E.; Blissmer, B.; Deschenes, M.R.; Franklin, B.A.; LaMonte, M.J.; Lee, I.-M.; Nieman, D.C.; Swain, D.P. American College of Sports Medicine. Quantity and quality of exercise for developing and maintaining cardiorespiratory, musculoskeletal, and neuromotor fitness in apparently healthy adults: Guidance for prescribing exercise. Med. Sci. Sport. Exerc. 2011, 43, 1334–1359. [Google Scholar] [CrossRef] [PubMed]
- Gerodimos, V.; Zafeiridis, A.; Chanou, K.; Karatrantou, K.; Dipla, K. Whole-body vibration training in middle-aged females: Improving muscle flexibility and the power of lower limbs. Sport Sci. Health 2015, 11, 287–294. [Google Scholar] [CrossRef]
- Mandroukas, K.; Krotkiewski, M.; Hedberg, M.; Wroblewski, Z.; Grimby, G. Physical training in obese women: Effects of muscle morphology, biochemistry and function. Eur. J. Appl. Physiol. 1984, 52, 355–361. [Google Scholar] [CrossRef]
- Tsourlou, T.; Gerodimos, V.; Kellis, E.; Stavropoulos, N.; Kellis, S. The effects of a calisthenics and a light strength training program on lower limb muscle strength and body composition in mature women. J. Strength Cond. Res. 2003, 17, 590–598. [Google Scholar]
- Karatrantou, K.; Gerodimos, V.; Manouras, N.; Vasilopoulou, T.; Melissopoulou, A.; Mesiakaris, A.F.; Theodorakis, Y. Health-Promoting Effects of a Concurrent Workplace Training Program in Inactive Office Workers (HealPWorkers): A Randomized Controlled Study. Am. J. Health Promot. 2020, 34, 376–386. [Google Scholar] [CrossRef]
- Batrakoulis, A.; Jamurtas, A.Z.; Tsimeas, P.; Poulios, A.; Perivoliotis, K.; Syrou, N.; Papanikolaou, K.; Draganidis, D.; Deli, C.K.; Metsios, G.S.; et al. Hybrid-type, multicomponent interval training upregulates musculoskeletal fitness of adults with overweight and obesity in a volume-dependent manner: A 1-year dose-response randomised controlled trial. Eur. J. Sport Sci. 2022, 23, 432–443. [Google Scholar] [CrossRef]
- Gerodimos, V.; Karatrantou, K.; Papazeti, K.; Batatolis, C.; Krommidas, C. Workplace exercise program in a hospital environment: An effective strategy for the promotion of employees physical and mental health. A randomized controlled study. Int. Arch. Occup. Environ. Health 2022, 95, 1491–1500. [Google Scholar] [CrossRef]
- Blake, A.L.; Miller, W.C.; Brown, D.A. Adiposity does not hinder the fitness response to exercise training in obese women. J. Sports Med. Phys. Fit. 2000, 40, 170–177. [Google Scholar] [CrossRef]
- Tsourlou, T.; Benik, A.; Dipla, K.; Zafeiridis, A.; Kellis, S. The effects of a twenty-four-week aquatic training program on muscular strength performance in healthy elderly women. J. Strength. Cond. Res. 2006, 20, 811–818. [Google Scholar] [CrossRef]
- Batrakoulis, A.; Loules, G.; Georgakouli, K.; Tsimeas, P.; Draganidis, D.; Chatzinikolaou, A.; Papanikolaou, K.; Deli, C.K.; Syrou, N.; Comoutos, N.; et al. High-intensity interval neuromuscular training promotes exercise behavioral regulation, adherence and weight loss in inactive obese women. Eur. J. Sport Sci. 2019, 20, 783–792. [Google Scholar] [CrossRef]
