Resistance to S-Methoprene Correlates with Pyriproxyfen Resistance in Field-Collected Culex pipiens
Simple Summary
Abstract
1. Introduction
2. Materials and Methods
2.1. Collection Sites
2.2. Mosquito Collection and Rearing
2.3. Larvicide Bioassays
2.4. Analysis
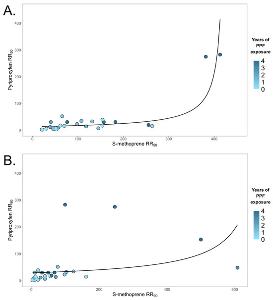
3. Results
4. Discussion
Supplementary Materials
Author Contributions
Funding
Data Availability Statement
Acknowledgments
Conflicts of Interest
Abbreviations
| WNV | West Nile virus |
| IMM | Integrated mosquito management |
| IGR | Insect growth regulator |
| JHA | Juvenile hormone analog |
| RR | Resistance ratio |
| Ls | Lysinibacillus sphaericus |
| Bti | Bacillus thuringiensis israelensis |
| NSMAD | North Shore Mosquito Abatement District |
| NWMAD | Northwest Mosquito Abatement District |
References
- AMCA. Best Practices for Integrated Mosquito Management; American Mosquito Control Association: Sacramento, CA, USA, 2021. [Google Scholar]
- Henrick, C.A.; Staal, G.B.; Siddall, J.B. Alkyl 3,7,11-Trimethyl-2,4-Dodecadienoates, a New Class of Potent Insect Growth Regulators with Juvenile Hormone Activity. J. Agric. Food Chem. 1973, 21, 354–359. [Google Scholar] [CrossRef]
- Williams, C.M. Third-Generation Pesticides. Sci. Am. 1967, 217, 13–17. [Google Scholar] [CrossRef]
- Charles, J.P.; Iwema, T.; Epa, C.V.; Takaki, K.; Rynes, J.; Jindra, M. Ligand-Binding Properties of a Juvenile Hormone Receptor, Methoprene-Tolerant. Proc. Natl. Acad. Sci. USA 2011, 108, 21128–21133. [Google Scholar] [CrossRef]
- Su, T.; Liu, H. The Advantages of Pyriproxyfen, a Juvenile Hormone Mimic, for Mosquito Control. China Trop. Med. 2024, 24, 627–636. [Google Scholar] [CrossRef]
- Environmental Protection Agency. June 2001 Update of the March 1991 Methoprene R.E.D. Fact Sheet. Available online: https://archive.epa.gov/pesticides/reregistration/web/pdf/bppd_fs_105401.pdf (accessed on 7 November 2025).
- Lopez, K.; Harbison, J.; Irwin, P.; Erkapic, A.; Holub, R.; Blanco, C.; Paskewitz, S.; Clifton, M.; Bartholomay, L. Extreme Resistance to S-Methoprene in Field-Collected Culex pipiens (Diptera: Culicidae) across the Chicago, IL Region. Sci. Rep. 2024, 14, 18001. [Google Scholar] [CrossRef]
- Lopez, K.; Irwin, P.; Tomek, M.; Holub, R.; Paskewitz, S.; Bartholomay, L.; Clifton, M. Dual S-Methoprene and Lysinibacillus sphaericus Larvicide Use Leads to Multiple Independent, and Not Cross-Resistance in Culex pipiens. PLoS ONE 2025, 20, e0332621. [Google Scholar] [CrossRef] [PubMed]
- Su, T.; Thieme, J.; Cummings, R.; Cheng, M.L.; Brown, M.Q. Cross Resistance in S-Methoprene-Resistant Culex quinquefasciatus (Diptera: Culicidae). J. Med. Entomol. 2021, 58, 398–402. [Google Scholar] [CrossRef] [PubMed]