- Karatrantou, K.; Gerodimos, V.; Häkkinen, K.; Zafeiridis, A. Health-Promoting Effects of Serial vs. Integrated Combined Strength and Aerobic Training. Int. J. Sports Med. 2016, 38, 55–64. [Google Scholar] [CrossRef]
- Grivas, G.V.; Karatrantou, K.; Chasialis, A.; Batatolis, C.; Ioakimidis, P.; Gerodimos, V. Serial vs. Integrated Outdoor Combined Training Programs for Health Promotion in Middle-Aged Males. Sports 2022, 10, 122. [Google Scholar] [CrossRef]
- Ciolac, E.G.; Greve, J.M.D. Exercise-induced improvements in cardiorespiratory fitness and heart rate response to exercise are impaired in overweight/obese postmenopausal women. Clinics 2011, 66, 583–589. [Google Scholar] [CrossRef]
- Dipla, K.; Kousoula, D.; Zafeiridis, A.; Karatrantou, K.; Nikolaidis, M.G.; Kyparos, A.; Gerodimos, V.; Vrabas, I.S. Exaggerated haemodynamic and neural responses to involuntary contractions induced by whole-body vibration in normotensive obese versus lean women. Exp. Physiol. 2016, 101, 717–730. [Google Scholar] [CrossRef]
- Dipla, K.; Zafeiridis, A.; Koidou, I.; Geladas, N.; Vrabas, I.S. Altered hemodynamic regulation and reflex control during exercise and recovery in obese boys. Am. J. Physiol. Heart Circ. Physiol. 2010, 299, H2090–H2096. [Google Scholar] [CrossRef]
- Jocken, J.W.; Blaak, E.E. Catecholamine-induced lipolysis in adipose tissue and skeletal muscle in obesity. Physiol. Behav. 2008, 94, 219–230. [Google Scholar] [CrossRef]
- Karpoff, L.; Vinet, A.; Schuster, I.; Oudot, C.; Goret, L.; Dauzat, M.; Obert, P.; Perez-Martin, A. Abnormal vascular reactivity at rest and exercise in obese boys. Eur. J. Clin. Investig. 2009, 39, 94–102. [Google Scholar] [CrossRef]
- Grassi, G.; Seravalle, G.; Colombo, M.; Bolla, G.; Cattaneo, B.M.; Cavagnini, F.; Mancia, G. Body Weight Reduction, Sympathetic Nerve Traffic, and Arterial Baroreflex in Obese Normotensive Humans. Circulation 1998, 97, 2037–2042. [Google Scholar] [CrossRef] [PubMed]
- Negrão, C.E.; Trombetta, I.C.; Batalha, L.T.; Ribeiro, M.M.; Rondon, M.U.P.B.; Tinucci, T.; Forjaz, C.; Barretto, A.C.P.; Halpern, A.; Villares, S.M. Muscle metaboreflex control is diminished in normotensive obese women. Am. J. Physiol. Circ. Physiol. 2001, 281, H469–H475. [Google Scholar] [CrossRef] [PubMed]
- Hansen, D.; Meeusen, R.; Mullens, A.; Dendale, P. Effect of Acute Endurance and Resistance Exercise on Endocrine Hormones Directly Related to Lipolysis and Skeletal Muscle Protein Synthesis in Adult Individuals with Obesity. Sports Med. 2012, 42, 415–431. [Google Scholar] [CrossRef] [PubMed]
- Ormsbee, M.J.; Choi, M.D.; Medlin, J.K.; Geyer, G.H.; Trantham, L.H.; Dubis, G.S.; Hickner, R.C. Regulation of fat metabolism during resistance exercise in sedentary lean and obese men. J. Appl. Physiol. 2009, 106, 1529–1537. [Google Scholar] [CrossRef]
- Falk, B.; Sadres, E.; Constantini, N.; Zigel, L.; Lidor, R.; Eliakim, A. The Association Between Adiposity and the Response to Resistance Training Among Pre- and Early-Pubertal Boys. J. Pediatr. Endocrinol. Metab. 2002, 15, 597–606. [Google Scholar] [CrossRef]
- Pescatello, L.S.; Kelsey, B.K.; Price, T.B.; Seip, R.L.; Angelopoulos, T.J.; Clarkson, P.M.; Gordon, P.M.; Moyna, N.M.; Visich, P.S.; Zoeller, R.F.; et al. The Muscle Strength and Size Response to Upper Arm, Unilateral Resistance Training Among Adults Who Are Overweight and Obese. J. Strength Cond. Res. 2007, 21, 307–313. [Google Scholar] [CrossRef]
- Petersen, M.H.; de Almeida, M.E.; Wentorf, E.K.; Jensen, K.; Ørtenblad, N.; Højlund, K. High-intensity interval training combining rowing and cycling efficiently improves insulin sensitivity, body composition and VO2max in men with obesity and type 2 diabetes. Front. Endocrinol. 2022, 13, 1032235. [Google Scholar] [CrossRef]
- Davis, W.J.; Wood, D.T.; Andrews, R.G.; Elkind, L.M.; Davis, W.B. Concurrent Training Enhances Athletes’ Strength, Muscle Endurance, and Other Measures. J. Strength Cond. Res. 2008, 22, 1487–1502. [Google Scholar] [CrossRef]
- Davis, W.J.; Wood, D.T.; Andrews, R.G.; Elkind, L.M.; Davis, W.B. Concurrent Training Enhances Athletes’ Cardiovascular and Cardiorespiratory Measures. J. Strength Cond. Res. 2008, 22, 1503–1514. [Google Scholar] [CrossRef]
- Davis, W.J.; Wood, D.T.; Andrews, R.G.; Elkind, L.M.; Davis, W.B. Elimination of Delayed-Onset Muscle Soreness by Pre-resistance Cardioacceleration before Each Set. J. Strength Cond. Res. 2008, 22, 212–225. [Google Scholar] [CrossRef]
- American College of Sports Medicine (ACSM). ACSM’s Guidelines for Exercise Testing and Prescription, 9th ed.; Lippincott Williams & Wilkins: Philadelphia, PA, USA, 2013; pp. 40–107. [Google Scholar]
- American Thoracic Society (ATS). Lung Function Testing: Selection of reference values and interpretive strategies. Am. Rev. Respir. Dis. 1991, 144, 1202–1218. [Google Scholar] [CrossRef]
- Douris, P.; Chinan, A.; Gomez, M.; Aw, A.; Steffens, D.; Weiss, S. Fitness levels of middle aged martial art practioners. Br. J. Sports Med. 2004, 38, 143–147. [Google Scholar] [CrossRef]
- Rinne, M.B.; Pasanen, M.E.; Miilunpalo, S.I.; Oja, P. Test-Retest Reproducibility and Inter-Rater Reliability of a Motor Skill Test Battery for Adults. Int. J. Sports Med. 2001, 22, 192–200. [Google Scholar] [CrossRef]
- Rikli, R.E.; Jones, C.J. Development and Validation of a Functional Fitness Test for Community-Residing Older Adults. J. Aging Phys. Act. 1999, 7, 129–161. [Google Scholar] [CrossRef]
- Gerodimos, V.; Mandou, V.; Zafeiridis, A.; Ioakimidis, P.; Stavropoulos, N.; Kellis, S. Isokinetic peak torque and hamstring/quadriceps ratios in young basketball players. Effects of age, velocity, and contraction mode. J. Sports Med. Phys. Fit. 2003, 43, 444–452. [Google Scholar]