- Clifton, M.; Lopez, K. Assessing Insect Growth Regulator Resistance Using Bioassays: A Systematic Review and Meta-Analysis of Methoprene and Pyriproxyfen Inhibition of Emergence in Three Vector Mosquito Species. Trop. Med. Infect. Dis. 2025, 10, 87. [Google Scholar] [CrossRef]
- Sullivan, J.; Goh, K. Environmental Fate and Properties of Pyriproxyfen. J. Pestic. Sci. 2008, 4, 339–350. [Google Scholar] [CrossRef]
- Darsie, R.F.; Ward, R.A. Identification and Geographical Distribution of the Mosquitoes of North America, North of Mexico; American Mosquito Control Association: Fresno, CA, USA, 1981. [Google Scholar]
- Su, T.; Thieme, J.; Ocegueda, C.; Ball, M.; Cheng, M.L.; Norris, D. Resistance to Lysinibacillus sphaericus and Other Commonly Used Pesticides in Culex pipiens (Diptera: Culicidae) from Chico, California. J. Med. Entomol. 2018, 55, 423–428. [Google Scholar] [CrossRef] [PubMed]
- Su, T.; Thieme, J.; White, G.S.; Lura, T.; Mayerle, N.; Faraji, A.; Cheng, M.L.; Brown, M.Q. High Resistance to Bacillus sphaericus and Susceptibility to Other Common Pesticides in Culex pipiens (Diptera: Culicidae) from Salt Lake City, UT. J. Med. Entomol. 2019, 56, 506–513. [Google Scholar] [CrossRef]
- Abbott, W.S. A Method of Computing the Effectiveness of an Insecticide. J. Econ. Entomol. 1925, 18, 265–267. [Google Scholar]
- Finney, D.J. Probit Analysis; Cambridge University Press: Cambridge, UK, 1971. [Google Scholar]
- Robertson, J.L.; Savin, N.E.; Russell, R.M.; Preisler, H.K. Bioassays with Arthropods, 2nd ed.; CRC Press: Boca Raton, FL, USA, 2007. [Google Scholar]
- WHO. Monitoring and Managing Insecticide Resistance in Aedes Mosquito Populations: Interim Guidance for Entomologists; World Health Organization: Geneva, Switzerland, 2016. [Google Scholar]
- Burnham, K.; Anderson, D. Model Selection and Multimodel Inference, 2nd ed.; Springer: New York, NY, USA, 2002. [Google Scholar]
- Barton, K. MuMIn: Multi-Model Inference. Available online: https://cran.r-project.org/web/packages/MuMIn/index.html (accessed on 10 February 2026).
- Wickham, H.; Chang, W.; Henry, L.; Pedersen, T.L.; Takahashi, K.; Wilke, C.; Woo, K.; Yutani, H.; Dunnington, D.; van den Brand, T. Ggplot2: Create Elegant Data Visualisations Using the Grammar of Graphics. Available online: https://cran.r-project.org/web/packages/ggplot2/index.html (accessed on 10 February 2026).
- Hlina, B. Ecotox: Analysis of Ecotoxicology. Available online: https://cran.r-project.org/web/packages/ecotox/index.html (accessed on 9 February 2026).
- Ripley, B.; Venables, B.; Bates, D.M.; Hornik, K.; Gebhardt, A.; Firth, D. MASS: Support Functions and Datasets for Venables and Ripley’s MASS. Available online: https://cran.r-project.org/web/packages/MASS/index.html (accessed on 10 February 2026).
- Pocquet, N.; Darriet, F.; Zumbo, B.; Milesi, P.; Thiria, J.; Bernard, V.; Toty, C.; Labbé, P.; Chandre, F. Insecticide Resistance in Disease Vectors from Mayotte: An Opportunity for Integrated Vector Management. Parasit. Vectors 2014, 7, 299. [Google Scholar] [PubMed]
- Lin, L.Q.; Chen, Y.H.; Tian, Y.F.; Chen, Y.S.; Zheng, Z.Y.; Wu, J.X.; Hu, F.; Wu, C.; Xie, L.H. Study on the Cross-Resistance of Aedes albopictus (Skuse) (Diptera: Culicidae) to Deltamethrin and Pyriproxyfen. Parasit. Vectors 2024, 17, 403. [Google Scholar] [CrossRef] [PubMed]
- Marcombe, S.; Chonephetsarath, S.; Thammavong, P.; Brey, P.T. Alternative Insecticides for Larval Control of the Dengue Vector Aedes aegypti in Lao PDR: Insecticide Resistance and Semi-Field Trial Study. Parasit. Vectors 2018, 11, 616. [Google Scholar] [CrossRef] [PubMed]
- Marcombe, S.; Farajollahi, A.; Healy, S.P.; Clark, G.G.; Fonseca, D.M. Insecticide Resistance Status of United States Populations of Aedes albopictus and Mechanisms Involved. PLoS ONE 2014, 9, e101992. [Google Scholar] [CrossRef]
- Campos, K.B.; Alomar, A.A.; Eastmond, B.H.; Obara, M.T.; Dias, L.d.S.; Rahman, R.U.; Alto, B.W. Assessment of Insecticide Resistance of Aedes aegypti (Diptera: Culicidae) Populations to Insect Growth Regulator Pyriproxyfen, in the Northeast Region of Brazil. J. Vector Ecol. 2023, 48, 12–18. [Google Scholar] [CrossRef]
- Campos, K.B.; Martins, A.J.; de Melo Rodovalho, C.; Bellinato, D.F.; dos Santos Dias, L.; da Graça Macoris, M.D.L.; Andrighetti, M.T.M.; Lima, J.B.P.; Obara, M.T. Assessment of the Susceptibility Status of Aedes aegypti (Diptera: Culicidae) Populations to Pyriproxyfen and Malathion in a Nation-Wide Monitoring of Insecticide Resistance Performed in Brazil from 2017 to 2018. Parasit. Vectors 2020, 13, 531. [Google Scholar] [CrossRef]
- Andrighetti, M.T.M.; Cerone, F.; Rigueti, M.; Galvani, K.C.; Lourdes Da, M.D.; Macoris, G. Effect of Pyriproxyfen in Aedes aegypti Populations with Different Levels of Susceptibility to the Organophosphate Temephos. Dengue Bull. 2008, 32, 186–198. [Google Scholar]
- Lau, K.W.; Chen, C.D.; Lee, H.L.; Low, V.L.; Sofian-Azirun, M. Bioefficacy of Insect Growth Regulators against Aedes albopictus (Diptera: Culicidea) from Sarawak, Malaysia: A Statewide Survey. J. Econ. Entomol. 2018, 111, 1388–1394. [Google Scholar] [CrossRef]
- Elia-Amira, N.M.R.; Chen, C.D.; Low, V.L.; Lau, K.W.; Haziqah-Rashid, A.; Amelia-Yap, Z.H.; Lee, H.L.; Sofian-Azirun, M. Statewide Efficacy Assessment of Insect Growth Regulators Against Aedes albopictus (Diptera: Culicidae) in Sabah, Malaysia: An Alternative Control Strategy? J. Med. Entomol. 2022, 59, 301–307. [Google Scholar] [CrossRef]
- Leyva, Y.R.; Coto, M.M.R.; Lazcano, J.A.B.; Pérez Insueta, O.; Sánchez Valdés, L. Eficacia del Pyriproxyfeno para el Control de Aedes (S) aegypti (Diptera: Culicidae) en Cepas con Diferentes Niveles de Resistencia a Temefos. Rev. Cubana Med. Trop. 2010, 62, 224–229. [Google Scholar]
- María Del Carmen, M.; Zavala, T.; María, D.C.; Rodríguez, M.; Yanelys, M.; Leyva, R.; Juan, C.; Lazcano, A.B. Evaluation of Temephos and Pyriproxifen against Aedes aegypti (Diptera: Culicidae) from Guayaquil, Ecuador. Rev. Cubana Med. Trop. 2014, 66, 71–83. [Google Scholar]
- Moura, L.; Nadai, B.L.d.; Corbi, J.J. One Does Not Simply Apply Larvicides: Aedes aegypti from Araraquara (Brazil) Has Reduced Susceptibility to Pyriproxyfen. Vet. Parasitol. Reg. Stud. Rep. 2023, 41, 100875. [Google Scholar] [CrossRef] [PubMed]