- Gerodimos, V.; Karatrantou, K.; Psychou, D.; Vasilopoulou, T.; Zafeiridis, A. Static and Dynamic Handgrip Strength Endurance: Test-Retest Reproducibility. J. Hand Surg. Am. 2017, 42, e175–e184. [Google Scholar] [CrossRef]
- Ito, T.; Shirado, O.; Suzuki, H.; Takahashi, M.; Kaneda, K.; Strax, T.E. Lumbar trunk muscle endurance testing: An inexpensive alternative to a machine for evaluation. Arch. Phys. Med. Rehabil. 1996, 77, 75–79. [Google Scholar] [CrossRef]
- Ebbeling, C.B.; Ward, A.; Puleo, E.M.; Widrick, J.; Rippe, J.M. Development of a single-stage submaximal treadmill walking test. Med. Sci. Sports Exerc. 1991, 23, 966–973. [Google Scholar] [CrossRef]
- McAuley, E.; Duncan, T.; Tammen, V.V. Psychometric Properties of the Intrinsic Motivation Inventory in a Competitive Sport Setting: A Confirmatory Factor Analysis. Res. Q. Exerc. Sport 1989, 60, 48–58. [Google Scholar] [CrossRef]
- Batrakoulis, A.; Tsimeas, P.; Deli, C.K.; Vlachopoulos, D.; Ubago-Guisado, E.; Poulios, A.; Chatzinikolaou, A.; Draganidis, D.; Papanikolaou, K.; Georgakouli, K.; et al. Hybrid neuromuscular training promotes musculoskeletal adaptations in inactive overweight and obese women: A training-detraining randomized controlled trial. J. Sports Sci. 2020, 39, 503–512. [Google Scholar] [CrossRef]
- Batrakoulis, A.; Jamurtas, A.Z.; Georgakouli, K.; Draganidis, D.; Deli, C.K.; Papanikolaou, K.; Avloniti, A.; Chatzinikolaou, A.; Leontsini, D.; Tsimeas, P.; et al. High intensity, circuit-type integrated neuromuscular training alters energy balance and reduces body mass and fat in obese women: A 10-month training-detraining randomized controlled trial. PLoS ONE 2018, 13, e0202390. [Google Scholar] [CrossRef] [PubMed]
- Schiffer, T.; Schulte, S.; Sperlich, B. Aerobic dance: Health and fitness effects in middle-aged premenopausal women. J. Exerc. Physiol. Online 2008, 11, 25–33. [Google Scholar]
- Eklund, D.; Pulverenti, T.; Bankers, S.; Avela, J.; Newton, R.; Schumann, M.; Häkkinen, K. Neuromuscular Adaptations to Different Modes of Combined Strength and Endurance Training. Int. J. Sports Med. 2014, 36, 120–129. [Google Scholar] [CrossRef] [PubMed]
- Schumann, M.; Küüsmaa, M.; Newton, R.U.; Sirparanta, A.-I.; Syväoja, H.; Häkkinen, A.; Häkkinen, K. Fitness and Lean Mass Increases during Combined Training Independent of Loading Order. Med. Sci. Sports Exerc. 2014, 46, 1758–1768. [Google Scholar] [CrossRef]
- Muollo, V.; Zignoli, A.; Ghiotto, L.; Milanese, C.; Zamboni, M.; Schena, F.; Rossi, A.P. Knee flexor and extensor torque ratio in elderly men and women with and without obesity: A cross-sectional study. Aging Clin. Exp. Res. 2022, 34, 209–214. [Google Scholar] [CrossRef]
- Neri, S.G.; Pereira, J.C.; de David, A.C.; Lima, R.M. The Influence of Body Fat Distribution on Postural Balance and Muscle Quality in Women Aged 60 Years and Over. J. Appl. Biomech. 2021, 37, 182–187. [Google Scholar] [CrossRef]