- Su, T.; Thieme, J.; Lura, T.; Cheng, M.L.; Brown, M.Q. Susceptibility Profile of Aedes aegypti L. (Diptera: Culicidae) from Montclair, California, to Commonly Used Pesticides, with Note on Resistance to Pyriproxyfen. J. Med. Entomol. 2019, 56, 1047–1054. [Google Scholar] [CrossRef] [PubMed]
- Kawada, H.; Kohamma, T.; Aba, Y. Larvicidal Activity of Water-Soluble Granular Formulation of the Insect Growth Regulator, Pyriproxyfen, against Culex Mosquitoes. Jpn. J. Environ. Entomol. 1994, 6, 68–77. [Google Scholar]
- Kono, Y.; Omata-Iwabuchi, K.; Takahashi, M. Changes in Susceptibility to Pyriproxyfen, a JH Mimic, during Late Larval and Early Pupal Stages of Culex pipiens molestus. Med. Entomol. Zool. 1997, 48, 85–89. [Google Scholar] [CrossRef]
- Kasai, S.; Shono, T.; Komagata, O.; Tsuda, Y.; Kobayashi, M.; Motoki, M.; Kashima, I.; Tanikawa, T.; Yoshida, M.; Tanaka, I.; et al. Insecticide Resistance in Potential Vector Mosquitoes for West Nile Virus in Japan. J. Med. Entomol. 2007, 44, 822–829. [Google Scholar] [CrossRef]
- Su, X.; Guo, Y.; Deng, J.; Xu, J.; Zhou, G.; Zhou, T.; Li, Y.; Zhong, D.; Kong, L.; Wang, X.; et al. Fast Emerging Insecticide Resistance in Aedes albopictus in Guangzhou, China: Alarm to the Dengue Epidemic. PLoS Negl. Trop. Dis. 2019, 13, e0007665. [Google Scholar] [CrossRef] [PubMed]
- Vasquez, M.I.; Violaris, M.; Hadjivassilis, A.; Wirth, M.C. Susceptibility of Culex pipiens (Diptera: Culicidae) Field Populations in Cyprus to Conventional Organic Insecticides, Bacillus thuringiensis Subsp. israelensis, and Methoprene. J. Med. Entomol. 2009, 46, 881–887. [Google Scholar] [CrossRef] [PubMed]
- Burtis, J.C.; Poggi, J.D.; McMillan, J.R.; Crans, S.C.; Campbell, S.R.; Isenberg, A.; Pulver, J.; Casey, P.; White, K.; Zondag, C.; et al. NEVBD Pesticide Resistance Monitoring Network: Establishing a Centralized Network to Increase Regional Capacity for Pesticide Resistance Detection and Monitoring. J. Med. Entomol. 2021, 58, 787–797. [Google Scholar] [CrossRef] [PubMed]
- Paul, A.; Harrington, L.C.; Zhang, L.; Scott, J.G. Insecticide Resistance in Culex pipiens from New York. J. Am. Mosq. Control Assoc. 2005, 21, 305–309. [Google Scholar] [CrossRef]
- Lehane, Á.; Baxter, L.; Martin, E.; Angelico, J.; Fell, V.; Peh, A.; Burtis, J.C.; Harrington, L.C. Insecticide Resistance across the Northeast and Mid-Atlantic United States: Results from 6 Years of Monitoring (2019–2024). J. Med. Entomol. 2025, 63, tjaf171. [Google Scholar] [CrossRef]
- Brown, T.M.; Hooper, G.H.S. Metabolic Detoxication as a Mechanism of Methoprene Resistance in Culex pipiens pipiens. Pestic. Biochem. Physiol. 1979, 12, 79–86. [Google Scholar] [CrossRef]
- Brown, T.; Brown, A. Accumulation and Distribution of Methoprene in Resistant Culex pipiens pipiens Larvae. Entomol. Exp. Appl. 1980, 27, 11–22. [Google Scholar] [CrossRef]
- Yunta, C.; Grisales, N.; Nász, S.; Hemmings, K.; Pignatelli, P.; Voice, M.; Ranson, H.; Paine, M.J.I. Pyriproxyfen Is Metabolized by P450s Associated with Pyrethroid Resistance in An. Gambiae. Insect Biochem. Mol. Biol. 2016, 78, 50–57. [Google Scholar] [CrossRef] [PubMed]
- Dubie, T.R.; Bartholomay, L.; Clifton, M.; Walker, E.D. Variation in Susceptibility to Permethrin in Culex pipiens and Culex restuans Populations in the Great Lakes Region of the United States. J. Am. Mosq. Control Assoc. 2022, 38, 188–197. [Google Scholar] [CrossRef] [PubMed]
- Burgess, E.R.; Lopez, K.; Irwin, P.; Jaeger, C.P.; Estep, A.S. Assessing Pyrethroid Resistance Status in the Culex pipiens Complex (Diptera: Culicidae) from the Northwest Suburbs of Chicago, Illinois Using Cox Regression of Bottle Bioassays and Other Detection Tools. PLoS ONE 2022, 17, e0268205. [Google Scholar] [CrossRef]
- Lopez, K.; Irwin, P.; Bartlett, D.; Kukla, C.; Paskewitz, S.; Bartholomay, L. A Multi-Assay Assessment of Insecticide Resistance in Culex pipiens (Diptera: Culicidae) Informs a Decision-Making Framework. PLoS ONE 2025, 20, e0324194. [Google Scholar] [CrossRef]
- Noel, K.R.; Kim, C.H.; Stone, C.M. Mechanistic Evidence of Widespread Insecticide Resistance among the Illinois West Nile Virus Vectors Culex pipiens and Culex restuans. Sci. Rep. 2025, 15, 22806. [Google Scholar] [CrossRef]
- Haba, Y.; Korlević, P.; McAlister, E.; Lawniczak, M.K.N.; Schumer, M.; Rose, N.H.; McBride, C.S. Ancient Origin of an Urban Underground Mosquito. Science 2025, 390, eady4515. [Google Scholar] [CrossRef] [PubMed]
- Masoner, J.R.; Kolpin, D.W.; Cozzarelli, I.M.; Barber, L.B.; Burden, D.S.; Foreman, W.T.; Forshay, K.J.; Furlong, E.T.; Groves, J.F.; Hladik, M.L.; et al. Urban Stormwater: An Overlooked Pathway of Extensive Mixed Contaminants to Surface and Groundwaters in the United States. Environ. Sci. Technol. 2019, 53, 10070–10081. [Google Scholar] [CrossRef] [PubMed]



| Pyriproxyfen RR50 | Pyriproxyfen RR90 | |||||
|---|---|---|---|---|---|---|
| Predictors | Estimates | CI | p | Estimates | CI | p |
| (Intercept) | 7.94 | 5.12–12.73 | <0.001 | 10.00 | 6.22–17.03 | <0.001 |
| S-methoprene RR50 | 1.01 | 1.00–1.01 | <0.001 | |||
| Number of pyriproxyfen applications | 1.25 | 0.97–1.63 | 0.065 | 1.53 | 1.21–2.00 | 0.001 |
| S-methoprene RR90 | 1.00 | 1.00–1.01 | 0.032 | |||
| Observations | 31 | 31 | ||||
| R2 Nagelkerke | 0.817 | 0.746 | ||||
Disclaimer/Publisher’s Note: The statements, opinions and data contained in all publications are solely those of the individual author(s) and contributor(s) and not of MDPI and/or the editor(s). MDPI and/or the editor(s) disclaim responsibility for any injury to people or property resulting from any ideas, methods, instructions or products referred to in the content. |
© 2026 by the authors. Licensee MDPI, Basel, Switzerland. This article is an open access article distributed under the terms and conditions of the Creative Commons Attribution (CC BY) license.
Share and Cite
Lopez, K.; Irwin, P.; Bartholomay, L.C.; Clifton, M.E. Resistance to S-Methoprene Correlates with Pyriproxyfen Resistance in Field-Collected Culex pipiens. Insects 2026, 17, 241. https://doi.org/10.3390/insects17030241
Lopez K, Irwin P, Bartholomay LC, Clifton ME. Resistance to S-Methoprene Correlates with Pyriproxyfen Resistance in Field-Collected Culex pipiens. Insects. 2026; 17(3):241. https://doi.org/10.3390/insects17030241
Chicago/Turabian StyleLopez, Kristina, Patrick Irwin, Lyric C. Bartholomay, and Mark E. Clifton. 2026. "Resistance to S-Methoprene Correlates with Pyriproxyfen Resistance in Field-Collected Culex pipiens" Insects 17, no. 3: 241. https://doi.org/10.3390/insects17030241
APA StyleLopez, K., Irwin, P., Bartholomay, L. C., & Clifton, M. E. (2026). Resistance to S-Methoprene Correlates with Pyriproxyfen Resistance in Field-Collected Culex pipiens. Insects, 17(3), 241. https://doi.org/10.3390/insects17030241