- Lee, J.J.; Hong, D.W.; Lee, S.A.; Soh, Y.; Yang, M.; Choi, K.M.; Won, C.W.; Chon, J. Relationship Between Obesity and Balance in the Community-Dwelling Elderly Population. Am. J. Phys. Med. Rehabil. 2020, 99, 65–70. [Google Scholar] [CrossRef]
- Fink, P.W.; Shultz, S.P.; D’Hondt, E.; Lenoir, M.; Hills, A.P. Multifractal Analysis Differentiates Postural Sway in Obese and Nonobese Children. Mot. Control. 2019, 23, 262–271. [Google Scholar] [CrossRef]
- Son, S.M. Influence of Obesity on Postural Stability in Young Adults. Osong Public Health Res. Perspect. 2016, 7, 378–381. [Google Scholar] [CrossRef]
- Jekauc, D. Enjoyment during Exercise Mediates the Effects of an Intervention on Exercise Adherence. Psychology 2015, 06, 48–54. [Google Scholar] [CrossRef]
- Wilke, J.; Kaiser, S.; Niederer, D.; Kalo, K.; Engeroff, T.; Morath, C.; Vogt, L.; Banzer, W. Effects of high-intensity functional circuit training on motor function and sport motivation in healthy, inactive adults. Scand. J. Med. Sci. Sports 2018, 29, 144–153. [Google Scholar] [CrossRef]
- Heinrich, K.M.; Patel, P.M.; O’Neal, J.L.; Heinrich, B.S. High-intensity compared to moderate-intensity training for exercise initiation, enjoyment, adherence, and intentions: An intervention study. BMC Public Health 2014, 14, 789. [Google Scholar] [CrossRef]


| Characteristics | OB-EG (n = 18) | OB-CG (n = 18) | L-EG (n = 18) | L-CG (n = 18) |
|---|---|---|---|---|
| Age (years old) | 45.97 ± 4.43 | 46.00 ± 4.35 | 46.09 ± 4.43 | 45.99 ± 4.20 |
| Body mass (kg) | 89.19 ± 4.44 | 88.85 ± 3.35 | 60.91 ± 3.56 | 61.00 ± 3.50 |
| Body height (m) | 1.61 ± 0.06 | 1.62 ± 0.05 | 1.64 ± 0.06 | 1.63 ± 0.07 |
| BMI (kg/m2) * | 34.43 ± 2.35 | 33.91 ± 2.15 | 22.64 ± 1.33 | 22.93 ± 1.25 |
| Weeks | ||||||||||||
|---|---|---|---|---|---|---|---|---|---|---|---|---|
| 1 | 2 | 3 | 4 | 5 | 6 | 7 | 8 | 9 | 10 | 11 | 12 | |
| Aerobic training (low-impact aerobic dance) | ||||||||||||
| Intensity (HRmax%) | 60–65 | 65–70 | 65–70 | 65–70 | 70–75 | 70–75 | 70–75 | 70–75 | 70–75 | 75–80 | 75–80 | 75–80 |
| Rhythm (bpm) | 105 | 110 | 110 | 110 | 110 | 115 | 115 | 115–118 | 115–118 | 115–118 | 118–120 | 118–120 |
| Set × duration (min) | 6 × 3 | 6 × 3 | 7 × 3 | 7 × 3 | 8 × 3 | 8 × 3 | 8 × 3 | 9 × 3 | 9 × 3 | 9 × 3 | 10 × 3 | 10 × 3 |
| Total duration (min) | 18 | 18 | 21 | 21 | 24 | 24 | 24 | 27 | 27 | 27 | 30 | 30 |
| Strength training (body weight exercises) | ||||||||||||
| Set | ||||||||||||
| Lunges | 2 | 2 | 2 | 2 | 3 | 3 | 3 | 3 | 3 | 4 | 4 | 4 |
| Step ups | 2 | 2 | 2 | 2 | 3 | 3 | 3 | 3 | 3 | 4 | 4 | 4 |
| Abdominals | 2 | 2 | 2 | 2 | 3 | 3 | 3 | 3 | 3 | 4 | 4 | 4 |
| Dorsals | 2 | 2 | 2 | 2 | 3 | 3 | 3 | 3 | 3 | 3 | 4 | 4 |
| Push-ups | 2 | 2 | 2 | 2 | 3 | 3 | 3 | 3 | 3 | 4 | 4 | 4 |
| Dips | 2 | 2 | 2 | 2 | 3 | 3 | 3 | 3 | 3 | 4 | 4 | 4 |
| Repetitions | ||||||||||||
| Lunges | 8 | 8 | 8 | 10 | 10 | 10 | 10 | 10 | 12 | 12 | 12 | 12 |
| Step ups | 8 | 8 | 8 | 10 | 10 | 10 | 10 | 10 | 12 | 12 | 12 | 12 |
| Abdominals | 10 | 10 | 10 | 12 | 12 | 12 | 12 | 15 | 15 | 15 | 15 | 15 |
| Dorsals | 10 | 10 | 10 | 12 | 12 | 12 | 12 | 15 | 15 | 15 | 15 | 15 |
| Push-ups | 6–8 | 6–8 | 8–10 | 8–10 | 10 | 10 | 10 | 10 | 10 | 12 | 12 | 12 |
| Dips | 5–6 | 5–6 | 5–6 | 6–8 | 6–8 | 6–8 | 7–9 | 7–9 | 7–9 | 8–10 | 8–10 | 8–10 |
| Total Duration of the 6th Training Session: 60 Min | |
|---|---|
| Warm-up (15 min) | Low-impact aerobic dance movements (5 min). |
| Dynamic and static stretching exercises for the whole body (10 exercises; 2 sets × 15 s for static/10 reps for dynamic). | |
| Main part (38 min) | Block 1. Aerobic dance (3 min)/2 strength exercises: (a) dorsals (1 set × 12 reps), (b) knee push-ups (1 set × 7 reps). |
| Block 2. Aerobic dance (3 min)/2 strength exercises: (a) dorsals (1 set × 12 reps), (b) knee push-ups (1 set × 7 reps). | |
| Block 3. Aerobic dance (3 min)/1 strength exercise: lunges (1 set × 10 reps per leg). | |
| Block 4. Aerobic dance (3 min)/1 strength exercise: lunges (1 set × 10 reps per leg). | |
| Block 5. Aerobic dance (3 min)/2 strength exercises: (a) sit-ups (1 set × 12 reps), (b) dips (1 set × 7 reps). | |
| Block 6. Aerobic dance (3 min)/2 strength exercises: (a) sit-ups (1 set × 12 reps), (b) dips (1 set × 7 reps). | |
| Cool down (7 min) | Low-impact aerobic dance movements (3 min). |
| Static stretching for the whole body in conjunction with breathing exercises (4 min). | |
| Variables | Measurement | OB-EG | OB-CG | L-EG | L-CG |
|---|---|---|---|---|---|
| Body mass (kg) | Pre Post | 89.2 ± 4.4 84.0 ± 3.6 *# | 88.9 ± 3.4 89.1 ± 3.5 | 60.9 ± 3.6 58.5 ± 3.3 *#† | 61.0 ± 3.5 61.5 ± 3.3 |
| Body fat (%) | Pre Post | 48.5 ± 3.3 41.0 ± 3.6 *# | 47.6 ± 2.3 47.9 ± 3.6 | 29.3 ± 2.3 27.0 ± 3.3 *#† | 29.0 ± 3.5 29.5 ± 3.3 |
| Fat-free mass (kg) | Pre Post | 45.9 ± 3.4 49.6 ± 3.6 *# | 46.5 ± 2.6 46.4 ± 3.6 | 43.1 ± 2.3 44.8 ± 3.5 *#† | 43.3 ± 3.6 43.9 ± 3.4 |
| Hip circumference (cm) | Pre Post | 118.9 ± 8.7 111.9 ± 8.8 *# | 117.3 ± 6.5 118.3 ± 7.8 | 97.9 ± 5.2 95.0 ± 5.5 *#† | 98.1 ± 4.2 98.4 ± 4.5 |
| Waist circumference (cm) | Pre Post | 106.3 ± 8.5 98.2 ± 8.3 *# | 107.0 ± 7.5 107.5 ± 8.2 | 84.5 ± 5.1 80.7 ± 5.8 *#† | 85.5 ± 4.1 846 ± 4.8 |
| Systolic blood pressure (mmHg) | Pre Post | 118.0 ± 10.0 110.1 ± 8.0 *# | 118.0 ± 10.0 120.0 ± 9.5 | 104.9 ± 8.0 100.6 ± 6.7 *#† | 105.6 ± 8.0 104.9 ± 8.7 |
| Diastolic blood pressure (mmHg) | Pre Post | 84.4 ± 8.9 76.9 ± 9.2 *# | 85.5 ± 7.9 84.9 ± 8.2 | 70.8 ± 4.8 67.2 ± 3.8 *#† | 71.0 ± 3.8 72.2 ± 2.8 |
| Forced vital capacity (L) | Pre Post | 3.17 ± 0.6 3.32 ± 0.5 *# | 3.19 ± 0.4 3.20 ± 0.6 | 3.21 ± 0.3 3.35 ± 0.4 *# | 3.20 ± 0.5 3.22 ± 0.4 |
| Forced expiratory volume in 1 s (L) | Pre Post | 2.63 ± 0.2 2.73 ± 0.4 *# | 2.65 ± 0.3 2.64 ± 0.2 | 2.63 ± 0.3 2.75 ± 0.3 *# | 2.64 ± 0.2 2.63 ± 0.4 |
| Variables | Measurement | OB-EG | OB-CG | L-EG | L-CG |
|---|---|---|---|---|---|
| Flexibility Sit and reach test (cm) | Pre Post | 24.2 ± 7.2 30.1 ± 5.2 *# | 25.2 ± 6.5 25.5 ± 5.6 | 26.2 ± 8.3 32.4 ± 6.3 *# | 25.9 ± 8.5 26.4 ± 8.3 |
| Static balance-opened eyes (s) Preferred leg | Pre Post | 41.8 ± 8.0 53.7 ± 7.7 *# | 41.7 ± 8.1 41.9 ± 7.6 | 41.9 ± 8.2 55.2 ± 7.7 *# | 42.0 ± 8.5 42.1 ± 8.7 |
| Non-preferred leg | Pre Post | 37.3 ± 7.4 † 52.7 ± 7.7 *# | 37.4 ± 7.4 † 38.0 ± 7.7 | 40.8 ± 7.9 56.3 ± 8.7 *# | 41.0 ± 7.5 41.9 ± 7.7 |
| Static balance-closed eyes (s) Preferred leg | Pre Post | 11.0 ± 5.0 20.0 ± 9.2 *# | 11.3 ± 6.1 12.0 ± 7.6 | 12.0 ± 5.9 20.5 ± 8.6 *# | 11.6 ± 6.5 11.0 ± 6.7 |
| Non-preferred leg | Pre Post | 9.0 ± 5.1 † 19.6 ± 8.5 *# | 9.4 ± 6.4 † 9.6 ± 7.7 | 11.0 ± 5.8 20.6 ± 9.0 *# | 10.8 ± 5.5 11.3 ± 5.7 |
| Dynamic balance TUG test (s) | Pre Post | 4.38 ± 0.5 3.88 ± 0.5 *# | 4.36 ± 0.4 4.35 ± 0.5 | 4.27 ± 0.4 3.88 ± 0.5 *# | 4.28 ± 0.3 4.26 ± 0.5 |
| Variables | Measurement | OB-EG | OB-CG | L-EG | L-CG |
|---|---|---|---|---|---|
| Lower Body Strength | |||||
| Concentric peak torque (Nm) | |||||
| Extensors PL | Pre Post | 113.0 ± 21.8 142.8 ± 19.3 *# | 112.9 ± 23.2 115.6 ± 20.0 | 111.0 ± 17.8 136.0 ± 15.6 *# | 109.9 ± 22.2 110.6 ± 20.7 |
| Extensors NPL | Pre Post | 114.4 ± 26.4 142.6 ± 21.5 *# | 113.0 ± 22.8 112.8 ± 20.5 | 111.6 ± 18.0 135.0 ± 19.5 *# | 110.4 ± 22.8 112.9 ± 18.5 |
| Flexors PL | Pre Post | 69.7 ± 12.7 89.2 ± 10.4 *# | 69.1 ± 11.9 70.0 ± 11.7 | 68.7 ± 10.2 84.2 ± 10.5 *# | 68.9 ± 10.9 69.2 ± 11.7 |
| Flexors NPL | Pre Post | 60.0 ± 12.8 † 89.5 ± 10.6 *# | 59.9 ± 12.5 † 60.0 ± 13.7 | 69.1 ± 14.1 82.5 ± 10.4 *# | 67.8 ± 14.9 67.5 ± 14.5 |
| Eccentric peak torque (Nm) | |||||
| Extensors PL | Pre Post | 165.0 ± 34.7 194.0 ± 30.7 *# | 162.0 ± 34.7 160.0 ± 31.7 | 158.0 ± 35.3 185.7 ± 34.3 *# | 159.5 ± 34.1 161.2 ± 36.3 |
| Extensors NPL | Pre Post | 166.7 ± 36.7 193.0 ± 37.3 *# | 163.7 ± 32.8 162.6 ± 37.7 | 155.7 ± 37.3 182.3 ± 33.3 *# | 156.0 ± 37.3 157.0 ± 38.3 |
| Flexors PL | Pre Post | 97.6 ± 13.9 116.5 ± 14.0 *# | 94.8 ± 16.8 93.6 ± 14.3 | 92.7 ± 16.3 112.6 ± 12.8 *# | 93.3 ± 15.4 95.8 ± 15.6 |
| Flexors NPL | Pre Post | 86.0 ± 16.7 † 116.2 ± 19.5 *# | 83.5 ± 19.7 † 83.0 ± 18.6 | 91.7 ± 11.8 112.5 ± 16.3 *# | 92.4 ± 12.1 93.6 ± 14.3 |
| Upper body strength | |||||
| Maximal handgrip strength (kg) | |||||
| Preferred hand | Pre Post | 32.7 ± 5.9 36.6 ± 4.9 *# | 32.5 ± 5.8 32.6 ± 6.0 | 31.3 ± 5.9 34.9 ± 5.5 *# | 31.6 ± 5.7 32.0 ± 6.1 |
| Non-preferred hand | Pre Post | 29.0 ± 4.1 † 36.0 ± 4.5 *# | 28.5 ± 5.9 † 28.4 ± 5.7 | 31.3 ± 5.8 34.8 ± 5.3 *# | 31.0 ± 6.1 30.7 ± 6.2 |
| Endurance handgrip strength (time in s) | |||||
| Preferred hand | Pre Post | 62.4 ± 17.0 92.1 ± 25.5 *# | 62.6 ± 20.0 61.5 ± 23.7 | 62.3 ± 20.8 91.1 ± 26.6 *# | 62.4 ± 22.0 61.6 ± 23.7 |
| Non-preferred hand | Pre Post | 53.0 ± 20.0 † 89.9 ± 23.7 *# | 52.6 ± 21.8 † 52.0 ± 19.7 | 58.0 ± 23.3 86.6 ± 23.0 *# | 57.6 ± 23.8 58.3 ± 22.7 |
| Sit up (reps) | Pre Post | 8.6 ± 4.0 16.9 ± 2.7 *# | 8.5 ± 3.5 8.7 ± 3.7 | 9.6 ± 3.3 18.1 ± 2.2 *# | 9.0 ± 3.8 8.9 ± 3.7 |
| Ito test (s) | Pre Post | 61.0 ± 22.2 122.4 ± 25.7 *# | 63.4 ± 26.0 62.7 ± 23.0 | 65.2 ± 20.0 126.6 ± 22.3 *# | 64.6 ± 23.8 63.7 ± 24.7 |
| Push-ups (reps) | Pre Post | 3.4 ± 1.4 12.7 ± 3.5 *# | 3.5 ± 1.3 3. 7 ± 1.2 | 3.6 ± 1.2 14.5 ± 4.0 *# | 3.7 ± 1.2 3.8 ± 1.3 |
| Dip test (reps) | Pre Post | 2.8 ± 1.5 11.0 ± 2.9 *# | 2.9 ± 1.2 2.7 ± 1.0 | 3.1 ± 1.0 13.0 ± 3.9 *# | 3.0 ± 1.3 2.9 ± 1.4 |
| Aerobic capacity | |||||
| HRtest (beats/min) | Pre Post | 139.8 ± 12.7 119.4 ± 10.4 *# | 140.6 ± 13.4 141.7 ± 13.7 | 141.1 ± 11.4 120.4 ± 10.9 *# | 140.4 ± 12.4 139.7 ± 13.0 |
| RPEtest | Pre Post | 12.8 ± 2.0 9.6 ± 1.9 *# | 12.6 ± 1.8 13.0 ± 2.7 | 12.5 ± 1.5 9.4 ± 1.7 *# | 12.6 ± 1.4 12.7 ± 1.2 |
| HRrec (beats/min) | Pre Post | 119.6 ± 15.8 99. 7 ± 14.7 *# | 118.6 ± 13.4 117. 7 ± 13. 7 | 117.1 ± 16.0 96.5 ± 15.4 *# | 118.6 ± 14.8 119.7 ± 13.3 |
| OB-EG | L-EG | |
|---|---|---|
| Question 1 (score) | 4.5 ± 0.3 | 4.6 ± 0.2 |
| Question 2 (score) | 4.7 ± 0.2 | 4.7 ± 0.3 |
| Question 3 (score) | 4.2 ± 0.3 | 4.3 ± 0.5 |
| Question 4 (score) | 4.3 ± 0.4 | 4.2 ± 0.3 |
| Total score from all questions | 4.4 ± 0.3 | 4.5 ± 0.4 |
Disclaimer/Publisher’s Note: The statements, opinions and data contained in all publications are solely those of the individual author(s) and contributor(s) and not of MDPI and/or the editor(s). MDPI and/or the editor(s) disclaim responsibility for any injury to people or property resulting from any ideas, methods, instructions or products referred to in the content. |
© 2023 by the authors. Licensee MDPI, Basel, Switzerland. This article is an open access article distributed under the terms and conditions of the Creative Commons Attribution (CC BY) license (https://creativecommons.org/licenses/by/4.0/).
Share and Cite
Karatrantou, K.; Gerodimos, V. Does Obesity Affect Neuromuscular and Cardiovascular Adaptations after a 3-Month Combined Exercise Program in Untrained Premenopausal Middle-Aged Women? Sports 2023, 11, 82. https://doi.org/10.3390/sports11040082
Karatrantou K, Gerodimos V. Does Obesity Affect Neuromuscular and Cardiovascular Adaptations after a 3-Month Combined Exercise Program in Untrained Premenopausal Middle-Aged Women? Sports. 2023; 11(4):82. https://doi.org/10.3390/sports11040082
Chicago/Turabian StyleKaratrantou, Konstantina, and Vassilis Gerodimos. 2023. "Does Obesity Affect Neuromuscular and Cardiovascular Adaptations after a 3-Month Combined Exercise Program in Untrained Premenopausal Middle-Aged Women?" Sports 11, no. 4: 82. https://doi.org/10.3390/sports11040082
APA StyleKaratrantou, K., & Gerodimos, V. (2023). Does Obesity Affect Neuromuscular and Cardiovascular Adaptations after a 3-Month Combined Exercise Program in Untrained Premenopausal Middle-Aged Women? Sports, 11(4), 82. https://doi.org/10.3390/sports11040082
